中科星图股份有限公司2023第三季度报告
证券时报
2023-10-27 07:29:15
0

原标题:中科星图股份有限公司2023第三季度报告

本公司董事会及全体董事保证本公告内容不存在任何虚假记载、误导性陈述或者重大遗漏,并对其内容的真实性、准确性和完整性依法承担法律责任。

重要内容提示:

公司董事会、监事会及董事、监事、高级管理人员保证季度报告内容的真实、准确、完整,不存在虚假记载、误导性陈述或重大遗漏,并承担个别和连带的法律责任。

公司负责人、主管会计工作负责人及会计机构负责人(会计主管人员)保证季度报告中财务信息的真实、准确、完整。

第三季度财务报表是否经审计

□是 √否

一、 主要财务数据

(一)主要会计数据和财务指标

单位:元 币种:人民币

注:“本报告期”指本季度初至本季度末3个月期间,下同。

(二)非经常性损益项目和金额

单位:元 币种:人民币

将《公开发行证券的公司信息披露解释性公告第1号一一非经常性损益》中列举的非经常性损益项目界定为经常性损益项目的情况说明

□适用 √不适用

(三)主要会计数据、财务指标发生变动的情况、原因

√适用 □不适用

二、 股东信息

(一)普通股股东总数和表决权恢复的优先股股东数量及前十名股东持股情况表

单位:股

三、 其他提醒事项

需提醒投资者关注的关于公司报告期经营情况的其他重要信息

□适用 √不适用

四、 季度财务报表

(一)审计意见类型

□适用 √不适用

(二)财务报表

合并资产负债表

2023年9月30日

编制单位:中科星图股份有限公司

单位:元 币种:人民币 审计类型:未经审计

公司负责人:许光銮 主管会计工作负责人:张亚然 会计机构负责人:张亚然

合并利润表

2023年1一9月

编制单位:中科星图股份有限公司

单位:元 币种:人民币 审计类型:未经审计

本期发生同一控制下企业合并的,被合并方在合并前实现的净利润为:0元, 上期被合并方实现的净利润为: 0 元。

公司负责人:许光銮 主管会计工作负责人:张亚然 会计机构负责人:张亚然

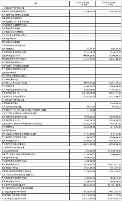
合并现金流量表

2023年1一9月

编制单位:中科星图股份有限公司

单位:元 币种:人民币 审计类型:未经审计

公司负责人:许光銮 主管会计工作负责人:张亚然 会计机构负责人:张亚然

2023年起首次执行新会计准则或准则解释等涉及调整首次执行当年年初的财务报表

√适用 □不适用

调整当年年初财务报表的原因说明

合并资产负债表

单位:元 币种:人民币

特此公告。

董事会

2023年10月27日

中科星图股份有限公司

本公司董事会及全体董事保证本公告内容不存在任何虚假记载、误导性陈述或者重大遗漏,并对其内容的真实性、准确性和完整性依法承担法律责任。

重要内容提示:

● 回购股份的资金总额、资金来源、回购价格区间、股份用途及回购期限:

中科星图股份有限公司(以下简称“公司”)上市后,业务规模快速扩大,资本市场关注度日渐提高,为回报股东和回馈资本市场关切,对在集团化业务发展过程中产生的投资收益,公司将用于回购股票并注销,以此形成长期回购机制。公司拟使用自有资金以集中竞价交易的方式回购公司股份,具体如下:

1、回购资金总额:不低于人民币 8,000 万元(含)且不超过人民币10,000 万元(含)。

2、回购价格区间:不超过人民币69元/股(含),该价格不高于公司董事会通过回购决议前30个交易日公司股票交易均价的150%。

3、回购用途:本次回购股份将注销并减少公司注册资本。

4、回购期限:自公司股东大会审议通过本次回购方案之日起不超过12个月。

5、回购资金来源:本次回购股份的资金来源为公司自有资金。

● 相关股东是否存在减持计划:

经自查,公司控股股东中科九度(北京)空间信息技术有限责任公司(以下简称“中科九度”)、持股5%以上股东曙光信息产业股份有限公司(以下简称“中科曙光”)以及公司副董事长、总经理邵宗有先生已承诺自2023年7月8日起12个月内不减持公司股票,因此在未来3个月、未来6个月内不存在减持计划,具体详见公司于2023年6月29日在上海证券交易所网站披露的《中科星图股份有限公司关于控股股东、持股5%以上股东及公司部分董事、高管承诺不减持公司股票的公告》(公告编号:2023-025)。

公司持股5%以上股东宁波星图群英创业投资合伙企业(有限合伙)(以下简称“星图群英”)在未来3个月、未来6个月存在减持公司股份的计划;高级管理人员陈伟先生、唐德可先生、张亚然女士、监事朱晓勇先生在未来3个月、未来6个月存在通过宁波星图荟萃创业投资合伙企业(有限合伙)(以下简称“星图荟萃”)间接减持公司股票的计划;其他董事、监事、高级管理人员在未来3个月、未来6个月暂不存在直接或间接减持公司股票的计划。未来相关方及公司将严格按照有关法律、法规及规范性文件的相关规定履行信息披露义务。

● 相关风险提示:

1、本次回购股份方案尚需提交公司股东大会审议通过,存在未能获得公司股东大会审议通过的风险;

2、本事项存在公司无法满足其他债权人清偿债务或提供担保进而导致回购方案难以实施的风险;

3、本次回购可能存在回购期限内公司股票价格持续超出回购价格上限,进而导致本次回购方案无法顺利实施或者只能部分实施的风险;

4、若公司在实施回购股份期间,受外部环境变化、临时经营需要等因素影响,可能存在回购方案无法实施或者部分实施的风险;

5、若发生对公司股票交易价格产生重大影响的重大事项,或公司生产经营、财务情况、外部客观情况发生重大变化,或其他导致公司董事会决定终止本次回购方案的事项发生,则存在回购方案无法顺利实施或者根据相关规定变更或终止本次回购方案的风险;

6、如遇监管部门颁布新的回购相关规范性文件,导致本次回购实施过程中需要根据监管新规调整回购相应条款的风险。

公司将在回购期限内根据市场情况择机做出回购决策并予以实施,并根据回购股份事项进展情况及时履行信息披露义务,敬请广大投资者注意投资风险。

一、回购方案的审议及实施程序

(一)2023年10月23日,公司副董事长、总经理邵宗有先生向公司董事会提议使用公司自有资金通过上海证券交易所交易系统以集中竞价交易方式回购公司已发行的部分人民币普通股(A股)股票。具体内容详见公司于上海证券交易所网站披露的《中科星图股份有限公司关于收到副董事长、总经理提议回购公司股份的提示性公告》(公告编号:2023-041)。

(二)2023年10月26日,公司召开第二届董事会第二十七次会议,审议通过了《关于以集中竞价交易方式回购股份方案的议案》。

公司全体董事出席会议,以11票同意、0票反对、0票弃权的表决结果通过了该项议案,独立董事对本次事项发表了同意的独立意见。

(三)本次回购股份方案尚需提交公司股东大会审议。公司将于2023年11月13日召开2023年第二次临时股东大会审议本次回购股份方案。具体详见同日披露的股东大会召开通知。本次回购股份拟全部用于减少公司注册资本,根据相关规定,公司将在股东大会作出回购股份决议后依法通知债权人。

上述提议时间、程序和董事会审议时间、程序等均符合《上市公司股份回购规则》《上海证券交易所上市公司自律监管指引第7号一一回购股份》等相关规定。

二、回购方案的主要内容

(一)本次回购股份的目的和用途

公司上市以来,业务规模快速扩大,资本市场关注度日渐提高,为回报股东和回馈资本市场关切,对在集团化业务发展过程中产生的投资收益,公司将用于回购股票并注销,以此形成长期回购机制。本次回购的股份将注销并减少公司注册资本。

(二)拟回购股份的种类

本次拟回购股份的种类为公司发行的人民币普通股(A 股)股票。

(三)拟回购股份的方式

通过上海证券交易所交易系统以集中竞价交易方式进行股份回购。

(四)拟回购股份的期限

1、本次回购股份期限为自公司股东大会审议通过回购股份方案之日起12个月内。公司将根据股东大会决议,在回购期限内,根据市场情况择机进行回购。回购方案实施期间,如公司股票因筹划重大事项连续停牌10个交易日以上,公司将在股票复牌后对回购方案顺延实施并及时披露。

2、如果触及以下条件,则回购期限提前届满:

(1)如果在回购期限内,回购股份数量或回购资金使用金额总额达到最高限额,则回购方案实施完毕,回购期限自该日起提前届满;

(2)如果在回购期限内,回购股份总金额达到下限时,则本次回购方案可自公司董事会决定终止本次回购方案之日起提前届满;

(3)如公司董事会决议终止本次回购方案,则回购期限自董事会决议终止本次回购方案之日起提前届满。

3、公司不得在下列期间回购股份:

(1)公司年度报告、半年度报告、季度报告、业绩预告或者业绩快报公告前10个交易日内;

(2)自可能对公司股票交易价格产生重大影响的重大事项发生之日或者在决策过程中至依法披露之日内;

(3)中国证监会和上海证券交易所规定的其他情形。

(五)拟回购股份的价格

本次回购股份的价格不超过人民币69元/股(含),该价格不高于公司董事会通过回购决议前30个交易日公司股票交易均价的150%。

如公司在回购期限内实施了资本公积金转增股本、现金分红、派送股票红利、配股、股票拆细或缩股等除权除息事项,公司将按照中国证监会及上海证券交易所的相关规定,对回购价格上限进行相应调整。

(六)拟回购股份的资金总额、资金来源

本次回购的资金总额不低于人民币8,000万元(含)且不超过人民币10,000万元(含)。具体回购资金以回购期限届满时回购股份实际使用的资金总额为准。

本次回购股份的资金来源为公司自有资金。

(七)拟回购股份的数量、占公司总股本的比例

按照本次回购金额上限人民币10,000万元,回购价格上限69元/股进行测算,回购数量约为1,449,275股,回购股份比例约占公司总股本的0.40%;按照本次回购金额下限人民币8,000万元,回购价格上限69元/股进行测算,回购数量约为1,159,420股,回购比例约占公司总股本的0.32%。具体回购股份数量以回购期限届满时实际回购的股份数量为准。

如公司在回购期限内实施了资本公积金转增股本、现金分红、派送股票红利、配股、股票拆细或缩股等除权除息事项,公司将按照中国证监会及上海证券交易所的相关规定,对回购股份的数量进行相应调整。

(八)预计回购完成后公司股权结构的变动情况

按照本次回购金额下限人民币8,000万元(含)和上限人民币10,000万元(含),回购价格上限人民币69元/股进行测算,假设本次回购股份全部注销并减少注册资本,本次回购对公司股权结构的影响具体如下:

注:上述变动情况暂未考虑其他因素影响,具体回购股份的数量以回购期满时实际回购的股份数量为准。

(九)管理层关于本次回购股份对于公司经营、盈利能力、财务、研发、债务履行能力、未来发展影响和维持上市地位等情况的分析

截至 2023年9月30日(未经审计),公司总资产54.43亿元,流动资产 44.23亿元,归属于上市公司股东的净资产33.30亿元,资产负债率33.99%。按照本次回购资金上限10,000万元测算,分别占上述财务数据的1.84%、2.26%、3.00%。

根据公司经营和未来发展规划,公司管理层认为公司拥有足够的资金支付本次股份回购款,本次回购股份不会对公司的经营、盈利能力、财务、研发、债务履行能力和未来发展产生重大影响。本次回购实施完成后,不会导致公司控制权发生变化,也不会改变公司的上市公司地位,股权分布仍符合上市条件。

(十)独立董事关于本次回购股份方案合规性、必要性、合理性、可行性等相关事项的意见

1、公司本次回购股份符合《中华人民共和国公司法》《中华人民共和国证券法》《上市公司股份回购规则》《上海证券交易所上市公司自律监管指引第 7 号一一回购股份》等法律法规及规范性文件的规定,董事会表决程序符合法律、法规和《公司章程》的相关规定。

2、公司行业地位稳定,业务发展良好,公司本次回购股份的实施,是基于对公司未来发展前景的信心和对公司价值的认可,有利于维护广大投资者尤其是中小投资者利益,推动公司股票价格向公司长期内在价值的合理回归,促进公司稳定可持续发展,增强投资者信心,打造良好的公司市场形象。公司本次回购股份具有必要性。

3、本次回购前,公司经营、财务、研发均处于正常状态,公司资金状况充裕,拟用于回购资金总额区间为人民币8,000万元(含)至10,000万元(含),资金来源为自有资金,公司拥有足够的资金支付本次股份回购款,因此本次回购不会对公司产生重大不利影响,不会导致公司实际控制权发生变化,也不会改变公司的上市公司地位,股权分布情况仍然符合上市的条件,公司本次回购股份预案合理、可行。

4、本次回购以集中竞价交易方式实施,不存在损害公司及全体股东,特别是中小股东的利益情形。

综上所述,我们认为公司本次回购股份符合有关法律、法规和《公司章程》的规定,有利于提升公司价值,不会对公司持续经营能力造成影响,不会影响公司未来财务状况、经营成果,符合公司和全体股东的利益。

因此,我们同意《关于以集中竞价交易方式回购股份方案的议案》并将该议案提交公司股东大会审议。

(十一)上市公司董监高、控股股东、实际控制人、回购提议人在董事会做出回购股份决议前6个月内是否买卖本公司股份,是否与本次回购方案存在利益冲突、是否存在内幕交易及市场操纵,及其在回购期间是否存在增减持计划的情况说明

公司董事、监事、高级管理人员,控股股东、实际控制人、回购提议人在董事会作出回购股份决议前6个月内不存在买卖公司股份的行为,亦不存在单独或者与他人联合进行内幕交易及操纵市场行为。

除陈伟先生、唐德可先生、张亚然女士、朱晓勇先生外公司其他董事、监事、高级管理人员,控股股东、实际控制人、回购提议人在回购期间均暂不存在增减持计划。未来相关方及公司将严格按照有关法律、法规及规范性文件的相关规定履行信息披露义务。

(十二)上市公司向董监高、控股股东、实际控制人、回购提议人、持股5%以上的股东问询未来3个月、未来6个月等是否存在减持计划的具体情况

公司控股股东中科九度、持股5%以上股东中科曙光以及公司副董事长、总经理、回购提议人邵宗有先生已承诺自2023年7月8日起12个月内不减持公司股票,因此在未来3个月、未来6个月内不存在减持计划,具体详见公司于2023年6月29日在上海证券交易所网站披露的《中科星图股份有限公司关于控股股东、持股5%以上股东及公司部分董事、高管承诺不减持公司股票的公告》(公告编号:2023-025)。

经向公司董事、监事、高级管理人员、控股股东、实际控制人、回购提议人、持股5%以上的股东发出问询函确认,公司持股5%以上股东星图群英在未来3个月、未来6个月存在减持公司股份的计划;高级管理人员陈伟先生、唐德可先生、张亚然女士、监事朱晓勇先生在未来3个月、未来6个月存在通过星图荟萃间接减持公司股票的计划;其他董事、监事、高级管理人员在未来3个月、未来6个月暂不存在直接或间接减持公司股票的计划。未来相关方及公司将严格按照有关法律、法规及规范性文件的相关规定履行信息披露义务。

(十三)提议人提议回购的相关情况

本次回购股份方案的提议人为公司副董事长、总经理邵宗有先生。2023年10月23日,在公司业务规模快速扩大,资本市场关注度日渐提高的前提下,为回报股东和回馈资本市场关切,对在集团化业务发展过程中产生的投资收益,邵宗有先生提议以集中竞价方式回购股份,用于减少公司注册资本,以此形成长期回购机制。

邵宗有先生在提议前6个月内不存在买卖本公司股份的情况,在回购期限内不存在增减持计划,不存在单独或者与他人联合进行内幕交易及操纵市场行为。邵宗有先生已在董事会上对公司回购股份议案投赞成票。

(十四)回购股份后依法注销或者转让的相关安排

本次回购股份拟全部用于减少公司注册资本。公司将在回购完成后,对本次已回购的股份按照相关规定办理注销事宜,注册资本相应减少。

(十五)公司防范侵害债权人利益的相关安排

本次回购股份不会影响公司的正常持续经营,不会导致公司发生资不抵债的情况。若发生回购股份注销情形,公司将依照《中华人民共和国公司法》等相关规定,履行通知债权人等法定程序,充分保障债权人的合法权益。

(十六)股东大会对董事会办理本次回购股份事宜的具体授权

为保证本次股份回购顺利实施,根据《中华人民共和国公司法》和《公司章程》的相关规定,公司董事会提请股东大会授权公司董事会及董事会授权人员(总经理及总经理指定的相关工作人员)具体办理本次回购股份相关事宜,授权内容及范围包括但不限于:

1、在法律、法规允许的范围内,根据公司和市场情况,制定本次回购股份的具体方案;

2、如监管部门对于回购股份的相关条件发生变化或市场条件发生变化,除涉及有关法律、法规及《公司章程》规定须由股东大会重新审议的事项外,对本次回购股份的具体方案等相关事项进行相应调整,并根据公司实际情况及股价表现等综合决定继续实施或者终止实施本回购方案;

3、办理相关报批事宜,包括但不限于授权、签署、执行、修改、完成与本次回购股份相关的所有必要的文件、合同、协议、合约;

4、设立回购专用证券账户及办理其他相关业务;

5、根据实际情况择机回购股份,包括回购的时间、价格和数量等;

6、在回购股份实施完成后,对回购股份进行注销,办理公司章程修改及注册资本变更事宜及相应的工商变更登记手续;

7、办理其他以上虽未列明但为本次股份回购所必须的事项。

本授权自公司股东大会审议通过之日起至上述授权事项办理完毕之日止。上述授权事项,除法律法规、本次回购方案或《公司章程》有明确规定需由董事会决议通过的事项之外,其他事项可由董事会授权人士(总经理及总经理指定的相关工作人员)直接行使。

三、回购方案风险提示

1、本次回购股份方案尚需提交公司股东大会审议通过,存在未能获得公司股东大会审议通过的风险。

2、本事项存在公司无法满足其他债权人清偿债务或提供担保进而导致回购方案难以实施的风险。

3、本次回购可能存在回购期限内公司股票价格持续超出回购价格上限,进而导致本次回购方案无法顺利实施或者只能部分实施的风险。

4、若公司在实施回购股份期间,受外部环境变化、临时经营需要等因素影响,可能存在回购方案无法实施或者部分实施的风险。

5、若发生对公司股票交易价格产生重大影响的重大事项,或公司生产经营、财务状况、外部客观情况发生重大变化,或其他导致公司董事会决定终止本次回购方案的事项发生,则存在回购方案无法顺利实施或者根据相关规定变更或终止本次回购方案的风险。

6、如遇监管部门颁布新的回购相关规范性文件,导致本次回购实施过程中需要根据监管新规调整回购相应条款的风险。

公司将在回购期限内根据市场情况择机作出回购决策并予以实施,并根据回购股份事项进展情况及时履行信息披露义务。敬请广大投资者理性投资,注意投资风险。

特此公告。

中科星图股份有限公司董事会

2023年10月27日

证券代码:688568 证券简称:中科星图 公告编号:2023-043

中科星图股份有限公司

关于召开2023年

第二次临时股东大会的通知

本公司董事会及全体董事保证公告内容不存在任何虚假记载、误导性陈述或者重大遗漏,并对其内容的真实性、准确性和完整性依法承担法律责任。

重要内容提示:

● 股东大会召开日期:2023年11月13日

● 本次股东大会采用的网络投票系统:上海证券交易所股东大会网络投票系统

一、 召开会议的基本情况

(一) 股东大会类型和届次

2023年第二次临时股东大会

(二) 股东大会召集人:董事会

(三) 投票方式:本次股东大会所采用的表决方式是现场投票和网络投票相结合的方式

(四) 现场会议召开的日期、时间和地点

召开日期时间:2023年11月13日 14 点 00分

召开地点:北京市顺义区临空经济核心区机场东路2号国家地理信息科技产业园1A-4 星图大厦 9层多功能会议室

(五) 网络投票的系统、起止日期和投票时间。

网络投票系统:上海证券交易所股东大会网络投票系统

网络投票起止时间:自2023年11月13日

至2023年11月13日

采用上海证券交易所网络投票系统,通过交易系统投票平台的投票时间为股东大会召开当日的交易时间段,即9:15-9:25,9:30-11:30,13:00-15:00;通过互联网投票平台的投票时间为股东大会召开当日的9:15-15:00。

(六) 融资融券、转融通、约定购回业务账户和沪股通投资者的投票程序

涉及融资融券、转融通业务、约定购回业务相关账户以及沪股通投资者的投票,应按照《上海证券交易所科创板上市公司自律监管指引第1号 一 规范运作》等有关规定执行。

(七) 涉及公开征集股东投票权

不涉及

二、 会议审议事项

本次股东大会审议议案及投票股东类型

1、 说明各议案已披露的时间和披露媒体

上述议案已经公司于2023年10月13日召开的第二届董事会第二十六次会议和2023年10月26日召开的第二届董事会第二十七次会议审议通过。具体内容详见公司于2023年10月17日和10月27日在上海证券交易所网站(www.sse.com.cn)以及《中国证券报》、《上海证券报》、《证券时报》、《证券日报》披露的相关公告。

2、 特别决议议案:议案2

3、 对中小投资者单独计票的议案:议案1、议案2

4、 涉及关联股东回避表决的议案:不涉及

应回避表决的关联股东名称:不涉及

5、 涉及优先股股东参与表决的议案:不涉及

三、 股东大会投票注意事项

(一) 本公司股东通过上海证券交易所股东大会网络投票系统行使表决权的,既可以登陆交易系统投票平台(通过指定交易的证券公司交易终端)进行投票,也可以登陆互联网投票平台(网址:vote.sseinfo.com)进行投票。首次登陆互联网投票平台进行投票的,投资者需要完成股东身份认证。具体操作请见互联网投票平台网站说明。

(二) 同一表决权通过现场、本所网络投票平台或其他方式重复进行表决的,以第一次投票结果为准。

(三) 股东对所有议案均表决完毕才能提交。

四、 会议出席对象

(一) 股权登记日下午收市时在中国登记结算有限公司上海分公司登记在册的公司股东有权出席股东大会(具体情况详见下表),并可以以书面形式委托代理人出席会议和参加表决。该代理人不必是公司股东。

(二) 公司董事、监事和高级管理人员。

(三) 公司聘请的律师。

(四) 其他人员

五、 会议登记方法

(一)登记时间

2023年11月10日上午09:00-11:30、下午13:30-17:00

(二)登记地点

北京市顺义区临空经济核心区机场东路2号国家地理信息科技产业园1A-4 星图大厦8层证券法务部

(三)登记方式

股东可以亲自出席股东大会,亦可书面委托代理人出席会议和参加表决,该股东代理人不必为公司股东;授权委托书参见附件一。

拟出席本次会议的股东或股东代理人应通过现场办理登记或通过信函、传真、邮件方式办理登记,非现场登记的,参会手续文件须在2023年11月10日下午17:00点前送达,以抵达公司的时间为准,信函上请注明“股东大会”字样;公司不接受电话方式办理登记。参会手续文件要求如下:

(1)自然人股东:本人身份证或其他能够表明其身份的有效证件或证明原件、股票账户卡原件(如有)等持股证明;

(2)自然人股东授权代理人:代理人有效身份证件原件、自然人股东身份证件复印件、授权委托书原件及委托人股票账户卡原件(如有)等持股证明;

(3)法人股东法定代表人/执行事务合伙人:本人有效身份证件原件、法人股东营业执照(复印件并加盖公章)、股票账户卡原件(如有)等持股证明;

(4)法人股东授权代理人:代理人有效身份证件原件、法人股东营业执照(复印件并加盖公章)、授权委托书(法定代表人/执行事务合伙人签字并加盖公章)、股票账户卡原件(如有)等持股证明;

(5)融资融券投资者出席现场会议的,应持融资融券相关证券公司出具的证券账户证明及其向投资者出具的授权委托书原件;投资者为个人的,还应持本人身份证或其他能够表明其身份的有效证件原件;投资者为机构的,还应持本单位营业执照(复印件并加盖公章)、参会人员有效身份证件原件、授权委托书原件。

注:所有原件均需一份复印件,如通过传真方式办理登记,请提供必要的联系人及联系方式,并与公司电话确认后方视为登记成功。

六、 其他事项

1、本次现场会议出席者食宿及交通费自理。

2、参会股东请携带相关证件提前半小时到达会议现场办理签到。

3、会议联系方式:

会议联系人:张迪扉

电话:010-50986800

传真:010-50986901

邮箱:investor@geovis.com.cn

4、联系地址:北京市顺义区临空经济核心区机场东路2号国家地理信息科技产业园1A-4 星图大厦8层证券法务部

特此公告。

中科星图股份有限公司董事会

2023年10月27日

附件1:授权委托书

● 报备文件

提议召开本次股东大会的董事会决议

附件1:授权委托书

授权委托书

中科星图股份有限公司:

兹委托 先生(女士)代表本单位(或本人)出席2023年11月13日召开的贵公司2023年第二次临时股东大会,并代为行使表决权。

委托人持普通股数:

委托人持优先股数:

委托人股东帐户号:

委托人签名(盖章): 受托人签名:

委托人身份证号: 受托人身份证号:

委托日期: 年 月 日

备注:

委托人应在委托书中“同意”、“反对”或“弃权”意向中选择一个并打“√”,对于委托人在本授权委托书中未作具体指示的,受托人有权按自己的意愿进行表决。

证券代码:688568 证券简称:中科星图 公告编号:2023-039

中科星图股份有限公司

第二届董事会第二十七次会议决议公告

本公司董事会及全体董事保证本公告内容不存在任何虚假记载、误导性陈述或者重大遗漏,并对其内容的真实性、准确性和完整性依法承担法律责任。

一、董事会会议召开情况

中科星图股份有限公司(以下简称“公司”)第二届董事会第二十七次会议于2023年10月26日在星图大厦九层多功能会议室以现场结合通讯的方式召开。本次会议应出席董事11人,实际出席董事11人,符合相关法律、法规和《中科星图股份有限公司章程》(以下简称《公司章程》)的规定。

会议由董事长许光銮主持,监事、高管列席。会议召开符合有关法律、法规、规章和《公司章程》的规定。经各位董事认真审议,会议形成了如下决议:

二、董事会会议审议情况

(一)审议通过《关于公司〈2023年第三季度报告〉的议案》

董事会认为:公司编制《2023年第三季度报告》的程序符合法律、行政法规和中国证监会的规定,报告内容公允地反映了公司的经营状况和经营成果,报告所披露的信息真实、准确、完整,不存在虚假记载、误导性陈述或重大遗漏。

具体内容详见公司同日于上海证券交易所(http://www.sse.com.cn/)披露的《2023年第三季度报告》。

表决结果:11票同意,0票反对,0票弃权。

(二)审议通过《关于以集中竞价交易方式回购股份方案的议案》

公司上市以来,业务规模快速扩大,资本市场关注度日渐提高,为回报股东和回馈资本市场关切,对在集团化业务发展过程中产生的投资收益,公司将用于回购股票并注销,以此形成长期回购机制。公司拟通过集中竞价交易方式进行股份回购。本次回购的股份将注销并减少公司注册资本。

具体内容详见公司同日于上海证券交易所(http://www.sse.com.cn/)披露的《中科星图股份有限公司关于收到副董事长、总经理提议回购公司股份的提示性公告》(公告编号:2023-041)和《中科星图股份有限公司关于以集中竞价交易方式回购股份方案的公告》(公告编号:2023-042)。

公司独立董事对上述议案发表了同意的独立意见。

表决结果:11票同意,0票反对,0票弃权。

本议案尚需提交公司股东大会审议。

(三)审议通过《关于提请召开2023年第二次临时股东大会的议案》

公司将于2023年11月13日14:00召开公司2023年第二次临时股东大会,审议需要提交股东大会审议的相关议案,会议采取现场投票表决与网络投票相结合的方式。

具体内容详见公司同日于上海证券交易所网站(http://www.sse.com.cn/)披露的《中科星图股份有限公司关于召开2023年第二次临时股东大会的通知》(公告编号:2023-043)。

表决结果:11票同意,0票反对,0票弃权。

特此公告。

中科星图股份有限公司董事会

2023年10月27日

证券代码:688568 证券简称:中科星图 公告编号:2023-040

中科星图股份有限公司

第二届监事会第十五次会议决议公告

本公司监事会及全体监事保证本公告内容不存在任何虚假记载、误导性陈述或者重大遗漏,并对其内容的真实性、准确性和完整性依法承担法律责任。

中科星图股份有限公司(以下简称“公司”)第二届监事会第十五次会议于2023年10月26日在星图大厦九层多功能会议室以现场结合通讯的方式召开。本次会议应出席监事3人,实际出席监事3人。

会议由监事会主席、职工监事朱晓勇主持。会议召开符合有关法律、法规、规章和《公司章程》的规定。出席会议的监事对各项议案进行了认真审议并做出了如下决议:

一、审议通过《关于公司〈2023年第三季度报告〉的议案》

经审议,监事会认为:公司2023年第三季度报告的编制和审议程序符合相关法律、法规、部门规章、规范性文件及公司管理制度的有关规定;报告内容与格式符合有关规定,公允地反映了公司2023年第三季度财务状况和经营成果等事项;报告披露的信息真实、准确、完整,不存在任何虚假记载、误导性陈述或重大遗漏。

表决结果:3票同意,0票反对,0票弃权。

二、审议通过《关于以集中竞价交易方式回购股份方案的议案》

公司上市以来,业务规模快速扩大,资本市场关注度日渐提高,为回报股东和回馈资本市场关切,对在集团化业务发展过程中产生的投资收益,公司将用于回购股票并注销,以此形成长期回购机制。公司拟通过集中竞价交易方式进行股份回购。本次回购的股份将注销并减少公司注册资本。

具体内容详见公司同日于上海证券交易所(http://www.sse.com.cn/)披露的《中科星图股份有限公司关于收到副董事长、总经理提议回购公司股份的提示性公告》(公告编号:2023-041)和《中科星图股份有限公司关于以集中竞价交易方式回购股份方案的公告》(公告编号:2023-042)。

表决结果:3票同意,0票反对,0票弃权。

本议案尚需提交公司股东大会审议。

特此公告。

中科星图股份有限公司监事会

2023年10月27日

证券代码:688568 证券简称:中科星图 公告编号:2023-041

中科星图股份有限公司

关于收到副董事长、总经理提议

回购公司股份的提示性公告

本公司董事会及全体董事保证本公告内容不存在任何虚假记载、误导性陈述或者重大遗漏,并对其内容的真实性、准确性和完整性依法承担法律责任。

中科星图股份有限公司(以下简称“公司”)董事会于2023年10月23日收到公司副董事长、总经理邵宗有先生的《关于提议中科星图股份有限公司回购公司股份的函》,函件主要内容如下:

一、提议回购股份的原因和目的

公司上市以来,业务规模快速扩大,资本市场关注度日渐提高,为回报股东和回馈资本市场关切,对在集团化业务发展过程中产生的投资收益,邵宗有先生提议公司通过集中竞价交易方式进行股份回购,并形成长期回购机制。

二、提议内容

1、回购股份的种类及方式:通过上海证券交易所股票交易系统以集中竞价交易方式回购公司已发行的人民币普通股(A股)股票。

2、回购股份的用途:本次回购的股份将注销并减少公司注册资本。

3、回购股份的期限:自公司股东大会审议通过回购方案之日起12个月内。

4、回购资金总额:本次回购的资金总额不低于人民币8,000万元(含)且不超过人民币10,000万元(含)。

5、回购股份的价格:回购价格不超过董事会通过回购决议前30个交易日公司股票交易均价的150%。

6、回购资金来源:公司自有资金。

三、提议人在提议前6个月内买卖公司股份的情况

邵宗有先生在本次提议前6个月内不存在买卖公司股份的情况。

四、提议人在回购期间的增减持计划

邵宗有先生在回购期间暂无增减持计划。若未来拟实施增减持计划,公司将按相关法律、法规、规范性文件及承诺事项的要求及时配合公司履行信息披露义务。

五、提议人承诺

提议人邵宗有先生承诺:将根据《上市公司股份回购规则》和《公司章程》的相关规定,积极推动公司董事会尽快召开会议审议回购股份事项,并对本次审议回购股份事项投赞成票。

六、风险提示

公司将尽快就上述内容认真研究,制定合理可行的回购股份方案,按照相关规定履行审批程序,并及时履行信息披露义务。上述回购事项需按规定履行相关审批程序后方可实施,尚存在不确定性,敬请广大投资者注意投资风险。

特此公告。

中科星图股份有限公司董事会

2023年10月27日

本版导读

  • 中科星图股份有限公司2023第三季度报告 2023-10-27

相关内容

热门资讯

【马上有钱·现金流】A股现金流... 作为衡量企业真实 “可支配财力” 的核心指标,自由现金流持续成为市场焦点。 A 股整体获现能力明显增...
原创 王... 慕尼黑会场上的一次表态,引发了一阵连锁反应。王毅在会议中直言不讳,提出了关于欧洲安全与战略自主的核心...
房地产已经悄悄开始救市了 刚过完元旦很多人还在观望楼市,等着媒体高喊“反弹来了”。 但你可能没注意到,房地产已经开始了“悄悄自...
原创 特... 一方面推高美元贬值,另一方面掌控全球大宗商品,面对美国不断加剧的债务危机,特朗普似乎灵感乍现,想要通...
原创 为... 美国再次停摆了! 2月13日,特朗普为了即将到来的中期选举,又搞出了一个大动作。本以为他只是为了...
原创 莫... 春公子莫迪,这个人,全球可谓无人不知无人不晓。他总是以一副西装革履、眼神坚定的形象亮相,每次在国际场...
揭秘巴菲特退休前连续六个季度增... 据纳斯达克网站报道,2026年2月17日,机构提交Form 13F披露持仓,揭示沃伦·巴菲特在辞任伯...
原创 美... 近年来,中美关系愈发复杂。美国总是感到,中国的快速崛起对其全球领导地位构成了威胁。从2017年起,美...
华纳在派拉蒙提高报价后重启谈判 来源:滚动播报 华纳兄弟探索公司周二宣布,将重启与派拉蒙的交易谈判,此举为其与首选收购方奈飞展开潜在...
土耳其银行指数涨3.1%,创历... 土耳其银行指数涨3.1%,创历史新高。 来源:金融界AI电报
原创 特... 在阅读本文之前,请先点击关注,这样不仅能方便您参与讨论和分享,还能让您体验到不一样的参与感,感谢您的...
原创 欧... 俄罗斯是否真的打算全面进攻欧盟和北约国家?这个问题,早在去年普京就已经给出了明确的答案:不会!甚至俄...
原创 中... 慕尼黑安全会议刚刚落下帷幕,两天后,中美两国的高层互动迅速进入实质阶段,为特朗普计划中的四月访华做最...
中国AI有多强?有事它是真上啊... 2026年春节,中国AI迎来历史性拐点。 2月16日,阿里巴巴开源全新一代大模型千问Qwen3.5-...
原创 “... 6826亿美债“人间蒸发”!中国这记“回马枪”,刺穿了美元的最后遮羞布 背景:老债主的沉默撤退 华...
深夜,美股全线下跌!金银重挫!... 2月17日晚间,美国股市、比特币、黄金白银全线下跌。 美股三大指数走低,纳斯达克综合指数跌超1%、标...
原创 全... 2024年底,美国总统特朗普突然抛出一个大胆的提案——让加拿大成为美国的第51个州。这一切源于他和加...
新春走基层 | 走亲访友话投资... 新春佳节,皖东滁州,空气中弥漫着团圆饭的香气和辞旧迎新的喜悦。与往年热议家长里短、收入开销略有不同,...
原创 不... 2025年底,特朗普开始频繁强调格陵兰在美国安全战略中的重要性,而进入2026年1月,他的言辞变得更...