恒林家居股份有限公司2023第三季度报告
证券时报
2023-10-28 07:59:12
0

原标题:恒林家居股份有限公司2023第三季度报告

本公司董事会及全体董事保证本公告内容不存在任何虚假记载、误导性陈述或者重大遗漏,并对其内容的真实性、准确性和完整性承担法律责任。

重要内容提示:

公司董事会、监事会及董事、监事、高级管理人员保证季度报告内容的真实、准确、完整,不存在虚假记载、误导性陈述或重大遗漏,并承担个别和连带的法律责任。

公司负责人、主管会计工作负责人及会计机构负责人(会计主管人员)保证季度报告中财务信息的真实、准确、完整。

第三季度财务报表是否经审计

□是 √否

一、主要财务数据

(一)主要会计数据和财务指标

单位:元 币种:人民币

注:“本报告期”指本季度初至本季度末3个月期间,下同。

追溯调整或重述的原因说明

报告期内,公司发生会计政策变更。财政部于2022年11月30日发布实施《企业会计准则解释第16号》,其中“关于单项交易产生的资产和负债相关的递延所得税不适用初始确认豁免的会计处理”规定,自2023年1月1日起施行。对于在首次执行该规定的财务报表列报最早期间的期初因适用该规定的单项交易而确认的租赁负债和使用权资产,以及确认的弃置义务相关预计负债和对应的相关资产,产生应纳税暂时性差异和可抵扣暂时性差异的,公司按照该规定和《企业会计准则第18号一一所得税》的规定,将累计影响数调整财务报表列报最早期间的期初留存收益及其他相关财务报表项目。

(二)非经常性损益项目和金额

单位:元 币种:人民币

将《公开发行证券的公司信息披露解释性公告第1号一一非经常性损益》中列举的非经常性损益项目界定为经常性损益项目的情况说明

□适用 √不适用

(三)主要会计数据、财务指标发生变动的情况、原因

√适用 □不适用

二、股东信息

(一)普通股股东总数和表决权恢复的优先股股东数量及前十名股东持股情况表

单位:股

注1:公司回购专用账户未在“前十名股东持股情况”中列示,截至本报告期末,公司回购专户股份数为2,332,423股,占公司本报告期末总股数的1.68%。2023年10月12日,公司回购专用证券账户中所持有的2,332,423股已以非交易过户的方式过户至公司“恒林家居股份有限公司-2023年员工持股计划”证券账户(具体内容详见2023-040公告)。

注 2:截至报告期末,公司从中登上海分公司查询系统获悉:公司股东MORGAN STANLEY & CO. INTERNATIONAL PLC.持有的本公司3,380股股份处于可售交收锁定状态。

注 3:2022年10月,公司购买陈永兴等10名交易对方持有的永裕52.6%股份,原股东陈永兴承诺将不低于1.5亿购买恒林公开发行的股票,并自愿限售锁定三年。具体内容详见《恒林股份关于现金收购永裕家居52.5964%股份的公告》《恒林股份关于现金收购永裕家居52.5964%股份的进展暨交易对方完成股票购买并自愿锁定股份承诺的公告》。

三、其他提醒事项

需提醒投资者关注的关于公司报告期经营情况的其他重要信息

□适用 √不适用

四、季度财务报表

(一)审计意见类型

□适用 √不适用

(二)财务报表

合并资产负债表

2023年9月30日

编制单位:恒林家居股份有限公司

单位:元 币种:人民币 审计类型:未经审计

公司负责人:王江林 主管会计工作负责人:王学明 会计机构负责人:王学明

合并利润表

2023年1一9月

编制单位:恒林家居股份有限公司 单位:元 币种:人民币 审计类型:未经审计

本期发生同一控制下企业合并的,被合并方在合并前实现的净利润为:0元, 上期被合并方实现的净利润为: 0 元。

公司负责人:王江林 主管会计工作负责人:王学明 会计机构负责人:王学明

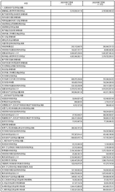
合并现金流量表

2023年1一9月

编制单位:恒林家居股份有限公司 单位:元 币种:人民币 审计类型:未经审计

公司负责人:王江林 主管会计工作负责人:王学明 会计机构负责人:王学明

2023年起首次执行新会计准则或准则解释等涉及调整首次执行当年年初的财务报表

□适用 √不适用

特此公告。

恒林家居股份有限公司董事会

2023年10月28日

本版导读

  • 2023-10-28
  • 2023-10-28

相关内容

热门资讯

全球资产,集体上涨!发生了什么... 转自:证券时报网 全球资产上涨。 2月18日,黄金、白银盘中拉升,截至发稿,伦敦金现再度站上4900...
“AI抢饭碗”叙事反转? IB... 财联社2月14日讯(编辑 史正丞)与美国科技行业当前主流的“AI会抢初级员工饭碗”叙事不同,老牌科技...
2026物价展望:CPI有望温... 2025年,物价运行呈现低位温和回升态势,消费领域价格总体平稳,核心CPI涨幅扩大,生产领域价格低位...
1月末社会融资规模存量同比增长... 央广网北京2月14日消息(记者唐婧)据中央广播电视总台经济之声《天下财经》报道,2026年1月末,社...
美国2025年商业投资强劲收官... 智通财经APP注意到,美国12月商业设备订单增幅超过预期,表明随着贸易政策不确定性逐渐消退,去年年底...
原创 中... 2026年作为“十五五”开局之年,中央密集释放楼市重磅信号,从中央经济工作会议到住建部专项部署,每一...
今夜,见证历史!全球大涨,利好... 全球市场大反攻。 今晚,欧洲股市全线大涨,多个股指刷新历史新高;美股三大指数期货集体走强,大型科技股...
金丰来:金价短期陷入高位回调 来源:市场资讯 2月18日,周二交易时段,受短线投机资金平仓及外部市场多重利空的影响,黄金与白银市场...
人体中的“马”踪:一份献给马年... 河南省人民医院神经内科 冯周琴 马年将至,新春启序。当我们喜迎丙午马年,不妨跳出生肖民俗的视角,走进...
原创 万... 本文内容均引用权威资料结合个人观点进行撰写,文末已标注文献来源,请知悉。 2月4日,美国副总统万斯...
常德市的历史文化及名人有哪些 常德市位于湖南北部,其悠悠历史长河中沉淀了丰富的文化瑰宝,也孕育出了众多杰出人物。探寻常德的历史文化...
发力AI社交 腾讯元宝日活跃用... 腾讯18日宣布,旗下战略级AI原生产品元宝的日活跃用户(DAU)超5000万,月活跃用户(MAU)已...
原创 眼... 前言 大家好,我是听澜。 2026年2月13日,世贸组织总干事伊维拉当着全球政治人士的面,竟然公开...
欧洲股市,集体上涨!黄金、白银... 当地时间2月18日,欧洲股市迎来普涨行情。英国富时100指数盘中创出历史新高,法国CAC40指数、德...
马斯克突发!特斯拉或将被合并! 最近,全球科技圈爆出大消息:马斯克旗下核心公司特斯拉,传闻将被整合,与他已完成合并的SpaceX和x...
马年投资锦囊|著名经济学家韩志... 深圳商报·读创客户端记者 钟国斌 著名经济学家韩志国在马年初一接受深圳商报·读创客户端记者专访时发表...
原创 光... 光当世界的钱袋子还不够,人民币要想取代美元,中国还得学会当全世界的债主。 时至今日,很多人一谈起人民...
AI科普 | “千问帮我点”—... 大年初一,阿里千问交出了一份“春节AI购物成绩单”:截至除夕当天的春节活动,全国超过1.3亿人第一次...
日本农林中金银行季赚9517万... 据路透社报道,日本农林中金银行2025年第三季度(10月至12月)实现净利润146亿日元(约合951...
原创 U... 2月18日,彭博社报道称,网约车巨头Uber计划在美国投资超过1亿美元,用于建设专为Robotaxi...