杭华油墨股份有限公司2023第三季度报告
证券时报
2023-10-24 07:31:08
0

原标题:杭华油墨股份有限公司2023第三季度报告

本公司董事会及全体董事保证本公告内容不存在任何虚假记载、误导性陈述或者重大遗漏,并对其内容的真实性、准确性和完整性依法承担法律责任。

重要内容提示:

公司董事会、监事会及董事、监事、高级管理人员保证季度报告内容的真实、准确、完整,不存在虚假记载、误导性陈述或重大遗漏,并承担个别和连带的法律责任。

公司负责人、主管会计工作负责人及会计机构负责人(会计主管人员)保证季度报告中财务信息的真实、准确、完整。

第三季度财务报表是否经审计

□是 √否

一、 主要财务数据

(一)主要会计数据和财务指标

单位:元 币种:人民币

注:“本报告期”指本季度初至本季度末3个月期间,下同。

(二)非经常性损益项目和金额

单位:元 币种:人民币

将《公开发行证券的公司信息披露解释性公告第1号一一非经常性损益》中列举的非经常性损益项目界定为经常性损益项目的情况说明

□适用 √不适用

(三)主要会计数据、财务指标发生变动的情况、原因

√适用 □不适用

二、 股东信息

(一)普通股股东总数和表决权恢复的优先股股东数量及前十名股东持股情况表

单位:股

三、 其他提醒事项

需提醒投资者关注的关于公司报告期经营情况的其他重要信息

√适用 □不适用

2023年8月14日,公司召开第三届董事会第十五次会议和第三届监事会第十四次会议,审议通过了《关于〈杭华油墨股份有限公司2023年限制性股票激励计划(草案)〉及其摘要的议案》《关于〈杭华油墨股份有限公司2023年限制性股票激励计划实施考核管理办法〉的议案》等相关议案。且上述事项已经公司2023年8月30日召开的2023年第三次临时股东大会审议通过。具体内容详见公司于2023年8月15日、2023年8月31日在上海证券交易所网站(www.sse.com.cn)披露的相关公告。

根据公司2023年第三次临时股东大会的授权,2023年9月7日公司召开第三届董事会第十七次会议和第三届监事会第十六次会议,审议通过了《关于向激励对象首次授予限制性股票的议案》,同意以2023年9月7日为2023年限制性股票激励计划(以下简称“本次激励计划”)的首次授予日,并按照3.45元/股的授予价格向符合授予条件的120名激励对象授予限制性股票825.70万股。具体内容详见公司于2023年9月8日在上海证券交易所网站(www.sse.com.cn)披露的《杭华油墨股份有限公司关于向激励对象首次授予限制性股票的公告》(公告编号:2023-033)。

本次激励计划是实现公司持续高质量发展的重要举措,秉持“激励捆绑、风险共担、利益共享”为指导思想,并结合目前公司薪酬体系优化顶层架构设计,通过运用股权激励权益类工具而进行的一次系统性升级,有利于进一步完善公司法人治理结构,建立健全公司激励约束机制,充分调动公司核心员工的积极性,有效地将股东利益、公司利益和员工个人利益紧密结合,确保公司各项发展战略和经营目标的实现。

四、 季度财务报表

(一)审计意见类型

□适用 √不适用

(二)财务报表

合并资产负债表

2023年9月30日

编制单位:杭华油墨股份有限公司

单位:元 币种:人民币 审计类型:未经审计

公司负责人:邱克家 主管会计工作负责人:邱克家 会计机构负责人:王斌

合并利润表

2023年1一9月

编制单位:杭华油墨股份有限公司

单位:元 币种:人民币 审计类型:未经审计

本期发生同一控制下企业合并的,被合并方在合并前实现的净利润为:0元, 上期被合并方实现的净利润为: 0 元。

公司负责人:邱克家 主管会计工作负责人:邱克家 会计机构负责人:王斌

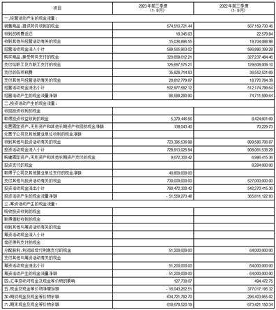
合并现金流量表

2023年1一9月

编制单位:杭华油墨股份有限公司

单位:元 币种:人民币 审计类型:未经审计

公司负责人:邱克家 主管会计工作负责人:邱克家 会计机构负责人:王斌

母公司资产负债表

2023年9月30日

编制单位:杭华油墨股份有限公司

单位:元 币种:人民币 审计类型:未经审计

公司负责人:邱克家 主管会计工作负责人:邱克家 会计机构负责人:王斌

母公司利润表

2023年1一9月

编制单位:杭华油墨股份有限公司

单位:元 币种:人民币 审计类型:未经审计

公司负责人:邱克家 主管会计工作负责人:邱克家 会计机构负责人:王斌

母公司现金流量表

2023年1一9月

编制单位:杭华油墨股份有限公司

单位:元 币种:人民币 审计类型:未经审计

公司负责人:邱克家 主管会计工作负责人:邱克家 会计机构负责人:王斌

2023年起首次执行新会计准则或准则解释等涉及调整首次执行当年年初的财务报表

□适用 √不适用

特此公告。

杭华油墨股份有限公司董事会

2023年10月23日

证券代码:688571 证券简称:杭华股份 公告编号:2023-035

杭华油墨股份有限公司

关于召开2023年

第三季度业绩说明会的公告

本公司董事会及全体董事保证本公告内容不存在任何虚假记载、误导性陈述或者重大遗漏,并对其内容的真实性、准确性和完整性依法承担法律责任。

重要内容提示:

●会议召开时间:2023年10月31日(星期二)上午 09:00-10:00

●会议召开地点:上海证券交易所“上证路演中心”(http://roadshow.sseinfo.com)

●会议召开方式:上证路演中心网络互动

●投资者可于2023年10月24日(星期二)至10月30日(星期一)16:00前登录上证路演中心网站首页点击“提问预征集”栏目或通过公司邮箱stock@hhink.com进行提问。说明会上公司将在信息披露允许的范围内对投资者普遍关注的问题进行回答。

杭华油墨股份有限公司(以下简称“公司”或“杭华股份”)已于2023年10月24日在上海证券交易所网站(www.sse.com.cn)披露《杭华油墨股份有限公司2023年第三季度报告》,为便于广大投资者更全面深入地了解公司2023年第三季度经营成果、财务状况,公司计划于2023年10月31日上午09:00-10:00举行2023年第三季度业绩说明会,就投资者关心的问题进行交流。

一、说明会类型

本次业绩说明会以网络互动形式召开,公司将针对2023年第三季度的经营成果及财务指标的具体情况与投资者进行互动交流和沟通,在信息披露允许的范围内就投资者普遍关注的问题进行回答。

二、说明会召开的时间、地点

本次业绩说明会将于2023年10月31日(星期二)上午 09:00-10:00在上证路演中心(http://roadshow.sseinfo.com)以网络互动形式召开。

三、参加人员

公司董事长邱克家先生,董事会秘书张磊先生,财务负责人王斌先生(如有特殊情况,参会人员可能进行调整)。

四、投资者参加方式

(一)投资者可于2023年10月31日(星期二)上午09:00-10:00,通过互联网登录上证路演中心(http://roadshow.sseinfo.com),在线参与本次业绩说明会。

(二)投资者可于2023年10月24日(星期二)至10月30日(星期一)16:00前登录上证路演中心网站首页点击“提问预征集”栏目或通过公司邮箱stock@hhink.com进行提问。说明会上公司将在信息披露允许的范围内对投资者普遍关注的问题进行回答。

五、说明会咨询方式

联系部门:董事会办公室

联系电话:0571-86721708

电子邮箱:stock@hhink.com

六、其他事项

本次业绩说明会召开后,投资者可以通过上证路演中心查看本次业绩说明会的召开情况及主要内容。

特此公告。

杭华油墨股份有限公司董事会

2023年10月24日

本版导读

相关内容

热门资讯

原创 刘... 刘邦出生于公元前256年12月28日,换算成农历则为乙巳年十一月二十四日,属蛇。死于公元前195年6...
【美股休市,科技股拖累欧股反弹... 【美股休市,科技股拖累欧股反弹,
新春走基层 | 北京“情绪消费... 海淀大悦城舞狮活动。 本报记者 李凯旋 北京报道 作为消费活动的主要场所之一,商场在每年春节前后会进...
美股休市,科技股拖累欧股反弹,... 周一全球市场在假期因素下交投清淡,但各类资产走势分化鲜明。美股因总统日休市、中国内地等部分亚洲市场因...
原创 黄... 2026年2月11日黄金价格惊现巨大价差:品牌金店周大福足金饰每克1560元,银行工行投资金条每克1...
原创 2... 2025年中国商业银行经营全景:规模扩张与盈利承压并存 2025年,中国商业银行体系在复杂多变的...
投标检测中心实验室-投标检测报... 中认检科认证技术服务(深圳)有限公司 国家实验室资质CNAS资质编号L24234,省级实验室资质CM...
转亏预警后,常青股份宣布募投项... 日前,常青股份(603768)发布公告称,公司于2月12日召开第五届董事会第十七次会议,审议通过了《...
【南非央行考虑用关键利率来定价... 【南非央行考虑用关键利率来定价贷款】南非储备银行(即南非央行)正寻求用其基准利率,取代目前商业银行用...
2025盐城推广代运营评测:效... 精准曝光:破解企业“看不见”的线上困局 线上存在感弱是盐城本地企业面临的普遍痛点。当潜在客户在百度搜...
软件测试报告-软件安全评估报告... 广东省宝通质量检测有限公司 国家实验室资质CNAS资质编号L23122,省级实验室资质CMA资质编号...
新春走基层 | 金价回调下的深... 来源:华夏时报 本报(chinatimes.net.cn)记者张蓓 见习记者 黄指南 深圳报道 黄...
提前逃顶软件板块的基金经理预言... 财联社2月17日讯(编辑 赵昊)Polar Capital基金经理Nick Evans在软件股被抛售...
原创 人... 饭局上朋友都在念叨金价什么时候能回到500多一克,坐我对面的银行贵金属主管老李冷笑一声。 他说,现在...
【锋行链盟】科创板IPO全流程... 科创板IPO(首次公开募股)流程严格遵循中国证监会、上海证券交易所(上交所)的监管要求,覆盖从前期筹...
原创 金... 2026年1月30日,全球贵金属市场经历了一个足以载入史册的“黑色星期五”。 就在前一天,国际金价刚...
原创 内... 一份在克里姆林宫高层传阅的内部备忘录,近日被彭博社曝光,内容直指俄罗斯战后经济战略可能发生180度大...
【锋行链盟】港交所IPO全流程... 港交所(香港交易及结算所有限公司,HKEX)的IPO(首次公开募股)流程严格遵循《上市规则》及证监会...
刚刚,集体杀跌!资金全线撤离!... 来源:券商中国 反弹了两天的虚拟币再度杀跌! 从昨天晚上开始,虚拟币再度走弱。比特币一度跌破6.9万...
开屏消费观|各式年菜一站购齐!... 年夜饭今晚就要上桌,赶在最后一天前来购买年货的市民可真不少。昆明大观篆新农贸市场内人流如织,年味十足...