杭州银行股份有限公司2023第三季度报告
证券时报
2023-10-28 09:04:00
0

原标题:杭州银行股份有限公司2023第三季度报告

重要内容提示:

●公司董事会、监事会及董事、监事、高级管理人员保证季度报告内容的真实、准确、完整,不存在虚假记载、误导性陈述或重大遗漏,并承担个别和连带的法律责任。

●公司第八届董事会第三次会议于2023年10月27日审议通过了本季度报告,本次会议应出席董事13名,实际出席董事13名。

●公司法定代表人、董事长宋剑斌,行长虞利明,财务总监章建夫及会计机构负责人韩晓茵保证季度报告中财务信息的真实、准确、完整。

●本季度报告所载财务数据及指标按照中国企业会计准则编制,除特别说明外,2023年第三季度报告中财务数据与指标均为合并报表数据,货币单位以人民币列示。

●第三季度财务报表是否经审计:○是 √否

一、主要财务数据

(一)主要会计数据和财务指标

单位:人民币千元

注:1、“本报告期”指本季度初至本季度末3个月期间,下同;

2、非经常性损益根据中国证券监督管理委员会公告[2008]43号《公开发行证券的公司信息披露解释性公告第1号一一非经常性损益》的定义计算,下同;

3、加权平均净资产收益率和每股收益根据《公开发行证券的公司信息披露编报规则第9号一一净资产收益率和每股收益的计算及披露》(2010年修订)计算,下同;

4、2023年1月,公司按照无固定期限资本债券(以下简称“永续债”)票面利率4.10%计算,向全体债券持有者支付利息人民币2.87亿元(含税)。在计算本报告披露的基本每股收益和加权平均净资产收益率时,公司考虑了相应的永续债利息;

5、公司本期尚未发放优先股股息,在计算本报告披露的基本每股收益和加权平均净资产收益率时,公司未考虑相应的优先股股息。

(二)非经常性损益项目和金额

单位:人民币千元

注:公司对非经常性损益项目的确认依照《公开发行证券的公司信息披露解释性公告第1号一一非经常性损益(2008)》(中国证券监督管理委员会公告[2008]43号)的规定执行。持有交易性金融资产产生的公允价值变动损益,以及处置交易性金融资产、其他债权投资及债权投资等取得的投资收益,系公司正常经营业务,不作为非经常性损益。

(三)主要会计数据、财务指标发生变动的情况、原因

单位:人民币千元

二、股东信息

(一)普通股股东总数及前十名股东持股情况表

单位:股

(二)优先股股东总数及前10名优先股股东持股情况

单位:股

三、其他提醒事项

(一)银行业务数据

1. 补充财务数据

单位:人民币千元

注:1、企业贷款包括票据贴现;

2、其他存款包括财政性存款、开出汇票、信用卡存款、应解汇款及临时存款;

3、上表贷款总额、存款总额及其明细项目均不含应计利息,下同;

4、成本收入比=业务及管理费/营业收入;

5、归属于公司股东的平均总资产收益率=归属于上市公司股东的净利润/[(期初总资产+期末总资产)/2];

6、全面摊薄净资产收益率=归属于上市公司普通股股东的净利润/归属于上市公司普通股股东的净资产;

7、平均总资产回报率、全面摊薄净资产收益率均未年化处理。

2. 资本构成及变化情况

单位:人民币千元

注:上表按照2012年6月7日原中国银监会发布的《商业银行资本管理办法(试行)》(中国银监会令2012年第1号)相关规定,信用风险采用权重法、市场风险采用标准法、操作风险采用基本指标法计量,计量方法保持一致,对资本充足率计算无影响。

3. 杠杆率

单位:人民币千元

4. 流动性覆盖率

单位:人民币千元

注:上表各指标依据原中国银保监会于2018年5月发布的《商业银行流动性风险管理办法》计算。

5. 其他监管财务指标

注:1、上表中同业拆借资金比例依据中国人民银行2007年发布的《同业拆借管理办法》使用人民币口径计算;

2、上表中流动性比例依据原中国银保监会于2018年5月发布的《商业银行流动性风险管理办法》计算;单一最大客户贷款集中度、最大十家客户贷款集中度依据原中国银保监会发布的《商业银行风险监管核心指标(试行)》以非并表口径计算。

6. 信贷资产五级分类情况

截至2023年9月末,按贷款五级分类口径,公司后三类不良贷款总额为59.66亿元,较上年末增加5.46亿元,不良贷款率为0.76%,较上年末下降0.01个百分点。

单位:人民币千元

(二)整体经营情况分析

公司坚定按照“二二五五”战略的指引,坚持“稳中求进”的总基调,以客户为中心,强化数智赋能,转方向、调结构、增营收,推进高质量发展。2023年前三季度,公司经营稳健,营业收入稳中有进,净利润增长较快,资产负债规模稳步增长,资产质量保持稳定。

经营效益稳中有升。2023年前三季度,公司实现营业收入274.32亿元,较上年同期增长5.26%,实现利息净收入175.92亿元,较上年同期增长3.77%,实现非利息净收入98.40亿元,较上年同期增长8.03%;实现归属于公司股东净利润116.92亿元,较上年同期增长26.06%;加权平均净资产收益率13.12%(未年化),较上年同期提高1.41个百分点;基本每股收益1.92元/股(未年化),较上年同期增长26.32%。

资产负债稳步增长。2023年三季度末,公司资产总额17,901.45亿元,较上年末增加1,736.07亿元,增幅10.74%;其中贷款总额7,852.26亿元,较上年末增加830.23亿元,增幅11.82%,贷款总额占资产总额比例43.86%,较上年末提升0.42个百分点;负债总额16,817.59亿元,较上年末增加1,637.94亿元,增幅10.79%;存款总额10,122.37亿元,较上年末增加841.53亿元,增幅9.07%。

资产质量保持平稳。2023年三季度末,公司不良贷款率0.76%,较上年末下降0.01个百分点;逾期贷款与不良贷款比例、逾期90天以上贷款与不良贷款比例分别为89.06%、60.38%。2023年前三季度,公司累计核销不良贷款11.85亿元,计提各类信用减值损失63.18亿元。2023年三季度末,公司不良贷款拨备覆盖率569.52%,较上年末提高4.42个百分点。

(三)主要业务讨论与分析

公司金融夯实经营基本盘。公司持续迭代“六引擎”产品与服务,有效支持实体经济发展。三季度末,公司金融条线贷款余额4,598.99亿元,较上年末增长16.32%;投向制造业的贷款余额(监管口径)810.37亿元,较上年末增长15.26%;绿色贷款余额632.85亿元,较上年末增长17.19%。交易银行方面,“财资金引擎”依托开放优势,加快金融场景生态建设,推出智慧园区、智慧食堂等综合服务方案;“贸易金引擎”依托产业链核心企业,提供以点带链的多元化产品服务,助力链、企稳定运行;“外汇金引擎”加速提升产品组合服务能级,优化离在岸、多元化、全流程的跨境金融服务体系。投资银行方面,“债券金引擎”持续提升专业化服务水平,推动非金融企业债务融资工具主承销业务持续增长,前三季度承销各类债务融资工具1,465.73亿元,较上年同期增长11.37%,浙江省内银行间市场占有率保持第一。科创金融方面,深化科创体制机制改革,整合打造科创金融事业总部,“科创金引擎”持续迭代优化“科易贷”3.0等拳头产品,截至三季度末,“科易贷”累计服务超550家创业企业;“上市金引擎”不断丰富产品覆盖场景,持续赋能优质实体企业全生命周期发展,前三季度累计实现培育企业上市32家。

零售金融深化客群战略转型。财富业务方面,开展标准化拓客行动,加强代发客群经营;升级产品组合打法,攻坚企业主客群;细化私人银行客户服务体系,提升客户综合体验。截至报告期末,零售客户总资产(AUM)5,040.60亿元,较上年末增加233.73亿元,增幅4.86%;零售金融条线个人储蓄存款余额2,151.01亿元,较上年末增加336.95亿元,增幅18.57%。信贷业务方面,消费信用贷业务实施客群精准分类和差异化定价,精准梳理渠道及客群,稳步探索客群下沉;房贷业务进一步巩固深化分行领航,推动重点渠道拓展,深化渠道合作。期末个人住房按揭贷款余额921.22亿元,较上年末增加22.05亿元;零售金融条线贷款余额1,295.17亿元,不良贷款率0.40%,资产质量保持良好水平。

小微金融推进“抵押、信用、数据”。公司持续夯实抵押基本盘,深化信用贷款延伸。期末普惠型小微贷款余额1,260.72亿元,较上年末增长12.31%。抵押方向继续聚焦重点客群,召开“钻石伙伴”园区品牌发布会,深耕园区客户,精准营销助力贷款投放,期末小微条线抵押贷款余额1,152.69亿元,较上年末新增167.21亿元,增幅16.97%。信用方向重点抓好喵贷、优企贷等重点产品,积极推进信用小微专营模式复制,稳步提升信用贷款规模;期末普惠型小微信用贷款余额137.84亿元,较上年末新增32.33亿元,增幅30.64%。数据方向持续完善“云贷e通”产品体系,不断升级产品功能、优化服务流程,提升客户体验;依托“蒲公英”营销平台进行潜客筛选,以大数据赋能营销,助推业务发展;升级小微信贷管理平台功能,推进客户经理行为检测模型开发,完善风险客户画像评价体系。

大资管业务坚持高质量发展。投资业务方面,加强政策研究和市场研判,提升做市能力,并作为首批债券策略交易参与者配合交易中心为全市场策略交易模块提供多种债券利差报价;对客业务方面,上线“钱塘汇交易系统”,进一步细化产品管理、风控管理及流程。同业业务方面,把握利率趋势,加大低成本中长期同业负债的吸收力度,顺利发行100亿元金融债券;迭代升级“金钥匙”客户管理平台,强化过程管理,开发“千人千面”服务功能,助力管理效能提升。托管业务方面,不断精进数智建设,上线“智多星”托管访客系统,升级投资监督“金睛”系统;聚焦重点产品,锚定业务赛道,期末资产托管规模超1.43万亿元。杭银理财经营良好,产品投资运作保持稳健,三季度末理财产品余额3,579.73亿元。

四、季度财务报表

(一) 审计意见类型

□适用 √不适用

(二) 财务报表

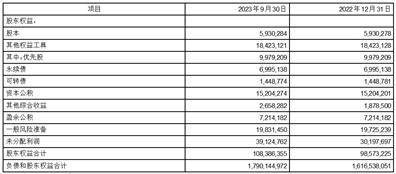
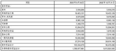
合并资产负债表

2023年9月30日

编制单位:杭州银行股份有限公司 单位:人民币千元 审计类型:未经审计

合并资产负债表(续)

2023年9月30日

编制单位:杭州银行股份有限公司 单位:人民币千元 审计类型:未经审计

法定代表人:宋剑斌 行长:虞利明

主管会计工作负责人:章建夫 会计机构负责人:韩晓茵

母公司资产负债表

2023年9月30日

编制单位:杭州银行股份有限公司 单位:人民币千元 审计类型:未经审计

母公司资产负债表(续)

2023年9月30日

编制单位:杭州银行股份有限公司 单位:人民币千元 审计类型:未经审计

法定代表人:宋剑斌 行长:虞利明

主管会计工作负责人:章建夫 会计机构负责人:韩晓茵

合并利润表

2023年1-9月

编制单位:杭州银行股份有限公司 单位:人民币千元 审计类型:未经审计

合并利润表(续)

2023年1-9月

编制单位:杭州银行股份有限公司 单位:人民币千元 审计类型:未经审计

法定代表人:宋剑斌 行长:虞利明

主管会计工作负责人:章建夫 会计机构负责人:韩晓茵

母公司利润表

2023年1-9月

编制单位:杭州银行股份有限公司 单位:人民币千元 审计类型:未经审计

母公司利润表(续)

2023年1-9月

编制单位:杭州银行股份有限公司 单位:人民币千元 审计类型:未经审计

法定代表人:宋剑斌 行长:虞利明

主管会计工作负责人:章建夫 会计机构负责人:韩晓茵

合并现金流量表

2023年1-9月

编制单位:杭州银行股份有限公司 单位:人民币千元 审计类型:未经审计

合并现金流量表(续)

2023年1-9月

编制单位:杭州银行股份有限公司 单位:人民币千元 审计类型:未经审计

法定代表人:宋剑斌 行长:虞利明

主管会计工作负责人:章建夫 会计机构负责人:韩晓茵

母公司现金流量表

2023年1-9月

编制单位:杭州银行股份有限公司 单位:人民币千元 审计类型:未经审计

母公司现金流量表(续)

2023年1-9月

编制单位:杭州银行股份有限公司 单位:人民币千元 审计类型:未经审计

法定代表人:宋剑斌 行长:虞利明

主管会计工作负责人:章建夫 会计机构负责人:韩晓茵

特此公告。

董事会

2023年10月27日

证券代码:600926 证券简称:杭州银行 公告编号:2023-054

优先股代码:360027 优先股简称:杭银优1

可转债代码:110079 可转债简称:杭银转债

杭州银行股份有限公司

本公司董事会及全体董事保证本公告内容不存在任何虚假记载、误导性陈述或者重大遗漏,并对其内容的真实性、准确性和完整性承担法律责任。

杭州银行股份有限公司(以下简称“公司”)第八届董事会第三次会议于2023年10月17日以电子邮件及书面形式发出会议通知,并于2023年10月27日以现场结合视频方式召开,宋剑斌董事长主持会议。本次会议应出席董事13名,实际出席董事13名,公司监事和高级管理层成员列席了本次会议。本次会议的召开符合《中华人民共和国公司法》等法律法规及《杭州银行股份有限公司章程》的有关规定,会议所形成的决议合法、有效。

会议审议并通过决议如下:

一、审议通过《杭州银行股份有限公司五年战略规划(2021-2025年)中期评估报告》

表决结果:同意13票;反对0票;弃权0票。

二、审议通过《杭州银行股份有限公司2023年第三季度报告》

批准公司2023年第三季度报告,同意对外披露。

表决结果:同意13票;反对0票;弃权0票。

具体详见公司在上海证券交易所披露的《杭州银行股份有限公司2023年第三季度报告》。

三、审议通过《关于制订〈杭州银行股份有限公司高级管理人员2023-2025年长期激励方案〉的议案》

表决结果:同意13票;反对0票;弃权0票。

四、审议通过《关于修订〈杭州银行股份有限公司独立董事制度实施办法〉的议案》

表决结果:同意13票;反对0票;弃权0票。

本议案需提交公司股东大会审议。

五、审议通过《关于修订〈杭州银行股份有限公司董事会秘书工作细则〉的议案》

表决结果:同意13票;反对0票;弃权0票。

六、审议通过《关于修订〈杭州银行股份有限公司投资者关系管理办法〉的议案》

表决结果:同意13票;反对0票;弃权0票。

具体详见公司在上海证券交易所披露的《杭州银行股份有限公司投资者关系管理办法》。

特此公告。

杭州银行股份有限公司董事会

2023年10月27日

本版导读

  • 杭州银行股份有限公司2023第三季度报告 2023-10-28

相关内容

热门资讯

全球资产,集体上涨!发生了什么... 转自:证券时报网 全球资产上涨。 2月18日,黄金、白银盘中拉升,截至发稿,伦敦金现再度站上4900...
“AI抢饭碗”叙事反转? IB... 财联社2月14日讯(编辑 史正丞)与美国科技行业当前主流的“AI会抢初级员工饭碗”叙事不同,老牌科技...
2026物价展望:CPI有望温... 2025年,物价运行呈现低位温和回升态势,消费领域价格总体平稳,核心CPI涨幅扩大,生产领域价格低位...
1月末社会融资规模存量同比增长... 央广网北京2月14日消息(记者唐婧)据中央广播电视总台经济之声《天下财经》报道,2026年1月末,社...
美国2025年商业投资强劲收官... 智通财经APP注意到,美国12月商业设备订单增幅超过预期,表明随着贸易政策不确定性逐渐消退,去年年底...
原创 中... 2026年作为“十五五”开局之年,中央密集释放楼市重磅信号,从中央经济工作会议到住建部专项部署,每一...
今夜,见证历史!全球大涨,利好... 全球市场大反攻。 今晚,欧洲股市全线大涨,多个股指刷新历史新高;美股三大指数期货集体走强,大型科技股...
金丰来:金价短期陷入高位回调 来源:市场资讯 2月18日,周二交易时段,受短线投机资金平仓及外部市场多重利空的影响,黄金与白银市场...
人体中的“马”踪:一份献给马年... 河南省人民医院神经内科 冯周琴 马年将至,新春启序。当我们喜迎丙午马年,不妨跳出生肖民俗的视角,走进...
原创 万... 本文内容均引用权威资料结合个人观点进行撰写,文末已标注文献来源,请知悉。 2月4日,美国副总统万斯...
常德市的历史文化及名人有哪些 常德市位于湖南北部,其悠悠历史长河中沉淀了丰富的文化瑰宝,也孕育出了众多杰出人物。探寻常德的历史文化...
发力AI社交 腾讯元宝日活跃用... 腾讯18日宣布,旗下战略级AI原生产品元宝的日活跃用户(DAU)超5000万,月活跃用户(MAU)已...
原创 眼... 前言 大家好,我是听澜。 2026年2月13日,世贸组织总干事伊维拉当着全球政治人士的面,竟然公开...
欧洲股市,集体上涨!黄金、白银... 当地时间2月18日,欧洲股市迎来普涨行情。英国富时100指数盘中创出历史新高,法国CAC40指数、德...
马斯克突发!特斯拉或将被合并! 最近,全球科技圈爆出大消息:马斯克旗下核心公司特斯拉,传闻将被整合,与他已完成合并的SpaceX和x...
马年投资锦囊|著名经济学家韩志... 深圳商报·读创客户端记者 钟国斌 著名经济学家韩志国在马年初一接受深圳商报·读创客户端记者专访时发表...
原创 光... 光当世界的钱袋子还不够,人民币要想取代美元,中国还得学会当全世界的债主。 时至今日,很多人一谈起人民...
AI科普 | “千问帮我点”—... 大年初一,阿里千问交出了一份“春节AI购物成绩单”:截至除夕当天的春节活动,全国超过1.3亿人第一次...
日本农林中金银行季赚9517万... 据路透社报道,日本农林中金银行2025年第三季度(10月至12月)实现净利润146亿日元(约合951...
原创 U... 2月18日,彭博社报道称,网约车巨头Uber计划在美国投资超过1亿美元,用于建设专为Robotaxi...