北方光电股份有限公司2023第三季度报告
证券时报
2023-10-27 07:29:01
0

原标题:北方光电股份有限公司2023第三季度报告

本公司董事会及全体董事保证本公告内容不存在任何虚假记载、误导性陈述或者重大遗漏,并对其内容的真实性、准确性和完整性承担法律责任。

重要内容提示:

公司董事会、监事会及董事、监事、高级管理人员保证季度报告内容的真实、准确、完整,不存在虚假记载、误导性陈述或重大遗漏,并承担个别和连带的法律责任。

公司负责人董事长崔东旭、总经理陈良、主管会计工作负责人袁勇及会计机构负责人(会计主管人员)李浩保证季度报告中财务信息的真实、准确、完整。

第三季度财务报表是否经审计

□是√否

一、 主要财务数据

1. 主要会计数据和财务指标

单位:元 币种:人民币

注:“本报告期”指本季度初至本季度末3个月期间,下同。

2. 非经常性损益项目和金额

单位:元 币种:人民币

将《公开发行证券的公司信息披露解释性公告第1号一一非经常性损益》中列举的非经常性损益项目界定为经常性损益项目的情况说明

□适用 √不适用

3. 主要会计数据、财务指标发生变动的情况、原因

√适用 □不适用

二、 股东信息

普通股股东总数和表决权恢复的优先股股东数量及前十名股东持股情况表

单位:股

三、 其他提醒事项

需提醒投资者关注的关于公司报告期经营情况的其他重要信息

□适用 √不适用

四、 季度财务报表

(一)审计意见类型

□适用√不适用

(二)财务报表

合并资产负债表

2023年9月30日

编制单位:北方光电股份有限公司

单位:元 币种:人民币 审计类型:未经审计

公司负责人:崔东旭 主管会计工作负责人:袁勇 会计机构负责人:李浩

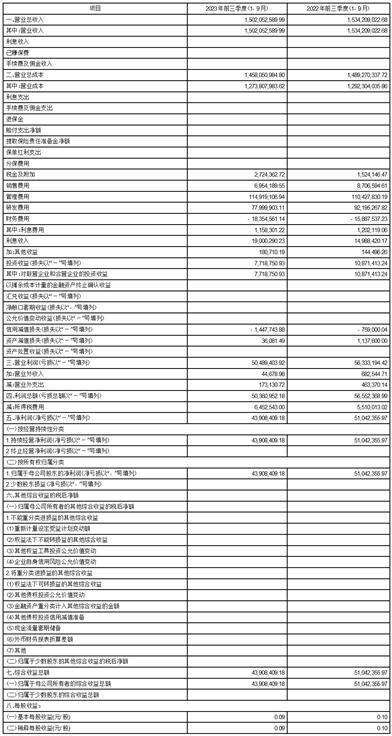
合并利润表

2023年1一9月

编制单位:北方光电股份有限公司

单位:元 币种:人民币 审计类型:未经审计

本期发生同一控制下企业合并的,被合并方在合并前实现的净利润为:0元, 上期被合并方实现的净利润为: 0 元。

公司负责人:崔东旭 主管会计工作负责人:袁勇 会计机构负责人:李浩

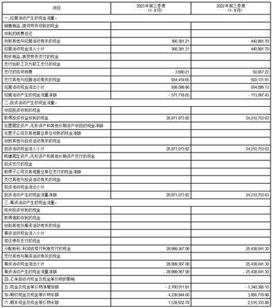
合并现金流量表

2023年1一9月

编制单位:北方光电股份有限公司

单位:元 币种:人民币 审计类型:未经审计

公司负责人:崔东旭 主管会计工作负责人:袁勇 会计机构负责人:李浩

母公司资产负债表

2023年9月30日

编制单位:北方光电股份有限公司

单位:元 币种:人民币 审计类型:未经审计

公司负责人:崔东旭 主管会计工作负责人:袁勇 会计机构负责人:李浩

母公司利润表

2023年1一9月

编制单位:北方光电股份有限公司

单位:元 币种:人民币 审计类型:未经审计

公司负责人:崔东旭 主管会计工作负责人:袁勇 会计机构负责人:李浩

母公司现金流量表

2023年1一9月

编制单位:北方光电股份有限公司

单位:元 币种:人民币 审计类型:未经审计

公司负责人:崔东旭 主管会计工作负责人:袁勇 会计机构负责人:李浩

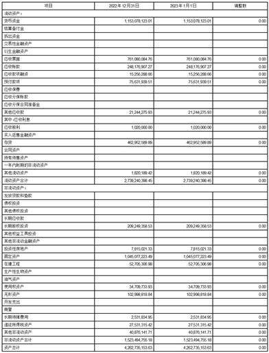
2023年起首次执行新会计准则或准则解释等涉及调整首次执行当年年初的财务报表

√适用 □不适用

合并资产负债表

单位:元 币种:人民币

母公司资产负债表

单位:元 币种:人民币

特此公告。

董事会

2023年10月26日

证券代码:600184 证券简称:光电股份 公告编号:2023-28

北方光电股份有限公司

本公司董事会及全体董事保证本公告内容不存在任何虚假记载、误导性陈述或者重大遗漏,并对其内容的真实性、准确性和完整性承担法律责任。

重要内容提示:

● 本次会议是否有否决议案:无

一、 会议召开和出席情况

(一) 股东大会召开的时间:2023年10月26日

(二) 股东大会召开的地点:西安市长乐中路35号北方光电股份有限公司会议室

(三) 出席会议的普通股股东和恢复表决权的优先股股东及其持有股份情况:

(四) 表决方式是否符合《公司法》及《公司章程》的规定,大会主持情况等。

会议由公司董事会召集,董事长崔东旭先生主持,采取现场投票及网络投票方式召开并表决。会议的召集和召开符合《公司法》、《上市公司股东大会规则》等有关法律法规和公司《章程》的规定。

(五) 公司董事、监事和董事会秘书的出席情况

1、 公司在任董事8人,出席8人(通讯方式参会视为出席);

2、 公司在任监事3人,出席3人(通讯方式参会视为出席);

3、 董事会秘书出席会议;部分高管出席会议。

二、 议案审议情况

(一) 非累积投票议案

1、 议案名称:关于选举孙峰先生为公司第七届董事会非独立董事的议案

审议结果:通过

表决情况:

(二) 涉及重大事项,5%以下股东的表决情况

(三) 关于议案表决的有关情况说明

无。

三、 律师见证情况

1、 本次股东大会见证的律师事务所:陕西岚光律师事务所

律师:汪艳萍、王天奇

2、 律师见证结论意见:

光电股份本次股东大会的召集及召开程序、参会人员的资格及表决程序均符合《公司法》等法律、法规及光电股份《章程》的规定,本次股东大会的决议合法有效。

特此公告。

北方光电股份有限公司

董事会

2023年10月27日

本版导读

  • 北方光电股份有限公司2023第三季度报告 2023-10-27

相关内容

热门资讯

【马上有钱·现金流】A股现金流... 作为衡量企业真实 “可支配财力” 的核心指标,自由现金流持续成为市场焦点。 A 股整体获现能力明显增...
原创 王... 慕尼黑会场上的一次表态,引发了一阵连锁反应。王毅在会议中直言不讳,提出了关于欧洲安全与战略自主的核心...
房地产已经悄悄开始救市了 刚过完元旦很多人还在观望楼市,等着媒体高喊“反弹来了”。 但你可能没注意到,房地产已经开始了“悄悄自...
原创 特... 一方面推高美元贬值,另一方面掌控全球大宗商品,面对美国不断加剧的债务危机,特朗普似乎灵感乍现,想要通...
原创 为... 美国再次停摆了! 2月13日,特朗普为了即将到来的中期选举,又搞出了一个大动作。本以为他只是为了...
原创 莫... 春公子莫迪,这个人,全球可谓无人不知无人不晓。他总是以一副西装革履、眼神坚定的形象亮相,每次在国际场...
揭秘巴菲特退休前连续六个季度增... 据纳斯达克网站报道,2026年2月17日,机构提交Form 13F披露持仓,揭示沃伦·巴菲特在辞任伯...
原创 美... 近年来,中美关系愈发复杂。美国总是感到,中国的快速崛起对其全球领导地位构成了威胁。从2017年起,美...
华纳在派拉蒙提高报价后重启谈判 来源:滚动播报 华纳兄弟探索公司周二宣布,将重启与派拉蒙的交易谈判,此举为其与首选收购方奈飞展开潜在...
土耳其银行指数涨3.1%,创历... 土耳其银行指数涨3.1%,创历史新高。 来源:金融界AI电报
原创 特... 在阅读本文之前,请先点击关注,这样不仅能方便您参与讨论和分享,还能让您体验到不一样的参与感,感谢您的...
原创 欧... 俄罗斯是否真的打算全面进攻欧盟和北约国家?这个问题,早在去年普京就已经给出了明确的答案:不会!甚至俄...
原创 中... 慕尼黑安全会议刚刚落下帷幕,两天后,中美两国的高层互动迅速进入实质阶段,为特朗普计划中的四月访华做最...
中国AI有多强?有事它是真上啊... 2026年春节,中国AI迎来历史性拐点。 2月16日,阿里巴巴开源全新一代大模型千问Qwen3.5-...
原创 “... 6826亿美债“人间蒸发”!中国这记“回马枪”,刺穿了美元的最后遮羞布 背景:老债主的沉默撤退 华...
深夜,美股全线下跌!金银重挫!... 2月17日晚间,美国股市、比特币、黄金白银全线下跌。 美股三大指数走低,纳斯达克综合指数跌超1%、标...
原创 全... 2024年底,美国总统特朗普突然抛出一个大胆的提案——让加拿大成为美国的第51个州。这一切源于他和加...
新春走基层 | 走亲访友话投资... 新春佳节,皖东滁州,空气中弥漫着团圆饭的香气和辞旧迎新的喜悦。与往年热议家长里短、收入开销略有不同,...
原创 不... 2025年底,特朗普开始频繁强调格陵兰在美国安全战略中的重要性,而进入2026年1月,他的言辞变得更...