
点击输入图片描述(最多30字)
近期市场要围绕美联储7月加息情况和美元的极弱来讨论,不管是金银,原油,还是货币,都要参考加息环境来分析,由于美元极弱,跌破100关口,所以,现在市场对美元的波动也较为敏感,涨跌和强弱都会对市场有强烈的影响。本周7月17日-7月21日,投资者需要关注的重点数据包括欧元区6月储备资产合计,美国6月零售销售,美国截至7月14日当周API和EIA原油库存变动,英国6月CPI ,美国截至7月15日当周初请失业金人数,欧元区7月消费者信心指数初值,以及日本6月CPI。当周投资者需关注的大事包括G20财长和央行行长会议,澳洲联储7月货币政策会议纪要,欧洲央行行长拉加德的讲话。
美元指数
美元在上周破位100.5关键支撑点,出现一波暴跌空间,同时直接破位100关口,最低跌至99.2今年历史低点。经过周五的调整,美元有所反弹,目前收盘在99.6附近,周内市场在没有大数据的影响下难以出现较大波动,预计会在试探或者争夺关键点位得失。上方*点位在100.5,或者100附近,周内重点关注100,下周在美联储利率决议公布的情况下,再看是否能站稳在100.5之上。本周看好美元有反弹空间。
现货黄金
行情回顾:
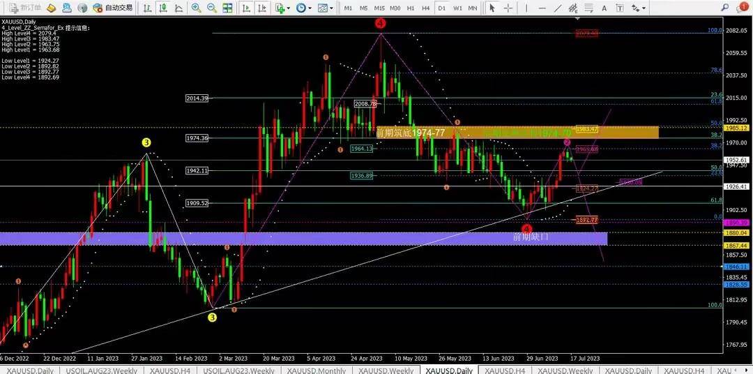
上周黄金在1910附近触底反弹冲高至1963附近,而价格是突破1938后的惯性拉升。所以目前1938是分水岭位置。而周四周五价格都维持在1950上方小区间震荡震荡,所以价格还有回撤的空间。
行情解析:

点击输入图片描述(最多30字)
① 周线当前布林带三轨继续缩口,代表区间压缩震荡。而短期指标macd死叉缩量,灵动指标sto勾头向上运行,代表短期价格的反弹但是还是空头趋势没变。
② 短期下方支撑在均线MA30和均线MA5的重合位1932.7-1934.8附近。而根据周线的斐波拉契回调线看:短期上方*在1970-74一线,支撑1942一线。前期的1909-02支撑因为价格是触底1910反弹,所以目前不做考虑。

点击输入图片描述(最多30字)
③ 日线当前macd金叉放量震荡,灵动指标sto超买运行,代表日线还是多头走势。短期日线上方*在上轨和均线MA60粘合位1960-62一线。支撑于中轨以及均线MA30附近对应支撑1936-1928一线。
④ 从日线上看:如果价格再次跌破1936-38并且最终收线在中轨1928下方,那么黄金就可能再次下跌并且代表高点出现;如果未跌破1936-38那么价格可能会冲击1985至2014一线。

点击输入图片描述(最多30字)
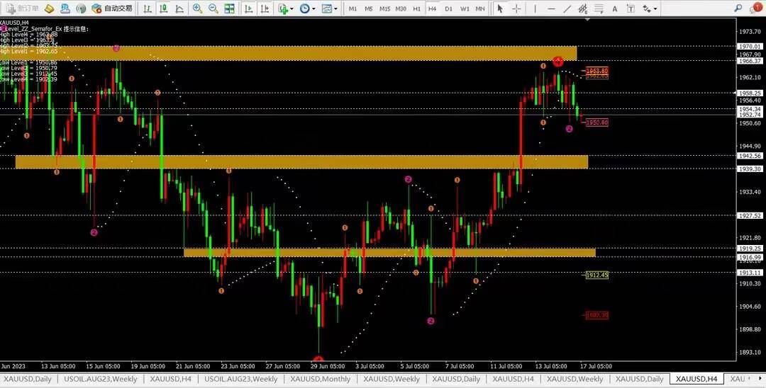
⑤ 4小时当前macd高位死叉放量运行,灵动指标sto也勾头向下修复,代表4小时的弱势回落趋势。而目前4小时布林带缩口代表着区间压缩,所以4小时目前将属于震荡偏弱修整。当前上方*在中轨和均线MA5以及MA10附近对应1955-1958一线,其次是抛物转向点1962一线;而下方支撑位于均线MA30附近以及下轨和均线MA60附近对应1946-1939-1933附近,不过随着时间对应下方均线支撑都将上移。
⑥ 小时线当前macd低位死叉放量运行,灵动指标sto快线也出现折线下压,所以目前小时线属于震荡偏向回落走势。而小时线上方*在1956-58一线。
综合上述分析:可判定下方支撑在1936-38一线,也知道是该点附近做多。短期价格属于震荡回落。至于价格是回落至1936-38后二次上涨还是直接下跌我们关注周二周三的走势。
策略:
【1】1955-58区间空,损1964,目标看1950-1943-1938
【2】1936-38附近多,损1931,目标看1949-1962-1970破位1974看1985-2014(可尝试中线,激进1940-42可以轻仓布局)
【3】极限下跌时1926-28一线,所以该位置可继续做多,损1920,目标中线不变
-
原油上周收线带有上下影线的阳柱,并且站稳中轨上方。说明原油属于震荡偏强走势。而指标macd低位金叉以及灵动指标sto的勾头向上也能说明价格的震荡偏强。

点击输入图片描述(最多30字)
当前支撑在中轨以及均线MA5和MA10粘合位对应73.5-72.7-72.2一线。而上周的低点是72.6一线,所以我们本周做多需要在上周低点上方。如果价格跌破上周低点,那么我们多单点位将下压至72-69.4附近。

点击输入图片描述(最多30字)
日线上周收线大阴下跌,今日开盘价格小幅跳空低开低走。结合日线指标sto的勾头向下修复,所以日内还有低点出现。而当前日线下方支撑在均线MA10附近73.8-9一线,其次是中轨和均线MA60粘合位71.8-72附近。

点击输入图片描述(最多30字)
4小时当前macd高位死叉放量运行,灵动指标sto勾头向下修复,代表4小时目前的震荡偏弱走势。而目前4小时下方支撑在下轨74.2一线,其次是下方均线MA60支撑73.29一线,不过随着时间推移该位置均线也将上移。
小时线当前macd死叉低位放量,灵动指标sto勾头向下修复,代表小时线目前的震荡偏弱。不过短周期看下跌有接近尾声的意思。
因此目前价格可能就是以震荡为主,而上周五下跌的低点和反弹的高点就是我们日内做空点75-75.2以及75.8-76一线。
策略:
【1】75.8-76附近空,损76.8,目标看75-74.2.-73
【2】72.7-73附近多,损72.4目标看76-79-80-81
【3】下方71.6-72附近多,损71,目标不变
期货方面:
1:沪金主力
沪金上周上涨至456附近后就没有继续走高,周四,周五一直徘徊在455附近,短期内有见顶的表现,但确定下跌还要看金价回归到前期震荡的水平之内,至少要看沪金价格跌至453后才能确定这个周期内有下跌的空间。因此,本周沪金继续维持前期的453/454高空不变,确定见顶下跌后还有加仓的可能性,下方依旧关注445/446目标点不变。
2:融通金
融通金尾盘震荡在453附近,上周也有泄涨的表现,本周周初先看高位震荡,向下发展则需看跌破452,跌破此点位后可确定融通金的这波多头强势走完,接下来就等下跌空间,因此,本周可继续持有上周布局的空单不变,耐心等待高位震荡转弱下跌空间,下方还是看445/446目标点位。
3:沪银主力
沪银主力上周最高在5820,上涨同样超过了预期,暂时收盘在5810附近,本周沪银有见顶的表现,交易建议可在5820之下做加仓空单,前期的高位空单持有不变,等这波沪银的强弱走出转换空间,大跌下方可见5400低点,预计这波转换力度在7月剩下两周走出来。大家耐心等待。
4:燃油主力
燃油本周也有所调整,上周坚持看涨,多次提示做多,在3280见双顶以来,形成高位的回落空间,目前收盘在3170附近,形态上,日线出现顶部大阴,k线收口在布林上轨之下,因此,本周可能在出现见顶后走出回落空间,要注意方向和节奏的转换。周内可做高空交易,下方或见3000低点。周初看跌不追空,可考虑反弹至3200之上做空,耐心等待这波力度出现。
5:纯碱主力
纯碱上周最高上涨至1860,目前收盘在1840,前期1700破位做多,1800破位加仓做多,每天都在扩大利润,近期就持有这两波多单继续看上涨空间。前期讲过,多头趋势形成,上涨的第一目标点位在2000,不仅持有低多交易,等到2000点位后再看是否能继续加仓,纯碱的这波多头反攻要么不涨,要涨就是大涨,至少可以看到2800/3000之上,所以,今年期货的利润就纯碱是否有大作为。金手指已经有所收获,大家注意跟随。
免责声明:以上分析内容仅代表作者个人观点,不构成具体操作,文章具有滞后性,据此操作,盈亏自负,投资有风险,入市需谨慎。