孚日集团股份有限公司2023第三季度报告
证券时报
2023-10-24 07:33:02
0

原标题:孚日集团股份有限公司2023第三季度报告

本公司及董事会全体成员保证信息披露的内容真实、准确、完整,没有虚假记载、误导性陈述或重大遗漏。

重要内容提示:

1.董事会、监事会及董事、监事、高级管理人员保证季度报告的真实、准确、完整,不存在虚假记载、误导性陈述或重大遗漏,并承担个别和连带的法律责任。

2.公司负责人、主管会计工作负责人及会计机构负责人(会计主管人员)声明:保证季度报告中财务信息的真实、准确、完整。

3.第三季度报告是否经过审计

□是 √否

一、主要财务数据

(一) 主要会计数据和财务指标

公司是否需追溯调整或重述以前年度会计数据

□是 √否

(二) 非经常性损益项目和金额

√适用 □不适用

单位:元

其他符合非经常性损益定义的损益项目的具体情况:不适用

公司不存在其他符合非经常性损益定义的损益项目的具体情况。

将《公开发行证券的公司信息披露解释性公告第1号一一非经常性损益》中列举的非经常性损益项目界定为经常性损益项目的情况说明:不适用

公司不存在将《公开发行证券的公司信息披露解释性公告第1号一一非经常性损益》中列举的非经常性损益项目界定为经常性损益的项目的情形。

(三) 主要会计数据和财务指标发生变动的情况及原因

√适用 □不适用

1、应收账款同比增加35.72%,主要是近期赊销货物增加所致;

2、预付账款同比增加970.51%,主要是补库存预付原材料款增加所致;

3、在建工程同比增加89.78%,主要是工程项目投入增加所致;

4、应交税费同比增加158.02%,主要是利润增加导致税金增加所致;

5、递延收益同比增加251.44%,主要是补助项目增加所致;

6、财务费用同比增加1011.04%,主要是汇率变动影响汇兑损失增加及利息收入减少所致;

7、其他收益同比增减少93.11%%,主要是收到的政府补助减少所致;

8、经营活动产生的现金流量净额同比减少43.91%,主要是收到的政府补助和收到货款减少;

9、筹资活动产生的现金流量净额同比增加55.80%,主要是借款收到的现金增加所致。

二、股东信息

(一) 普通股股东总数和表决权恢复的优先股股东数量及前十名股东持股情况表

单位:股

(二) 公司优先股股东总数及前10名优先股股东持股情况表

□适用 √不适用

三、其他重要事项

□适用 √不适用

四、季度财务报表

(一) 财务报表

1、合并资产负债表

编制单位:孚日集团股份有限公司

2023年09月30日

单位:元

法定代表人:张国华 主管会计工作负责人:陈维义 会计机构负责人:朱传昌

2、合并年初到报告期末利润表

单位:元

法定代表人:张国华 主管会计工作负责人:陈维义 会计机构负责人:朱传昌

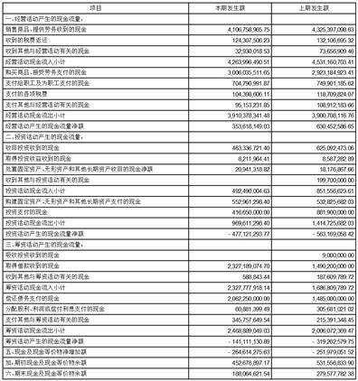
3、合并年初到报告期末现金流量表

单位:元

(二) 2023年起首次执行新会计准则调整首次执行当年年初财务报表相关项目情况

□适用 √不适用

(三) 审计报告

第三季度报告是否经过审计

□是 √否

公司第三季度报告未经审计。

孚日集团股份有限公司董事会

2023年10月23日

证券代码:002083 证券简称:孚日股份 公告编号:临2023-052

债券代码:128087 债券简称:孚日转债

孚日集团股份有限公司

第八届董事会第五次会议决议公告

本公司及董监高全体成员保证信息披露的内容真实、准确、完整,没有虚假记载、误导性陈述或重大遗漏。

孚日集团股份有限公司(以下简称“公司”或“本公司”)第八届董事会第五次会议于2023年10月23日在公司会议室以现场表决和通讯表决相结合的方式召开,会议通知已于2023年10月13日以书面、传真和电子邮件方式发出。公司董事共9人,实际参加表决董事9人。公司监事、高管人员列席了会议,会议由董事长张国华先生主持。会议符合《公司法》及《公司章程》的有关规定。经与会董事认真审议,会议通过了以下决议:

一、董事会以9票赞同、0票反对、0票弃权的表决结果通过了《2023年第三季度报告》。

本报告全文详见巨潮资讯网站(www.cninfo.com.cn)。

二、董事会以9票赞同、0票反对、0票弃权的表决结果通过了《关于开展外汇远期结售汇业务的议案》。

为有效规避和防范汇率波动风险,同意公司开展远期结售汇业务,金额不超过1亿美元,并授权公司经营管理层根据相关内控制度和管理办法在上述额度范围内负责外汇远期结售汇业务的具体运作和管理,业务期限为自本次董事会通过之日起一年。

独立董事发表了独立董事意见,该事项的详细情况请参见公司刊登在《中国证券报》、《上海证券报》、《证券时报》、《证券日报》和巨潮资讯网站上的《关于开展外汇远期结售汇业务的公告》(临2023-053)。

三、备查文件

1、董事会决议

2、独立董事发表的独立意见

特此公告。

孚日集团股份有限公司董事会

2023年10月24日

证券代码:002083 证券简称:孚日股份 公告编号:临2023-053

债券代码:128087 债券简称:孚日转债

孚日集团股份有限公司

关于开展外汇远期结售汇业务的公告

本公司及董监高全体成员保证信息披露内容的真实、准确和完整,没有虚假记载、误导性陈述或重大遗漏。

重要内容提示:

1、投资种类:公司拟开展外汇远期结售汇业务。

2、投资金额:公司拟开展外汇远期结售汇业务额度为不超过1亿美元(或其他等值外币,下同),额度使用期限自本次董事会审议通过之日起一年。上述额度在期限内可循环滚动使用,但期限内任一时点的累计金额不超过1亿美元。

3、特别风险提示:本投资无本金或收益保证,在投资过程中存在汇率波动风险、内部控制风险、客户违约风险,敬请投资者注意投资风险。

孚日集团股份有限公司(以下简称“公司”)于2023年10月23日召开第八届董事会第五次会议,审议通过了《关于开展外汇远期结售汇业务的议案》,同意公司开展外汇远期结售汇业务,金额不超过1亿美元,并授权公司经营管理层根据相关内控制度和管理办法在上述额度范围内负责外汇远期结售汇业务的具体运作和管理业务,业务期限为自本次董事会通过之日起一年。具体情况如下:

一、开展外汇远期结售汇业务情况概述

1、投资目的:公司出口业务在公司经营发展中占据较为重要的地位,公司出口业务主要采用外币结算,今年以来,受国际政治、经济形势等多重因素影响,外汇市场波动较为频繁,外汇市场风险显著增加。为有效规避和防范汇率风险,公司有必要根据业务需求,适当开展外汇远期结售汇业务,以提前锁定利润。

2、资金来源:公司开展外汇远期结售汇业务,缴纳约定数额的自有资金作为保证金外,不需要投入其他资金,缴纳的保证金比例根据与银行签订的协议内容确定。

3、投资金额及期限:根据公司资产规模及日常经营业务需求,公司拟开展外汇远期结售汇业务,预计总额度不超过1亿美元。公司将根据汇率变动趋势择机开展,期限自本次董事会审议通过之日起一年。上述额度在期限内可循环滚动使用,但期限内任一时点的累计金额不超过预计总额度。

4、投资方式:外汇远期结售汇业务。公司拟开展的外汇远期结售汇业务涉及币种只限于与公司经营相关的外币,主要包括美元、欧元、日元等。交易对手方为具有开展远期外汇业务经营资质的银行等金融机构。

5、流动性安排:所有外汇资金业务均对应正常合理的经营业务背景,与收付款时间相匹配,不会对公司流动性造成影响。

二、公司开展外汇远期结售汇业务的风险分析及风险控制措施

(一)风险分析

公司开展的外汇远期结售汇业务遵循锁定汇率风险原则,不做投机性、套利性的交易操作,但远期结售汇操作仍存在一定的风险:

1、汇率波动风险:在汇率行情变动较大的情况下,若锁定的远期汇率偏离实际收付款的即期汇率时,可能造成汇兑损失;

2、内部控制风险:外汇远期结售汇业务专业性较强,复杂程度较高,可能会由于内控制度不完善而产生风险;

3、客户违约风险:客户应收账款发生逾期,货款无法在预测的回款期内按时收回,会造成远期结汇无法按期交割导致公司损失。

(二)针对投资风险,公司拟采取预案和措施如下:

1、不做投机性、套利性的交易操作;

2、选择结构简单、流动性强、低风险的外汇衍生品交易业务,交易对手选择具备资质且信用度较高的银行等金融机构;

3、公司外汇业务相关人员加强对远期外汇交易业务特点和风险的学习,严格执行远期外汇交易业务的操作和内控管理制度,持续跟踪远期外汇公开市场价格或及时评估远期外汇交易的风险敞口变化情况并结合市场情况,适时调整操作策略;

4、公司远期结售汇业务发生合计亏损或者浮动亏损金额每达到公司最近一年经审计的归属于上市公司股东净利润的10%且绝对金额超过1,000万元人民币时,公司应当及时披露;

5、公司董事会应当持续跟踪开展远期结售汇业务的执行进展和交易安全状况,如发生较大损失等异常情况的,应当立即采取措施并按规定履行披露义务;

6、相关部门制定了相关内控制度,对交易额度、品种、审批权限、内部审核流程、责任部门、内部风险报告制度及风险处理程序、信息披露等作出规定,能够有效规范外汇衍生品的交易行为,控制交易风险。

三、对公司的影响分析

公司开展的远期结售汇业务与公司主营业务紧密相关,基于公司外汇收支业务情况,能进一步提高公司应对外汇市场风险的能力,更好地规避和防范公司所面临的汇率波动风险,增强公司财务稳健性。公司严格遵守了外汇相关法律法规和公司相关内控制度,为此项业务配备了专业人员,公司采取的针对性风险防控措施切实可行,公司开展的远期结售汇业务符合公司利益,不存在损害公司及全体股东,尤其是中小股东利益的情形。

四、相关会计处理

公司将根据相关规定,对拟开展的远期结售汇业务进行相应的核算和列报。最终会计处理以公司年度审计机构审计确认的会计报表为准。

五、审议决策程序

公司于2023年10月23日召开第八届董事会第五次会议审议通过了《关于开展远期结售汇业务的议案》。根据《深圳证券交易所股票上市规则》、《公司章程》等规定,本次远期结售汇事项属于公司董事会决策权限范围内,无需提交股东大会审议,不构成关联交易。

六、独立董事意见

公司开展外汇远期结售汇业务是围绕公司主营业务进行的,不是单纯以盈利为目的远期外汇交易,而是以具体经营业务为依托,以规避和防范汇率波动风险为目的,具有一定的必要性;公司具备相对完善的内控监督流程,公司采取的针对性风险防控措施是可行的。

因此,我们同意公司在第八届董事会第五次会议审议的业务规模(1亿美元)和业务期限内(自本次董事会审议通过之日起一年)开展外汇远期结售汇业务,并同意董事会授权公司经营管理层根据相关内控制度和管理办法在上述额度范围内负责外汇远期结售汇业务的具体运作和管理业务。

七、备查文件

1、公司第八届董事会第五次会议决议;

2、公司第八届董事会第五次会议独立董事意见。

特此公告。

孚日集团股份有限公司董事会

2023年10月24日

本版导读

  • 2023-10-24
  • 2023-10-24

相关内容

热门资讯

原创 刘... 刘邦出生于公元前256年12月28日,换算成农历则为乙巳年十一月二十四日,属蛇。死于公元前195年6...
【美股休市,科技股拖累欧股反弹... 【美股休市,科技股拖累欧股反弹,
新春走基层 | 北京“情绪消费... 海淀大悦城舞狮活动。 本报记者 李凯旋 北京报道 作为消费活动的主要场所之一,商场在每年春节前后会进...
美股休市,科技股拖累欧股反弹,... 周一全球市场在假期因素下交投清淡,但各类资产走势分化鲜明。美股因总统日休市、中国内地等部分亚洲市场因...
原创 黄... 2026年2月11日黄金价格惊现巨大价差:品牌金店周大福足金饰每克1560元,银行工行投资金条每克1...
原创 2... 2025年中国商业银行经营全景:规模扩张与盈利承压并存 2025年,中国商业银行体系在复杂多变的...
投标检测中心实验室-投标检测报... 中认检科认证技术服务(深圳)有限公司 国家实验室资质CNAS资质编号L24234,省级实验室资质CM...
转亏预警后,常青股份宣布募投项... 日前,常青股份(603768)发布公告称,公司于2月12日召开第五届董事会第十七次会议,审议通过了《...
【南非央行考虑用关键利率来定价... 【南非央行考虑用关键利率来定价贷款】南非储备银行(即南非央行)正寻求用其基准利率,取代目前商业银行用...
2025盐城推广代运营评测:效... 精准曝光:破解企业“看不见”的线上困局 线上存在感弱是盐城本地企业面临的普遍痛点。当潜在客户在百度搜...
软件测试报告-软件安全评估报告... 广东省宝通质量检测有限公司 国家实验室资质CNAS资质编号L23122,省级实验室资质CMA资质编号...
新春走基层 | 金价回调下的深... 来源:华夏时报 本报(chinatimes.net.cn)记者张蓓 见习记者 黄指南 深圳报道 黄...
提前逃顶软件板块的基金经理预言... 财联社2月17日讯(编辑 赵昊)Polar Capital基金经理Nick Evans在软件股被抛售...
原创 人... 饭局上朋友都在念叨金价什么时候能回到500多一克,坐我对面的银行贵金属主管老李冷笑一声。 他说,现在...
【锋行链盟】科创板IPO全流程... 科创板IPO(首次公开募股)流程严格遵循中国证监会、上海证券交易所(上交所)的监管要求,覆盖从前期筹...
原创 金... 2026年1月30日,全球贵金属市场经历了一个足以载入史册的“黑色星期五”。 就在前一天,国际金价刚...
原创 内... 一份在克里姆林宫高层传阅的内部备忘录,近日被彭博社曝光,内容直指俄罗斯战后经济战略可能发生180度大...
【锋行链盟】港交所IPO全流程... 港交所(香港交易及结算所有限公司,HKEX)的IPO(首次公开募股)流程严格遵循《上市规则》及证监会...
刚刚,集体杀跌!资金全线撤离!... 来源:券商中国 反弹了两天的虚拟币再度杀跌! 从昨天晚上开始,虚拟币再度走弱。比特币一度跌破6.9万...
开屏消费观|各式年菜一站购齐!... 年夜饭今晚就要上桌,赶在最后一天前来购买年货的市民可真不少。昆明大观篆新农贸市场内人流如织,年味十足...