武汉东湖高新集团股份有限公司 第十届董事会第二次会议决议公告
证券时报
2023-07-13 08:06:19
0

原标题:武汉东湖高新集团股份有限公司 第十届董事会第二次会议决议公告

本公司董事会及全体董事保证本公告内容不存在任何虚假记载、误导性陈述或者重大遗漏,并对其内容的真实性、准确性和完整性承担法律责任。

一、董事会会议召开情况

武汉东湖高新集团股份有限公司(以下简称“公司”)第十届董事会第二次会议通知及材料于2023年6月28日以电子邮件方式发出,于2023年7月11日以通讯方式召开。本次会议应参加表决的董事9人,实际参加表决的董事9人。

本次会议的召开符合《公司法》和《公司章程》的有关规定。

二、董事会会议审议情况

1、审议通过了《关于关联方收购湖北省工业建筑集团有限公司控股权后被动形成关联担保的议案》;

公司在第九届董事会第三次会议、2020年第三次临时东大会已经审议并通过《关于全资子公司湖北省路桥集团有限公司拟为联营企业湖北鸿盛工程管理有限公司提供差额补足承诺函的议案》的基础上,追加审议上述已发生的担保事项,即湖北省路桥集团有限公司(以下简称“湖北路桥”)为联营企业湖北鸿盛工程管理有限公司(以下简称“湖北鸿盛”)提供不超过99,535万元的担保,截至公告日实际为其担保余额为82,303.93万元。

本次担保系公司间接控股股东收购股权导致合并报表范围变更后被动形成的关联担保,是历史期间已经发生并延续下来的,不属于新增担保。实质是公司全资子公司湖北路桥对原联营企业湖北鸿盛担保的延续,原承诺函内容未发生变化。

为进一步保障公司利益,公司控股股东湖北省建设投资集团有限公司对上述尚在存续期内的担保事项提供了反担保。

同意追加审议上述关联担保事项。

具体内容详见《关于关联方收购湖北省工业建筑集团有限公司控股权后被动形成关联担保的公告》(编号:临2023-060)。

赞成4人,反对0人,弃权0人

本议案涉及关联交易,关联董事杨涛先生、周敏女士、史文明先生、刘祖雄先生、杨洋先生回避了该议案的表决。

本议案需提交股东大会审议。

2、审议通过了《关于关联方收购湖北省工业建筑集团有限公司控股权后被动形成日常关联交易的议案》;

鉴于公司间接控股股东收购股权导致合并报表范围变更,湖北鸿盛由公司全资子公司湖北路桥的联营企业被动成为公司关联方,导致湖北路桥为湖北鸿盛提供的工程施工劳务被动形成日常关联交易。

上述日常关联交易事项虽然没有单独进行年度预计,但公司2022年日常关联交易实际发生额均未超过当年经股东大会审议通过的年度日常关联交易预计总金额。

同意追加审议上述关联交易事项。

具体内容详见《关于关联方收购湖北省工业建筑集团有限公司控股权后被动形成日常关联交易的公告》(编号:临2023-061)。

赞成4人,反对0人,弃权0人

本议案涉及关联交易,关联董事杨涛先生、周敏女士、史文明先生、刘祖雄先生、杨洋先生回避了该议案的表决。

本议案需提交股东大会审议。

3、审议通过了《关于拟与关联方签订〈委托经营管理协议〉、〈委托经营管理补充协议〉暨关联交易的议案》;

(1)同意公司与联投欧洲科技投资有限公司(以下简称“欧洲公司”)签署《委托经营管理协议》,欧洲公司将其所享有的欧洲比利时CBTC园区项目及境内全资子公司联投欧洲(湖北)科技投资有限公司的管理权委托给公司,委托价暂定为人民币1,300.00万元,委托时间暂定为一年,若到期之前,各方均未提出终止,则本协议自动延期1年,次数不限。

(2)同意公司在委托价不超过人民币1,300.00万元的授权范围内,签署《委托经营管理补充协议》约定公司在受托经营管理期间提供工程代建管理服务、招商运营服务、园区管理运营服务等内容明细及定价标准。

(3)授权期限:自公司董事会审议通过之日起12个月内签署上述相关协议。

具体内容详见《关于拟与关联方签订〈委托经营管理协议〉、〈委托经营管理补充协议〉暨关联交易的公告》(编号:临2023-062)。

赞成4人,反对0人,弃权0人

本议案涉及关联交易,关联董事杨涛先生、周敏女士、史文明先生、刘祖雄先生、杨洋先生回避了该议案的表决。

4、审议通过了《关于拟调增2023年年度日常关联交易预计额度的议案》;

根据公司经营业务发展和日常生产经营的需要,拟调增日常关联交易金额预计不超过404,753万元,本次调整前2023年年度日常关联交易预计金额为180,439万元,调整后公司同关联人发生的2023年年度日常关联交易金额预计不超过585,192万元。

具体内容详见《关于拟调增2023年年度日常关联交易预计额度的公告》(编号:临2023-063)。

赞成4人,反对0人,弃权0人

本议案涉及关联交易,关联董事杨涛先生、周敏女士、史文明先生、刘祖雄先生、杨洋先生回避了该议案的表决。

本议案需提交股东大会审议。

5、审议通过了《关于控股子公司拟与关联方签订设计、施工总承包(EPC)资金支付协议暨关联交易的议案》;

(1)同意公司控股子公司海口高新区国科创新发展有限公司(以下简称“项目公司”)、湖北省工业建筑集团有限公司及其分公司湖北省工业建筑集团有限公司海南分公司(以下简称“湖北工建海南分公司”)共同签署《生物医药创新公共服务平台项目一期设计、施工总承包EPC项目工程费支付协议》,约定该项目资金支付主体为项目公司,资金接受主体为湖北工建海南分公司,涉及关联交易金额为人民币65,340,187.23元。

(2)授权期限:自公司董事会审议通过之日起12个月内签署《生物医药创新公共服务平台项目一期设计、施工总承包EPC项目工程费支付协议》。

具体内容详见《关于控股子公司拟与关联方签订设计、施工总承包(EPC)资金支付协议暨关联交易的公告》(编号:临2023-064)。

赞成4人,反对0人,弃权0人

本议案涉及关联交易,关联董事杨涛先生、周敏女士、史文明先生、刘祖雄先生、杨洋先生回避了该议案的表决。

6、审议通过了《关于拟制定〈武汉东湖高新集团股份有限公司薪酬管理制度〉的议案》;

赞成9人,反对0人,弃权0人

7、关于召开2023年第一次临时股东大会的决定

(1)现场会议时间:2023年8月2日(星期三)下午14:30

(2)会议地点:湖北省武汉市东湖新技术开发区花城大道9号武汉软件新城1.1期A8栋A座五楼会议室;

(3)会议内容:

①关于关联方收购湖北省工业建筑集团有限公司控股权后被动形成关联担保的议案;

②关于关联方收购湖北省工业建筑集团有限公司控股权后被动形成日常关联交易的议案;

③关于拟调增2023年年度日常关联交易预计额度的议案。

具体内容详见《关于召开2023年第一次临时股东大会的通知》(编号:临2023-065)。

赞成9人,反对0人,弃权0人

三、上网公告附件(附件)

特此公告。

武汉东湖高新集团股份有限公司

董 事 会

二〇二三年七月十三日

附件

武汉东湖高新集团股份有限公司

第十届董事会第二次会议审议事项的独立意见

根据《中华人民共和国公司法》、《上市公司独立董事规则》、《上市公司治理准则》、《上海证券交易所股票上市规则》、《上海证券交易所上市公司自律监管指引第5号一交易与关联交易》、《公司章程》等有关规定,我们作为武汉东湖高新集团股份有限公司(以下简称“公司”)的独立董事,认真研究和核实了公司提供的第十届董事会第二次会议的有关议案与相关资料后,经审慎思考,依据公开、公正、客观原则,对相关事项发表如下意见:

1、关于关联方收购湖北省工业建筑集团有限公司控股权后被动形成关联担保的独立意见

我们认为:

本次担保系公司间接控股股东收购股权导致合并报表范围变更后被动形成的关联担保,是历史期间已经发生并延续下来的,不属于新增担保。实质是公司全资子公司湖北路桥对原联营企业湖北鸿盛担保的延续,原承诺函内容未发生变化。

为进一步保障公司利益,公司控股股东湖北省建设投资集团有限公司对上述尚在存续期内的担保事项提供了反担保,担保风险总体可控,有效保障公司及中小投资者合法权益。

本次关联担保审议时,关联董事回避了表决。本次关联担保尚需提交公司股东大会审议批准,与本次关联担保有利害关系的关联股东将放弃行使在股东大会上对本次关联担保的投票权。

2、关于关联方收购湖北省工业建筑集团有限公司控股权后被动形成日常关联交易的独立意见

我们认为:

鉴于公司间接控股股东收购股权导致合并报表范围变更后原公司全资子公司湖北路桥的联营企业湖北鸿盛被动成为公司关联方,导致湖北路桥为湖北鸿盛提供的工程施工劳务被动形成日常关联交易。

上述日常关联交易事项虽然没有单独进行年度预计,但公司2022年日常关联交易实际发生额均未超过当年经股东大会审议通过的年度日常关联交易预计总金额。同意追加审议上述日常关联交易事项。

本次日常关联交易审议时,关联董事回避了表决。本次日常关联交易尚需提交公司股东大会审议批准,与本次日常关联交易有利害关系的关联股东将放弃行使在股东大会上对本次日常关联交易的投票权。

3、关于拟与关联方签订《委托经营管理协议》、《委托经营管理补充协议》暨关联交易的独立意见

我们认为:

委托管理费用经双方协商确定,定价公允合理,不存在损害公司及其他非关联股东权益的情形,不存在影响公司独立性及规范运作的问题,上述关联交易对公司财务状况和经营成果无重大影响。

公司董事会在审议该议案时,关联董事回避表决,该事项决策程序符合有关规定。

4、关于拟调增2023年年度日常关联交易预计额度的独立意见

我们认为:

公司增加2023年日常关联交易预计额度为公司正常生产经营所需,符合公司发展需要,符合相关法律法规及制度的规定,上述关联交易遵循了公开、公平、公正原则,交易事项定价公允。上述关联交易未损害公司及其他非关联股东的合法权益,特别是中小股东的利益,不会对公司独立性产生影响。

本次调增日常关联交易额度审议时,关联董事回避了表决。本次调增日常关联交易额度尚需提交公司股东大会审议批准,与本次调整日常关联交易额度有利害关系的关联股东将放弃行使在股东大会上对本次调整日常关联交易额度的投票权。

5、关于控股子公司拟与关联方签订设计、施工总承包(EPC)资金支付协议暨关联交易的独立意见

我们认为:

本次拟发生的关联交易有利于资金监管,有利于促进项目开发进度,有利于维护项目公司及公司的权益。关联交易的定价合理、公允,该项目工程计量和实际支付等合同条款均遵循市场化操作原则,不存在损害公司利益及中小股东利益的情形,符合上市公司及全体股东的一致利益。

公司董事会在审议该议案时,关联董事回避表决,该事项决策程序符合有关规定。

独立董事:金明伟、王华、熊新华

二〇二三年七月十一日

证券代码:600133 证券简称:东湖高新 公告编号:临2023-059

可转债代码:110080 可转债简称:东湖转债

武汉东湖高新集团股份有限公司

第十届监事会第二次会议决议公告

本公司监事会及全体监事保证本公告内容不存在任何虚假记载、误导性陈述或者重大遗漏,并对其内容的真实性、准确性和完整性承担法律责任。

一、监事会会议召开情况

武汉东湖高新集团股份有限公司(以下简称“公司”)第十届监事会第二次会议通知及材料于2023年6月28日以电子邮件方式发出,于2023年7月11日以通讯方式召开。本次会议的召开符合《公司法》、《公司章程》的有关规定。本次会议应参加表决的监事3人,实际参加表决的监事3人。会议决议情况公告如下:

二、监事会会议审议情况

1、审议通过了《关于关联方收购湖北省工业建筑集团有限公司控股权后被动形成关联担保的议案》;

公司在第九届董事会第三次会议、2020年第三次临时东大会已经审议并通过《关于全资子公司湖北省路桥集团有限公司拟为联营企业湖北鸿盛工程管理有限公司提供差额补足承诺函的议案》的基础上,追加审议上述已发生的担保事项,即湖北省路桥集团有限公司(以下简称“湖北路桥”)为联营企业湖北鸿盛工程管理有限公司(以下简称“湖北鸿盛”)提供不超过99,535万元的担保,截至公告日实际为其担保余额为82,303.93万元。

本次担保系公司间接控股股东收购股权导致合并报表范围变更后被动形成的关联担保,是历史期间已经发生并延续下来的,不属于新增担保。实质是公司全资子公司湖北路桥对原联营企业湖北鸿盛担保的延续,原承诺函内容未发生变化。

为进一步保障公司利益,公司控股股东湖北省建设投资集团有限公司对上述尚在存续期内的担保事项提供了反担保。

同意追加审议上述关联担保事项。

具体内容详见《关于关联方收购湖北省工业建筑集团有限公司控股权后被动形成关联担保的公告》(编号:临2023-060)。

赞成: 3人 反对:0 人 弃权: 0 人

本议案需提交股东大会审议。

2、审议通过了《关于关联方收购湖北省工业建筑集团有限公司控股权后被动形成日常关联交易的议案》;

鉴于公司间接控股股东收购股权导致合并报表范围变更,湖北鸿盛由公司全资子公司湖北路桥的联营企业被动成为公司关联方,导致湖北路桥为湖北鸿盛提供的工程施工劳务被动形成日常关联交易。

上述日常关联交易事项虽然没有单独进行年度预计,但公司2022年日常关联交易实际发生额均未超过当年经股东大会审议通过的年度日常关联交易预计总金额。

同意追加审议上述关联交易事项。

具体内容详见《关于关联方收购湖北省工业建筑集团有限公司控股权后被动形成日常关联交易的公告》(编号:临2023-061)。

赞成: 3人 反对:0 人 弃权: 0 人

本议案需提交股东大会审议。

3、审议通过了《关于拟与关联方签订〈委托经营管理协议〉、〈委托经营管理补充协议〉暨关联交易的议案》

(1)同意公司与联投欧洲科技投资有限公司(以下简称“欧洲公司”)签署《委托经营管理协议》,欧洲公司将其所享有的欧洲比利时CBTC园区项目及境内全资子公司联投欧洲(湖北)科技投资有限公司的管理权委托给公司,委托价暂定为人民币1,300.00万元,委托时间暂定为一年,若到期之前,各方均未提出终止,则本协议自动延期1年,次数不限。

(2)同意公司在委托价不超过人民币1,300.00万元的授权范围内,签署《委托经营管理补充协议》约定公司在受托经营管理期间提供工程代建管理服务、招商运营服务、园区管理运营服务等内容明细及定价标准。

具体内容详见《关于拟与关联方签订〈委托经营管理协议〉、〈委托经营管理补充协议〉暨关联交易的公告》(编号:临2023-062)。

赞成: 3人 反对:0 人 弃权: 0 人

4、审议通过了《关于拟调增2023年年度日常关联交易预计额度的议案》;

根据公司经营业务发展和日常生产经营的需要,拟调增日常关联交易金额预计不超过404,753万元,本次调整前2023年年度日常关联交易预计金额为180,439万元,调整后公司同关联人发生的2023年年度日常关联交易金额预计不超过585,192万元。

具体内容详见《关于拟调增2023年年度日常关联交易预计额度的公告》(编号:临2023-063)。

赞成: 3人 反对:0 人 弃权: 0 人

本议案需提交股东大会审议。

5、审议通过了《关于控股子公司拟与关联方签订设计、施工总承包(EPC)资金支付协议暨关联交易的议案》;

同意公司控股子公司海口高新区国科创新发展有限公司(以下简称“项目公司”)、湖北省工业建筑集团有限公司及其分公司湖北省工业建筑集团有限公司海南分公司(以下简称“湖北工建海南分公司”)共同签署《生物医药创新公共服务平台项目一期设计、施工总承包EPC项目工程费支付协议》,约定该项目资金支付主体为项目公司,资金接受主体为湖北工建海南分公司,涉及关联交易金额为人民币65,340,187.23元。

具体内容详见《关于控股子公司拟与关联方签订设计、施工总承包(EPC)资金支付协议暨关联交易的公告》(编号:临2023-064)。

赞成: 3人 反对:0 人 弃权: 0 人

特此公告。

武汉东湖高新集团股份有限公司

监 事 会

二〇二三年七月十三日

证券代码:600133 证券简称:东湖高新 公告编号:临2023-062

可转债代码:110080 可转债简称:东湖转债

武汉东湖高新集团股份有限公司关于

拟与关联方签订《委托经营管理协议》、

《委托经营管理补充协议》暨

关联交易的公告

本公司董事会及全体董事保证本公告内容不存在任何虚假记载、误导性陈述或者重大遗漏,并对其内容的真实性、准确性和完整性承担法律责任。

重要内容提示

1、交易背景:根据武汉东湖高新集团股份有限公司(以下简称“公司”或“东湖高新”)科技园区板块年度业务战略布局,为快速打造东湖高新旗下园区运营板块海外招商窗口、技术孵化平台、产业转移桥梁,着力强化海外优质产业导入及承接职能,助力公司园区运营板块国内外招商资源及市场的协同融合发展,东湖高新拟与公司间接控股股东湖北联投集团有限公司(以下简称“湖北联投”)、及旗下控股子公司联投欧洲科技投资有限公司(以下简称“欧洲公司”)、联投欧洲(湖北)科技投资有限公司(以下简称“欧洲(湖北)公司”)共同签订《委托经营管理协议》及《委托经营管理补充协议》,受托对联投欧洲公司旗下欧洲比利时CBTC园区项目及其境内业务进行经营管理,持续丰富和夯实公司科技园区板块营运模式及发展底盘,进而推动公司科技园区板块整体营运效益的提升。

2、关联关系:欧洲公司系东湖高新间接控股股东湖北联投的控股子公司,湖北联投直接持有欧洲公司99.999999%股权,欧洲(湖北)公司系欧洲公司中国境内全资子公司,东湖高新对欧洲公司本质属于轻资产运营管理,双方无直接产权及资产交易关系。根据《上海证券交易所股票上市规则》相关规定欧洲公司系公司关联法人。本次公司与欧洲公司签订《委托经营管理协议》及《委托经营管理补充协议》将构成科技园区板块运营管理业务关联交易,但不构成《上市公司重大资产重组管理办法》规定的重大资产重组。

3、交易内容:根据整体交易安排,湖北联投、东湖高新、欧洲公司、欧洲(湖北)公司共同签订《委托经营管理协议》主协议,协议约定由欧洲公司将旗下欧洲比利时CBTC园区项目及其境内全资子公司欧洲(湖北)公司业务全权委托给东湖高新经营管理,欧洲公司指定其境内全资子公司欧洲(湖北)公司向东湖高新支付2023年度首年度委托经营管理费1,300.00万元人民币(大写:壹仟叁佰万元整)。在相关主协议签订的同时,东湖高新另行同欧洲公司、欧洲(湖北)公司三方签订《委托经营管理补充协议》,补充协议核心就东湖高新委托经营管理服务内容及定价标准进行细化确定,金额维持不变为1,300.00万元人民币(大写:壹仟叁佰万元整)。

4、本次拟发生关联交易定价原则合理、公允,不存在损害公司、股东包括非关联股东和中小股东利益的情况,也不存在向关联方输送利益的情形,不会影响公司的独立性,也不会因此对关联方形成依赖。

5、合同履约风险:在合同履行过程中如果遇到不可预计的或不可抗力等因素的影响,有可能会导致合同无法全部履行或终止的风险。敬请广大投资者注意投资风险。

6、本《委托经营管理协议》及《委托经营管理补充协议》期限均为一年,约定自有权机构授权并签字盖章之日起生效,若到期之前,各方均未提出终止,则本协议自动延期1年,次数不限(如合同自动续期,后续的委托经营管理费用双方另行协商,原则上后续年度的委托经营费用不得低于首年度的委托经营管理费用),本次拟发生的关联交易金额1,300.00万元人民币(大写:壹仟叁佰万元整),占公司最近一期经审计净资产0.18%,实质上为无固定期限的敞口合同,因此本次交易事项需提交公司董事会审议。

7、公司与间接控股股东联投集团及其下属公司、控股股东湖北省建设投资集团有限公司(以下简称“建投集团”)其下属公司发生的关联交易详见本公告“八、过去12个月内与本次拟发生的交易关联方之间的历史关联交易”。

一、拟发生的关联交易概述

东湖高新拟与欧洲公司签订《委托经营管理协议》,欧洲公司将所属欧洲比利时CBTC园区实体项目及中国境内全资子公司业务及团队委托给东湖高新管理,东湖高新统筹科技园区板块专业力量资源,全面推进欧洲公司运营管理、招商运营、品牌推广等服务。

本次拟发生的关联交易已经公司第十届董事会第二次会议、第十届监事会第二次会议审议通过,独立董事进行了事前认可,并发表了同意的独立意见。

二、关联方基本情况

关联人1:湖北联投集团有限公司

(1)基本情况如下:

关联方名称:湖北联投集团有限公司

企业性质:国有独资企业

注册地址:湖北省武汉市武昌区中南路99号保利广场A座17层

法定代表人:刘俊刚

注册资本:31亿元

成立日期:2013年11月6日

经营范围:对基础设施、高新技术产业、节能环保产业以及其它政策性建设项目的投资;自有资产管理业务及资本运作;土地开发及整理;园区建设;风险性投资业务;房地产开发业务;对项目的评估、咨询和担保业务(融资性担保除外);国际技术、经济合作业务。(法律、法规、国务院决定禁止或需要行政许可经营的除外)。湖北联投集团有限公司目前的经营状态为存续(在营、开业、在册)。

股权结构:湖北省人民政府国有资产监督管理委员会持股100%。

(2)关联方最近一年的主要财务指标

单位:人民币 万元

(3)关联人湖北联投集团有限公司依法持续经营,企业状况良好,履约能力和抗风险能力较好,不存在非经营性占用及损害公司和全体股东利益的情形。

(4)关联人湖北联投集团有限公司为公司间接控股股东,同公司不存在直接的产权、业务、资产、债权债务、人员等方面的其他关系。

(5)关联人湖北联投集团有限公司资信状况良好,未被列为失信被执行人。

关联人2:联投欧洲科技投资有限公司

(1)基本情况如下:

关联方名称:联投欧洲科技投资有限公司

企业性质:国有控股

注册地址:比利时新鲁汶市方德梅斯街5-18号,中比科技园智慧谷

Add: Rue Fond des Més, 5/18, Tower B, 1348 Louvain-la-Neuve, Belgium

法定代表人:薛倩

注册资本:3,676.20万欧元

成立日期:2013年8月8日

经营范围:在比利时和在国外,代表公司自身或代表第三方,或与第三方合作进行以公司股东的名义代表股东,或以自己的名义提供服务革新,建设,运营科技园,投资科技项目。公共或私营领域,地方国内国际的,与工商,农业,环境,发展支持,政治技术预算文化安全经济协助,公共和个人利益任务的定义组织管理改革相关的咨询、研究、勘察、管理、协调、实施和相关服务跟踪等业务,以及与上述一个或几个领域有关的公共或私营法人,协会或组织的业务所有和研究发展有关的业务,包括建筑物、艺术品或文学作品等的实体或非实体的不动产或动产的生产、创造、采购、销售、增值、进出口、出租、代理、独家经营、经纪、寄存,和与广义工商业有关的任何服务,包括国内国外、公共或私营、盈利或非盈利的企业、机构的行政组织,金融管理,技术结构,商业或非商业政策,以及活动组织、推销和广告;一切不动产的购买、销售、交付、租赁、维护、建造、管理、修缮和翻新,不动产标的的划分和推销,以及广义上一切与不动产或建设推销有关的业务,保险、经纪和资产管理方面的中介;为企业和个人提供资讯类顾问、建议和协助;公司可以广泛从事与其目标直接或间接关联、对实现目标直接或间接、整体或部分有益处的一切商业、工业、金融、不动产或动产的业务。

股权结构:湖北联投集团有限公司持股比例99.999999%,聚星国际科技投资有限公司(比利时)有限公司持股比例0.000001%。

(2)关联方最近一年又一期的主要财务指标

单位:人民币 万元

(3)关联方欧洲公司依法持续经营,企业状况良好,履约能力和抗风险能力较好,不存在非经营性占用及损害公司和全体股东利益的情形。

(4)关联人欧洲公司及其实际控制人湖北联投与公司之间不存在产权、业务、资产、债权债务、人员等方面的其他关系;欧州公司法定代表人薛倩女士,在东湖高新担任总法律顾问职务。

(5)关联人欧洲公司及其直接控股股东联投集团资信状况良好,未被列为失信被执行人。

(6)关于关联方欧洲公司履约能力,本次欧洲公司指定其境内全资子公司欧洲(湖北)公司向东湖高新支付首年度委托经营管理费,东湖高新将联合关联方控股股东湖北联投充分利用国内便利条件,强化欧洲公司产业导入及承接职能,积极争取外事条线相关部委的资金资源支持及国内金融机构融资支持,为欧洲公司发展营造良好的发展环境,关联方欧洲公司与公司受同一实际控制人控制,因此委托经营管理费收取风险基本可控。

关联人3:联投欧洲(湖北)科技投资有限公司

(1)基本情况如下:

关联方名称:联投欧洲(湖北)科技投资有限公司

企业性质:国有控股

注册地址:武汉东湖新技术开发区花城大道特1号武汉光谷生态艺术展示中心1楼101室

法定代表人:万华

注册资本:人民币1,000万元

成立日期:2021年3月18日

经营范围:以自有资金从事投资活动(限实业投资);园区管理服务;商业综合体管理服务;物业管理;物业服务评估;商务秘书服务;非融资担保服务;房地产评估(不含住房租赁);房地产经纪(不含住房租赁);房地产咨询(不含住房租赁);非居住房地产租赁;业务培训(不含教育培训、职业技能培训等需取得许可的培训;柜台、摊位出租;办公设备租赁服务;品牌管理;企业总部管理;餐饮管理,供应链管理服务;公共事业管理服务;税务服务;财务咨询;资产评估;信息咨询服务(不含许可类信息咨询服务);翻译服务;打字复印;项目策划与公关服务;认证咨询;文化场馆管理服务;创业空间服务;市场营销策划;企业形象策划;环保咨询服务;体育赛事策划;人力资源服务(不含职业中介活动、劳务派遣服务);办公服务;技术服务、技术开发、技术咨询、技术交流、技术转让、技术推广;接受金融机构委托从事信息技术和流程外包服务(不含金融信息服务);知识产权服务;科技中介服务;商标代理;版权代理;科普宣传服务;标准化服务(除依法须经批准的项目外,凭营业执照依法自主开展经营活动)。

股权结构:联投欧洲科技投资有限公司持股100%。

(2)关联方最近一年又一期的主要财务指标

单位:人民币 万元

(3)关联方欧洲(湖北)公司依法持续经营,企业状况良好,履约能力和抗风险能力较好,不存在非经营性占用及损害公司和全体股东利益的情形。

(4)关联人欧洲(湖北)公司及其直接控股股东联投欧洲公司资信状况良好,未被列为失信被执行人。

(5)关于关联方欧洲(湖北)公司履约能力,本次欧洲公司指定其境内全资子公司欧洲(湖北)公司向东湖高新支付首年度委托经营管理费,东湖高新将联合关联人间接控股股东湖北联投充分利用国内政策及条件,强化欧洲公司产业导入及承接职能,积极争取外事条线相关部委的资金资源支持及国内金融机构融资支持,积极指导关联方按照湖北联投财务资金运营管控要求开展项目经营及融资,为欧洲公司发展营造良好的发展环境,关联人欧洲(湖北)公司与公司最终受同一实际控制人控制,因此委托经营管理费收取风险基本可控。

三、受托管理标的情况

(一)联投欧洲科技投资有限公司99.999999%股权

(欧州公司基本情况具体详见本公告“二、关联方基本信息”中关联人2)

(二)联投欧洲(湖北)科技投资有限公司100%股权

(欧洲(湖北)公司基本情况具体详见本公告“二、关联方基本信息”中关联人3)

四、拟发生的关联交易基本情况及《委托经营管理协议》、《委托经营管理补充协议》主要内容

(一)基本概况

根据公司科技园区板块年度业务布局整体安排,为快速打造东湖高新旗下园区运营板块海外招商窗口、技术孵化平台、产业转移桥梁,着力强化海外优质产业导入及承接职能,助力公司园区运营板块国内外招商资源及市场的协同融合发展,东湖高新拟与公司间接控股股东湖北联投、及旗下控股子公司欧洲公司、欧洲(湖北)公司共同签订《委托经营管理协议》及《委托经营管理补充协议》,受托对联投欧洲公司旗下欧洲比利时CBTC园区项目及其境内业务进行经营管理,持续丰富和夯实公司科技园区板块营运模式及发展底盘,进而推动公司科技园区板块整体营运效益的提升。

鉴于东湖高新现阶段对欧洲公司属于园区轻资产运营管理服务,东湖高新园区运营板块资源及欧洲(湖北)公司团队均服务于欧洲比利时CBTC项目,为依法合规履行受托经营管理业务,湖北联投、东湖高新、欧洲公司、欧洲(湖北)公司共同签订《委托经营管理协议》,从委托模式、委托内容、委托期限、委托经营管理费收取、委托经营管理费支付方式等方面对各方权责义务进行约定,从法理层面完善东湖高新受托经营管理业务。

(二)本次拟签署《委托经营管理协议》主要内容

甲方:湖北联投集团有限公司

乙方:武汉东湖高新集团股份有限公司

丙方:联投欧洲科技投资有限公司

丁方:联投欧洲(湖北)科技投资有限公司

1、委托模式:乙方在委托期间内受托行使丙方所享有的对欧洲CBTC项目及境内全资子公司欧洲(湖北)公司的管理权,乙方有权对丙方作出指导和指示,并向丙方收取受托管理费用。

2、委托内容:委托期间内,丙方委托乙方代为管理欧洲CBTC项目及境内全资子公司联投欧洲(湖北)科技投资有限公司的业务,包括但不限于提供品牌宣传、招商运营等服务。丙方为独立的企业法人,享有所属财产的所有权,自行享有或承担债权、债务及法律责任。丙方因维持正常经营导致的流动资金缺口,由丙方积极进行资金筹措,丙方后续经营良好具备债务偿还能力或分红条件时,丙方应偿还甲方的债务或向股东分红。

3、委托期限:本协议的委托经营管理期限为一年,自本协议生效之日起1年。若到期之前,各方均未提出终止,则本协议自动延期1年,次数不限。

4、委托经营管理费用:本协议项下,丙方指定丁方按年度每年向乙方支付委托管理费用,首年度的委托管理费用合计人民币1,300.00万元(大写:人民币壹仟叁佰万元整)。如合同自动续期,后续的委托经营管理费用双方另行协商,原则上后续年度的委托经营费用不得低于首年度的委托经营管理费用。

(三)本次拟签署《委托经营管理补充协议》主要内容

甲方:武汉东湖高新集团股份有限公司

乙方:联投欧洲科技投资有限公司

鉴于东湖高新现阶段对欧洲公司属于园区轻资产运营管理服务,东湖高新园区运营板块资源及欧洲(湖北)公司团队均服务于欧洲比利时CBTC项目,为依法合规履行受托经营管理业务,湖北联投、欧洲公司、欧洲(湖北)共同签订《委托经营管理协议》主协议,从委托模式、委托内容、委托期限、委托经营管理费收取、委托经营管理费支付方式等方面对各方权责义务进行约定,从法理层面完善东湖高新受托经营管理业务。在主协议项下,东湖高新就具体委托经营管理服务内容、收费标准及构成同欧洲公司签订《委托经营管理补充协议》,进一步明确首年度委托经营管理服务内容。《委托经营管理补充协议》所涉及的委托模式、委托期限、委托经营管理费收取、委托经营管理费支付方式等同主协议内容保持一致。其中委托内容:乙方委托甲方代为管理欧洲CBTC项目及境内全资子公司联投欧洲(湖北)科技投资有限公司的业务,甲方提供园区项目工程代建管理服务、招商运营服务、园区管理运营服务等内容。

五、交易的定价政策及定价依据

东湖高新拟与关联方欧洲公司签订的《委托经营管理协议》中委托经营管理费收取标准,严格按照关联方欧洲公司2023年度预算及资金收支计划、关联方欧洲公司控股股东湖北联投成本费用审核及管控要求、欧洲公司年度运营管理成本、内部开票结算税费支出等标准综合确定。

2023年首年度首笔委托经营管理费定价合理、公允,不存在损害公司、股东包括非关联股东和中小股东利益的情况,也不存在向关联方输送利益的情形。

六、本次拟发生关联交易对公司的目的、影响及相关风险

1、公司受托对欧洲比利时CBTC项目进行经营管理,可将欧洲比利时园区着力打造成为海外招商窗口、技术孵化平台、产业转移桥梁,着力强化产业导入及承接职能,可快速实现国内外两个市场及两个平台资源的互通,增强公司科技园区板块整体软实力及品牌推广效应。

2、公司受托对欧洲比利时CBTC项目进行经营管理,系公司主营业务之一,通过签订《委托经营管理协议》并收取管理费,能防范上市公司关联方资金占用,维护公司及股东整体利益。

3、本次拟发生的关联交易事项对公司财务状况和经营成果无重大影响,不会导致公司合并报表范围变更。

七、拟发生的关联交易应当履行的审议程序

本次拟发生的关联交易已经公司审计委员会审议通过并提交第十届董事会第二次会议审议通过,关联董事杨涛先生、周敏女士、刘祖雄先生、史文明先生、杨洋先生回避表决,独立董事进行了事前认可并发表了独立意见。

(一)审计委员会同意本次拟发生的关联交易并出具审核意见,审计委员会认为:

委托管理费用经双方协商确定,定价公允合理,不存在损害公司及其他非关联股东权益的情形,不存在影响公司独立性及规范运作的问题,上述关联交易对公司财务状况和经营成果无重大影响。本委员会提醒公司董事会关联董事回避表决。

同意将该议案提交公司董事会进行审议。

(二)独立董事同意本次拟发生的关联交易并出具独立意见,独立董事认为:

委托管理费用经双方协商确定,定价公允合理,不存在损害公司及其他非关联股东权益的情形,不存在影响公司独立性及规范运作的问题,上述关联交易对公司财务状况和经营成果无重大影响。

公司董事会在审议该议案时,关联董事回避表决,该事项决策程序符合有关规定。

八、过去 12 个月内与本次拟发生关联交易的关联方之间的历史关联交易

过去 12 个月与间接控股股东联投集团及其下属公司、控股股东建投集团其下属公司发生的关联交易具体如下:

1、经公司第九届董事会第十六次会议、第九届监事会第十五次会议及 2022 年第二次临时股东大会审议并通过了《关于子公司向关联方出售厂房及配套用房暨关联交易的议案》,同意将武汉·中国光谷文化创意产业园等项目下约 109,778.17㎡厂房及配套用房所有权出售给公司关联方湖北省住房保障建设管理有限公司,交易作价约为人民币 562,940,800 元。

2022 年 9 月,公司在授权范围内与保障房公司签署了《资产购置协议》。

具体详见 2022 年 7 月 2 日、8 月 2 日、9 月 7 日公司指定信息披露报刊和上海证券交易所网站。

2、经公司第九届董事会第十八次会议、第九届监事会第十六次会议审议并通过了《关于拟受让东新云智等 10 家公司 100%股权及债权暨关联交易的议案》,同意:(1)与关联方联新产城签订《股权及债权转让协议》,受让联新产城所持有的鄂州东新云智产业园发展有限公司、鄂州东新移智产业园发展有限公司、鄂州东新链智产业园发展有限公司 3 家公司 100%股权及相应股东借款债权,交易总额预计不超过人民币 3,750 万元;(2)与关联方湖北联新融合建设发展有限公司(以下简称“联新融合”)签订《股权及债权转让协议》,受让联新融合所持有的鄂州东新物智产业园发展有限公司、鄂州东新联智产业园发展有限公司、鄂州东新集智产业园发展有限公司、鄂州东新数智产业园发展有限公司 4 家公司 100%股权及相应股东借款债权,交易总额预计不超过人民币 5,760 万元;(3)与关联方湖北联新云数建设发展有限公司(以下简称“联新云数”)签订《股权及债权转让协议》,受让联新云数所持有的鄂州东新信智发展有限公司、鄂州东新芯智发展有限公司、鄂州东新电智发展有限公司 3 家公司 100%股权及相应股东借款债权,交易总额预计不超过人民币 2,890 万元。上述 10 家公司 100%股权交易金额合计 5,002.17 万元,股东借款债权交易金额合计不超过人民币 7,400 万元,交易总额不超过人民币 12,400 万元。

具体详见 2022 年8月30日公司指定信息披露报刊和上海证券交易所网站。

3、经公司第九届董事会第二十次会议、第九届监事会第十七次会议、2022 年

第四次临时股东大会审议并通过了《关于全资子公司拟对其控股子公司进行增资暨关联交易的议案》,同意公司全资子公司湖北省路桥集团有限公司(以下简称“湖北路桥”)与关联方湖北省建设投资集团有限公司按照各自持股比例以现金方式对湖北省路桥集团市政建设工程有限公司进行增资,湖北路桥本次增资 45,900 万元,增资完成后,湖北路桥出资 51,000 万元,占市政公司 51%股权。

湖北路桥在授权范围内完成了对湖北省路桥集团市政建设工程有限公司的增资,标的公司于 2022 年 10 月完成了相关工商变更登记。

具体详见 2022 年 9 月 29 日、10 月 19 日公司指定信息披露报刊和上海证券交易所网站。

4、经公司第九届董事会第二十次会议、第九届监事会第十七次会议、2022 年

第四次临时股东大会审议并通过了《关于全资子公司拟与关联方共同投资设立项目公司暨关联交易的议案》,同意公司全资子公司湖北路桥与关联方湖北省建设投资集团有限公司、非关联方当阳市鑫泉产业开发有限公司共同投资设立项目公司,负责湖北当阳经济开发区工业园区PPP开发建设项目的投融资、建设、运营及维护工作。项目资本金总计 37,331.35 万元(含项目公司注册资本 25,000 万元),其中湖北路桥出资 16,799.11 万元(含项目公司注册资本 11,250 万元,占项目公司 45%股权)。

具体详见 2022年9月29日、10月19日公司指定信息披露报刊和上海证券交易所网站。

5、经公司第九届董事会第二十次会议、第九届监事会第十七次会议、2022 年第四次临时股东大会审议并通过了《关于拟受让从国开基金回购的加速器公司 3000万股权暨关联交易的议案》,同意公司待湖北省联合发展投资集团有限公司完成从国开发展基金有限公司回购公司控股子公司武汉光谷加速器投资发展有限公司3,000 万股权后,公司以人民币 3,000 万元受让该部分股权。交易完成后,公司将持有武汉光谷加速器投资发展有限公司 61.75%股权。

具体详见 2022年9月29日、10月19日、2023年2月17日公司指定信息披露报刊和上海证券交易所网站。

6、经公司第九届董事会第二十次会议、第九届监事会第十七次会议审议并通过了《关于拟与关联方共同投资黄冈项目暨关联交易的议案》,同意公司与关联方湖北联投鄂东投资有限公司共同投资东湖高新黄冈智能科技产业园项目并设立合资公司,负责项目土地竞买及后续产业园区的开发建设、运营管理。公司出资5,600万元,占合资公司70%股权。

具体详见 2022年9 月29日公司指定信息披露报刊和上海证券交易所网站。

7、经公司第九届董事会第二十二次会议、第九届监事会第十九次会议、2022年第五次临时股东大会审议并通过了《关于拟调增 2022 年年度日常关联交易预计额度的议案》,根据公司经营业务发展和日常生产经营的需要,拟再次调增日常关联交易金额预计不超过 36,836.69 万元,本次调整前 2022 年年度日常关联交易预计金额为 314,710.46 万元,调整后公司同关联人发生关联金额预计不超过 351,547.15万元。

具体详见 2022 年12月14日、12月30日公司指定信息披露报刊和上海证券交易所网站。

8、经公司第九届董事会第二十二次会议、第九届监事会第十九次会议、2022

年第五次临时股东大会审议并通过了《关于全资子公司拟与关联方签订工程总承包(EPC)合同暨关联交易的议案》,同意全资子公司湖北路桥与关联方湖北联投光谷产业投资有限公司签署《光谷东数字经济产业园区域综合开发项目工程总承包(EPC)合同》,签约合同价暂定为人民币 342,810 万元,其中湖北路桥承接项目总金额为人民币 249,810 万元。

具体详见 2022年12月14日、12月30日公司指定信息披露报刊和上海证券交易所网站。

9、经公司第九届董事会第二十四次会议、第九届监事会第二十次会议、2022年年度股东大会审议并通过了《关于接受关联方提供融资担保并支付担保费用暨关联交易的议案》,同意 2023 年度公司及下属公司需要湖北省联发投或建投集团提供担保总额不超过人民币 20 亿元,公司及下属公司将按照实际担保金额及担保时间支付担保费用(年化担保费率不超过 1.5%),预计担保费用不超过 3,000 万元。

具体详见 2023年4月21日、2023年5月27日公司指定信息披露报刊和上海证券交易所网站。

10、经公司第九届董事会第二十四次会议、第九届监事会第二十次会议、2022年年度股东大会审议并通过了《关于全资子公司拟与关联方签订工程总承包(EPC)合同暨关联交易的议案》,同意全资子公司湖北路桥与关联方十堰商务区投资有限公司签署《十堰市中央商务区片区综合开发项目工程总承包(EPC)合同》,签约合同价暂定为人民币207,380万元,其中湖北路桥承接项目总金额为人民币82,818.60万元,并在上述授权范围内签署单项合同。

具体详见2023年4月21日、2023年5月27日公司指定信息披露报刊和上海证券交易所网站。

11、经公司第九届董事会第二十五次会议、第九届监事会第二十一次会议、2022年年度股东大会审议并通过了《关于全资子公司拟与关联方签订施工总承包合同暨关联交易的议案》,同意现湖北路桥拟与关联方当阳经开园区开发建设有限公司目签订《湖北当阳经济开发区工业园区 PPP 开发建设项目施工总承包合同》,签约合同价暂定为人民币119,629.73万元。

具体详见2023年4月29日、2023年5月27日公司指定信息披露报刊和上海证券交易所网站。

特此公告。

武汉东湖高新集团股份有限公司

董 事 会

二〇二三年七月十三日

证券代码:600133 证券简称:东湖高新 公告编号:临2023-063

可转债代码:110080 可转债简称:东湖转债

武汉东湖高新集团股份有限公司

关于调增2023年年度日常关联交易

预计额度的公告

本公司董事会及全体董事保证本公告内容不存在任何虚假记载、误导性陈述或者重大遗漏,并对其内容的真实性、准确性和完整性承担法律责任。

重要内容提示:

●是否需要提交股东大会审议:是

日常关联交易对公司的影响:

本次日常关联交易为正常生产经营行为,以市场价格为定价标准,不会损害本公司及非关联股东利益。本次调整日常关联交易额度对公司的影响不大,公司不会对关联方形成依赖,同时该等关联交易不影响公司的独立性。

一、日常关联交易事项基本情况

(一)日常关联交易履行的审议程序

1、2023年4月19日,武汉东湖高新集团股份有限公司(以下简称“公司”、“东湖高新”)召开第九届董事会第二十四次会议,审议通过了《公司2023年年度预计日常关联交易的议案》,关联董事回避表决,非关联董事全部通过。该议案于2023年5月26日经公司2022年年度股东大会审议批准,关联股东回避表决。

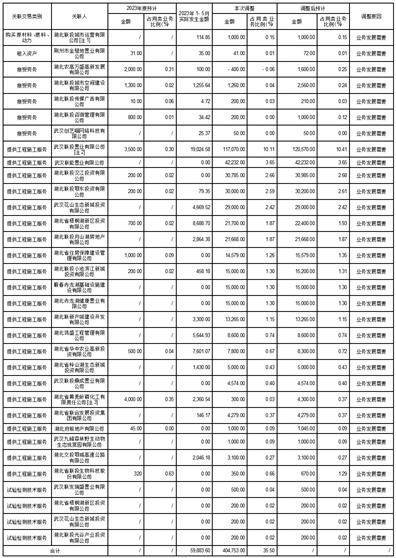
基于公司经营业务发展和日常生产经营的需要,公司2023年拟调整与关联方湖北联投城市运营有限公司(以下简称“城市运营”)、荆州市金楚地置业有限公司(以下简称“金楚地置业”)、湖北农高万盛高新发展有限公司(以下简称“农高万盛”)、湖北联投城市空间建设有限公司(以下简称“城市空间”)、湖北联投传媒广告有限公司(以下简称“联投传媒”)、湖北联投咨询管理有限公司(以下简称“联投咨询”)、武汉创艺喵网络科技有限公司(以下简称“武汉创艺喵”)、武汉联投置业有限公司(以下简称“联投置业”)、武汉联能置业有限公司(以下简称“联能置业”)、湖北联投汉江投资有限公司(以下简称“联投汉江”)、湖北联投鄂东投资有限公司(以下简称“鄂东公司”)、武汉花山生态新城投资有限公司(以下简称“花山公司”)、湖北省梧桐湖新区投资有限公司(以下简称“梧桐湖公司”)、湖北联投月山湖房地产有限公司(以下简称“联投月山湖”)、湖北省住房保障建设管理有限公司(以下简称“住房保障公司”)、湖北联投小池滨江新城投资有限公司(以下简称“小池公司”)、湖北赤龙湖健康置业有限公司(以下简称“赤龙湖公司”)、蕲春赤龙湖基础设施建设有限公司(以下简称“蕲春公司”)、湖北联新产城建设开发有限公司(以下简称“联新产城”)、湖北鸿盛工程管理有限公司(以下简称“湖北鸿盛”)、湖北省华中农业高新投资有限公司(以下简称“华中农高”)、湖北省梓山湖生态新城投资有限公司(以下简称“梓山湖公司”)、武汉联投鼎成置业有限公司(以下简称“鼎成置业”)、湖北省黄麦岭磷化工有限责任公司(以下简称“黄麦岭公司”)、湖北省联合发展投资集团有限公司(以下简称“联发投”)、湖北府前地产有限公司(以下简称“府前地产”)、武汉九峰森林野生动物生态观赏园有限公司(以下简称“九峰动物园”)、湖北交投鄂咸高速公路有限公司(以下简称“交投鄂咸”)、湖北省联投生物科技股份有限公司(以下简称“联投生物”)、武汉联发瑞盛置业有限公司(以下简称“联发瑞盛”)、湖北联投光谷产业投资有限公司(以下简称“联投光谷”)的日常性关联交易,共计增加向关联人发生关联交易金额不超过404,753万元,本次调整前2023年年度日常关联交易预计金额为180,439万元,调整后公司同关联人发生2023年年度日常关联交易金额预计不超过585,192万元。

上述《关于2023年年度预计日常关联交易的公告》(公告编号:临2023-023)具体内容详见2023年4月21日公司指定披露报刊和上海证券交易所网站。

2、公司调整2023年年度日常关联交易预计额度属于正常经营行为,是为了满足日常生产经营及计划和目标实施的正常经营活动,不会因此类交易影响上市公司独立性,也不会因此而对关联人形成依赖。本次与关联方之间的交易不存在损害公司、股东包括非关联股东和中小股东利益的情况。

3、本次关联交易调增事项已经公司第十届董事会第二次会议、第十届监事会第二次会议审议通过,尚需提交公司股东大会审议。

(二)2023年日常关联交易预计金额和类别

本次涉及调整 2023年日常关联交易预计的具体情况如下:

单位:万元

注:2023年1-5月实际发生金额并非审计数据,最终需以审计数据为准。

[注1]:本项关联交易为公司全资子公司湖北省路桥集团有限公司或其合并口径子公司向湖北联投城市运营有限公司或其合并口径子公司采购原材料、燃料、动力形成的关联交易。

[注2]:本项关联交易为公司全资子公司湖北省路桥集团有限公司或其合并口径子公司向武汉联投置业有限公司或其合并口径子公司提供工程施工服务形成的关联交易。

[注3]:本项关联交易为公司全资子公司湖北省路桥集团有限公司或其合并口径子公司向湖北省黄麦岭磷化工有限责任公司或其合并口径子公司提供工程施工服务形成的关联交易。

二、关联方介绍和关联关系

(一)关联方基本情况

1、湖北联投城市运营有限公司

公司名称:湖北联投城市运营有限公司

公司类型:有限责任公司(国有控股)

法定代表人:鞠玲

注册资本:70,123.50万元人民币

成立日期:2021年04月12日

住所:武汉东湖新技术开发区花城大道9号武汉软件新城1.1期A2栋502室

经营范围:许可项目:城市生活垃圾经营性服务;城市建筑垃圾处置(清运);餐厨垃圾处理;食品销售(依法须经批准的项目,经相关部门批准后方可开展经营活动,具体经营项目以相关部门批准文件或许可证件为准)一般项目:名胜风景区管理;游览景区管理;城市公园管理;森林公园管理;生态保护区管理服务;市政设施管理;商业综合体管理服务;城乡市容管理;公共事业管理服务;工程管理服务;环境保护监测;水环境污染防治服务;环境应急治理服务;非居住房地产租赁;城市绿化管理;停车场服务;物业管理;生态恢复及生态保护服务;土壤污染治理与修复服务(除许可业务外,可自主依法经营法律法规非禁止或限制的项目)

股东:湖北省联合发展投资集团有限公司持股比例为71.3028%;武汉联投置业有限公司持股比例为21.7988%;湖北清能投资发展集团有限公司持股比例为6.8984%。

2、荆州市金楚地置业有限公司

公司名称:荆州市金楚地置业有限公司

公司类型:有限责任公司(非自然人投资或控股的法人独资)

法定代表人:廖荣

注册资本:10,000.00万元人民币

成立日期:2015年01月04日

住所:荆州市华中农高区太湖大道中段

经营范围:房地产开发、销售;自有房屋租赁;建筑工程、土石方工程、室内外装饰装潢工程、园林绿化工程、市政工程设计、施工;酒店管理服务;餐饮服务;日用百货、服装鞋帽、电子产品、家用电器、家具、预包装食品、散装食品的销售;代收水电费。(涉及许可经营项目,应取得相关部门许可后方可经营)

股东:湖北省华中农业高新投资有限公司持股比例为100%。

3、湖北农高万盛高新发展有限公司

公司名称:湖北农高万盛高新发展有限公司

公司类型:有限责任公司(非自然人投资或控股的法人独资)

法定代表人:魏同德

注册资本:2,000.00万元人民币

成立日期:2015年05月18日

住所:荆州市荆州高新区太湖大道中段管委会2号楼

经营范围:对农业项目开发;棉花、水稻、玉米、蚕豆、红薯的种植、加工、销售;饮品开发、销售;苗木种植及销售;农业技术研究、咨询、推广、服务;食品销售;电影放映;房地产开发;建筑工程施工;建筑装修装饰施工;城市园林绿化工程施工;市政公用工程施工;不动产租赁;城市环境卫生服务;保洁;垃圾清运;住宿服务;场地租赁;休闲健身活动策划方案;种植园采摘。(涉及许可经营项目,应取得相关部门许可后方可经营)

股东:湖北省华中农业高新投资有限公司持股比例为100%。

4、湖北联投城市空间建设有限公司

公司名称:湖北联投城市空间建设有限公司

公司类型:有限责任公司(非自然人投资或控股的法人独资)

法定代表人:吴曙光

注册资本:1,000.00万元人民币

成立日期:2022年06月10日

住所:武汉市江岸区四唯街道中山大道1354号匠心城·三阳中心F17楼

经营范围:许可项目:城市生活垃圾经营性服务;城市建筑垃圾处置(清运);餐厨垃圾处理;建设工程施工(依法须经批准的项目,经相关部门批准后方可开展经营活动,具体经营项目以相关部门批准文件或许可证件为准)一般项目:名胜风景区管理;游览景区管理;城市公园管理;森林公园管理;生态保护区管理服务;市政设施管理;商业综合体管理服务;城乡市容管理;公共事业管理服务;工程管理服务;环境保护监测;水环境污染防治服务;环境应急治理服务;非居住房地产租赁;城市绿化管理;停车场服务;物业管理;生态恢复及生态保护服务;土壤污染治理与修复服务;园林绿化工程施工;花卉种植;建筑材料销售;五金产品批发;五金产品零售(除许可业务外,可自主依法经营法律法规非禁止或限制的项目)

股东:湖北联投城市运营有限公司持股比例为100%。

5、湖北联投传媒广告有限公司

公司名称:湖北联投传媒广告有限公司

公司类型:其他有限责任公司

法定代表人:蒋念

注册资本:3,000.00万元人民币

成立日期:2011年09月08日

住所:武汉市江汉区新华路316号良友大厦2703房

经营范围:许可项目:食品销售;食品互联网销售;互联网新闻信息服务;在线数据处理与交易处理业务(经营类电子商务);广播电视节目制作经营;电视剧制作;音像制品制作;信息网络传播视听节目;网络文化经营;酒类经营;住宅室内装饰装修;建设工程施工(除核电站建设经营、民用机场建设);互联网信息服务(依法须经批准的项目,经相关部门批准后方可开展经营活动,具体经营项目以相关部门批准文件或许可证件为准)一般项目:食品销售(仅销售预包装食品);日用百货销售;文具用品批发;工艺美术品及收藏品批发(象牙及其制品除外);艺术品代理;国内贸易代理;个人卫生用品销售;日用品销售;礼品花卉销售;互联网销售(除销售需要许可的商品);电子产品销售;软件销售;办公设备耗材销售;纸浆销售;纸制品销售;日用杂品销售;办公用品销售;工艺美术品及礼仪用品销售(象牙及其制品除外);工艺美术品及收藏品零售(象牙及其制品除外);网络技术服务;软件开发;网络与信息安全软件开发;软件外包服务;信息系统运行维护服务;物联网技术服务;信息技术咨询服务;数字内容制作服务(不含出版发行);企业管理;信息咨询服务(不含许可类信息咨询服务);市场营销策划;企业形象策划;广告设计、代理;广告发布;会议及展览服务;广告制作;品牌管理;企业管理咨询;旅游开发项目策划咨询;数字广告发布;数字广告设计、代理;礼仪服务;船舶租赁;机械设备租赁;专业设计服务;平面设计;技术服务、技术开发、技术咨询、技术交流、技术转让、技术推广;工艺美术彩灯设计;物联网技术研发;城市绿化管理;摄像及视频制作服务;咨询策划服务;电影摄制服务;个人互联网直播服务(除许可业务外,可自主依法经营法律法规非禁止或限制的项目)

股东:湖北联投城市运营有限公司持股比例为66.6667%,湖北联交投实业开发有限公司持股比例为33.3333%。

6、湖北联投咨询管理有限公司

公司名称:湖北联投咨询管理有限公司

公司类型:有限责任公司(非自然人投资或控股的法人独资)

法定代表人:张鹏

注册资本:5,000.00万元人民币

成立日期:2010年11月08日

住所:武汉市江夏区文化大道399号联投大厦20楼(申报承诺登记)

经营范围:一般项目:工程造价咨询业务;工程管理服务;采购代理服务;招投标代理服务(除依法须经批准的项目外,凭营业执照依法自主开展经营活动)

股东:湖北省联合发展投资集团有限公司持股比例为100%。

7、武汉创艺喵网络科技有限公司

公司名称:武汉创艺喵网络科技有限公司

公司类型:有限责任公司(非自然人投资或控股的法人独资)

法定代表人:柯妍

注册资本:200.00万元人民币

成立日期:2017年12月14日

住所:武昌区杨园街道和平大道1004号武汉杨园教育科技创业园4号楼A座302-303室(房产证地址为5幢)

经营范围:许可项目:建设工程施工;演出经纪;电视剧制作;电视剧发行;出版物批发;出版物零售;出版物互联网销售;电子出版物复制;电子出版物制作;住宅室内装饰装修;互联网信息服务;互联网新闻信息服务;广播电视节目制作经营;网络文化经营;酒类经营;食品销售(依法须经批准的项目,经相关部门批准后方可开展经营活动,具体经营项目以相关部门批准文件或许可证件为准)一般项目:软件开发;广告发布;个人互联网直播服务;文化娱乐经纪人服务;组织文化艺术交流活动;其他文化艺术经纪代理;文具用品批发;文具用品零售;国内贸易代理;互联网销售(除销售需要许可的商品);教学用模型及教具销售;会议及展览服务;专业设计服务;图文设计制作;广告设计、代理;广告制作;平面设计;企业形象策划;企业管理咨询;物业管理;市场营销策划;信息咨询服务(不含许可类信息咨询服务);网络技术服务;电影摄制服务;图书出租;电子出版物出租;摄像及视频制作服务;规划设计管理;品牌管理;房地产咨询;房地产经纪;咨询策划服务;工程管理服务;艺术品代理;园林绿化工程施工;文艺创作;工艺美术品及礼仪用品销售(象牙及其制品除外);食品销售(仅销售预包装食品);办公用品销售;纸制品销售(除依法须经批准的项目外,凭营业执照依法自主开展经营活动)

股东:湖北联投传媒广告有限公司持股比例为100%。

8、武汉联投置业有限公司

公司名称:武汉联投置业有限公司

公司类型:其他有限责任公司

法定代表人:王玮

注册资本:300,000.00万元人民币

成立日期:2009年05月15日

住所:武汉经济技术开发区东风大道36号

经营范围:房地产开发,商品房销售;酒店管理;物业管理;旅游开发;房地产中介服务。(依法须经批准的项目,经相关部门批准后方可开展经营活动)

股东:湖北省联合发展投资集团有限公司持股比例为87.3333%,湖北省水利水电科学研究院持股比例为12.6667%。

9、武汉联能置业有限公司

公司名称:武汉联能置业有限公司

公司类型:其他有限责任公司

法定代表人:张轩

注册资本:100,000.00万元人民币

成立日期:2022年05月12日

住所:武汉东湖新技术开发区花山街道严西湖路联投悠乐里商业街B-1-17

经营范围:许可项目:房地产开发经营(依法须经批准的项目,经相关部门批准后方可开展经营活动,具体经营项目以相关部门批准文件或许可证件为准)一般项目:物业管理(除许可业务外,可自主依法经营法律法规非禁止或限制的项目)

股东:武汉联投置业有限公司持股比例为79.00%,湖北清能置业有限公司持股比例为21.00%

10、湖北联投汉江投资有限公司

公司名称:湖北联投汉江投资有限公司

公司类型:有限责任公司(非自然人投资或控股的法人独资)

法定代表人:谢海伦

注册资本:50,000.00万元人民币

成立日期:2021年09月30日

住所:襄阳市樊城区卧龙大道88号普陀龙湾

经营范围:一般项目:土地整治服务;园区管理服务;环保咨询服务;信息技术咨询服务;商业综合体管理服务;建筑材料销售;建筑装饰材料销售;金属材料销售;石油制品销售(不含危险化学品);以自有资金从事投资活动;自有资金投资的资产管理服务(除许可业务外,可自主依法经营法律法规非禁止或限制的项目)

股东:湖北省联合发展投资集团有限公司持股比例为100%。

11、湖北联投鄂东投资有限公司

公司名称:湖北联投鄂东投资有限公司

公司类型:有限责任公司(非自然人投资或控股的法人独资)

法定代表人:史文明

注册资本:50,000.00万元人民币

成立日期:2022年04月24日

住所:湖北省黄冈市高新技术产业开发区明珠大道68号管委会办公楼14楼

经营范围:许可项目:矿产资源(非煤矿山)开采;金属与非金属矿产资源地质勘探;建设工程施工(除核电站建设经营、民用机场建设);房地产开发经营;矿产资源勘查;建设工程施工;建设工程监理;建设工程勘察;建设工程设计(依法须经批准的项目,经相关部门批准后方可开展经营活动,具体经营项目以相关部门批准文件或许可证件为准)一般项目:以自有资金从事投资活动;土地整治服务;承接总公司工程建设业务;资产评估(除许可业务外,可自主依法经营法律法规非禁止或限制的项目)

股东:湖北省联合发展投资集团有限公司持股比例为100%。

12、武汉花山生态新城投资有限公司

公司名称:武汉花山生态新城投资有限公司

公司类型:其他有限责任公司

法定代表人:张凌

注册资本:110,000.00万元人民币

成立日期:2009年02月26日

住所:武汉市洪山区花山镇特1号

经营范围:土地开发及整理、园区建设;房地产开发业务;对基础设施、高新技术产业、节能环保产业以及其他政策性建设项目的投融资;委托投资与资产管理业务;国际技术经济合作业务。(国家有专项规定的经审批后方可经营)

股东:湖北省联投新城发展集团有限公司持股比例为70.00%,湖北省科技投资集团有限公司持股比例为30.00%。

13、湖北省梧桐湖新区投资有限公司

公司名称:湖北省梧桐湖新区投资有限公司

公司类型:其他有限责任公司

法定代表人:张舟

注册资本:100,000.00万元人民币

成立日期:2009年06月17日

住所:鄂州市梁子湖区东沟镇

经营范围:对基础设备、高新技术产业、节能环保产业以及其他政策性建设项目的投资;委托投资与资产管理业务;土地开发及整理(限湖北省梧桐湖新区范围内);园区建设;旅游景区、景点开发建设;对建设项目提供咨询和担保(不含金融业务);房地产开发;房屋租赁;商品房销售。(依法须经批准的项目,经相关部门批准后方可开展经营活动)***

股东:湖北省联合发展投资集团有限公司持股比例为70.00%,鄂州市梁子湖区城市建设投资有限公司持股比例为20.00%,鄂州市城市建设投资有限公司持股比例为10.00%。

14、湖北联投月山湖房地产有限公司

公司名称:湖北联投月山湖房地产有限公司

公司类型:有限责任公司(非自然人投资或控股的法人独资)

法定代表人:冯亮

注册资本:1,000万人民币

成立日期:2014年11月13日

住所:鄂州市梧桐湖新区凤凰苑

经营范围:房地产开发;商品房销售;物业管理;酒店管理;旅游开发;房屋租赁;机电设备安装;消防工程的施工;建筑工程;装饰工程的设计、施工。(依法须经批准的项目,经相关部门批准后方可开展经营活动)

股东:湖北联投集团有限公司持股比例为100%。

15、湖北省住房保障建设管理有限公司

公司名称:湖北省住房保障建设管理有限公司

公司类型:有限责任公司(非自然人投资或控股的法人独资)

法定代表人:陈瞻

注册资本:500,000万元人民币

成立日期:2022年02月10日

住所:武昌区中南路99号武汉保利文化广场17层

经营范围:许可项目:房地产开发经营;建设工程施工(依法须经批准的项目,经相关部门批准后方可开展经营活动,具体经营项目以相关部门批准文件或许可证件为准)一般项目:住房租赁;土地使用权租赁;非居住房地产租赁;以自有资金从事投资活动;自有资金投资的资产管理服务;物业管理;房地产咨询;业务培训(不含教育培训、职业技能培训等需取得许可的培训)(除依法须经批准的项目外,凭营业执照依法自主开展经营活动)

股东:湖北省联合发展投资集团有限公司持股比例为100%。

16、湖北联投小池滨江新城投资有限公司

公司名称:湖北联投小池滨江新城投资有限公司

公司类型:其他有限责任公司

法定代表人:万化文

注册资本:50,000万人民币

成立日期:2013年03月13日

(下转B62版)

本版导读

  • 武汉东湖高新集团股份有限公司 第十届董事会第二次会议决议公告 2023-07-13

相关内容

热门资讯

公告精选︱同花顺:预计2025... 【热点】 日盈电子(603286.SH):目前公司无人形机器人相关业务收入 海特生物(300683....
中国经济年报丨中国年用电量首破... (央视财经《经济信息联播》)2025年我国全社会用电量规模首次突破10万亿千瓦时,这一量级在全球范围...
原创 欧... 新年刚开始,全球市场又被一条消息炸醒了。 美国总统特朗普放出狠话:如果丹麦等八个欧洲国家不把格陵兰岛...
扩内需战略实施方案将出台,正研... 1月20日,国务院新闻办举行两场重磅新闻发布会,国家发改委、财政部释放出扩内需、稳增长的强烈信号。 ...
鸣鸣很忙开启招股;京东成立京东... |2026年1月21日 星期三| NO.1 六家公司同日递表港交所 据港交所1月19日消息,君乐宝、...
小红书继“红猫计划”“红京计划... 文|今朝新闻 1月13日,小红书正式官宣与美团达成战略合作,推出“红美计划”,首期开放美团买药业务...
个人消费贷“国补”加码!信用卡... 1月20日,财政部、中国人民银行、国家金融监督管理总局发布《关于优化实施个人消费贷款财政贴息政策有关...
原创 今... 2026年1月20日,黄金回调令贵金属情绪降温:现货黄金约4677.53美元/盎司,国内黄金基准约1...
袁亮宏 IPO 赌局:袁记三年... 作者丨牛刀财经 李登军 2026 年 1 月 12 日,袁亮宏掌舵的袁记食品正式递表港交所,剑指 ...
国家级试点!天津唯一!中石化天... 天津北方网讯:近日,市场监管总局印发通知,在天津、辽宁、上海、江苏等13个省市的21家具有一定管理基...
3万月薪急招董秘!安徽五粮液大... 图源:百川名品公众号 2026年伊始,一则招聘信息,揭开安徽酒类流通企业百川名品供应链股份有限公司(...
德国之后,荷兰也撤了!特朗普被... 美欧关于格陵兰岛的纷争愈演愈烈,17日美国总统特朗普突然宣布,将因格陵兰岛问题对几个主要欧洲国家额外...
A股走势现矛盾,后市待察 2026年第三周伊始,市场低开,紧跟世界步伐。低开后深挖一点后反弹,30K走出大阳,从其结构看生逢其...
为全球经济注入更多确定性力量 新华社瑞士达沃斯1月20日电 题:为全球经济注入更多确定性力量 新华社记者李拯宇 徐超 冬日的阿尔卑...
白酒何时能重回巅峰? 白酒,作为中国传统饮品,承载着悠久的历史与深厚的文化底蕴。长期以来,白酒在国内市场占据着重要地位,不...
原创 2... 2026年开年,人民币汇率走出了一波强劲上涨的行情,1月20日,人民币对美元即期汇率盘中成功突破6....
独家专访建银国际首席策略师赵文... 来源:21世纪经济报道 南方财经 21世纪经济报道记者吴斌 即便面对全球市场的惊涛骇浪,中国企业依...
原创 全... 黄金市场又炸开锅了。 2026年1月20日亚洲交易时段,国际金价直接冲上4700美元关口,盘中最高...
分拆上市也是利好,但别被K线所... 近期,一家全球领先的智慧物联企业宣布分拆旗下子公司赴港上市。公开信息显示,该子公司聚焦工业互联领域的...
国际原子能机构:切尔诺贝利核电... △切尔诺贝利资料图 当地时间20日,国际原子能机构在社交平台上发布消息称,“国际原子能机构总干事格罗...