阿特斯阳光电力集团股份有限公司2023第三季度报告
证券时报
2023-10-31 07:56:58
0

原标题:阿特斯阳光电力集团股份有限公司2023第三季度报告

证券代码:688472 证券简称:阿特斯

2023

第三季度报告

阿特斯阳光电力集团股份有限公司

第一届监事会第十四次会议决议公告

本公司董事会及全体董事保证本公告内容不存在任何虚假记载、误导性陈述或者重大遗漏,并对其内容的真实性、准确性和完整性依法承担法律责任。

重要内容提示:

公司董事会、监事会及董事、监事、高级管理人员保证季度报告内容的真实、准确、完整,不存在虚假记载、误导性陈述或重大遗漏,并承担个别和连带的法律责任。

公司负责人、主管会计工作负责人及会计机构负责人(会计主管人员)保证季度报告中财务信息的真实、准确、完整。

第三季度财务报表是否经审计

□是 √否

一、 主要财务数据

(一)主要会计数据和财务指标

单位:元 币种:人民币

注:“本报告期”指本季度初至本季度末3个月期间,下同。

本报告期基本/稀释每股收益较上年同期有所下降,主要系公司今年完成IPO上市,总股本增加所致。

(二)非经常性损益项目和金额

单位:元 币种:人民币

将《公开发行证券的公司信息披露解释性公告第1号一一非经常性损益》中列举的非经常性损益项目界定为经常性损益项目的情况说明

□适用 √不适用

(三)主要会计数据、财务指标发生变动的情况、原因

√适用 □不适用

一、

二、 股东信息

(一)普通股股东总数和表决权恢复的优先股股东数量及前十名股东持股情况表

单位:股

注:5位外资股东 Canadian Solar Inc.、Sunshine HK SPV Limited、Qianrui Holdings Limited、Clean World Limited、及Best Sell Inc Limited的股份在阿特斯阳光电力集团股份有限公司未确认持有人证券专用账户中。

三、 其他提醒事项

需提醒投资者关注的关于公司报告期经营情况的其他重要信息

□适用 √不适用

四、 季度财务报表

(一)审计意见类型

□适用 √不适用

(二)财务报表

合并资产负债表

2023年9月30日

编制单位:阿特斯阳光电力集团股份有限公司

单位:元 币种:人民币 审计类型:未经审计

公司负责人:瞿晓铧 主管会计工作负责人:高林红 会计机构负责人:潘乃宏

合并利润表

2023年1一9月

编制单位:阿特斯阳光电力集团股份有限公司

单位:元 币种:人民币 审计类型:未经审计

本期发生同一控制下企业合并的,被合并方在合并前实现的净利润为:0元, 上期被合并方实现的净利润为: 0 元。

公司负责人:瞿晓铧 主管会计工作负责人:高林红 会计机构负责人:潘乃宏

合并现金流量表

2023年1一9月

编制单位:阿特斯阳光电力集团股份有限公司

单位:元 币种:人民币 审计类型:未经审计

公司负责人:瞿晓铧 主管会计工作负责人:高林红 会计机构负责人:潘乃宏

2023年起首次执行新会计准则或准则解释等涉及调整首次执行当年年初的财务报表

□适用 √不适用

特此公告。

董事会

2023年10月27日

证券代码:688472 证券简称:阿特斯 公告编号:2023-026

阿特斯阳光电力集团股份有限公司

本公司监事会及全体监事保证本公告内容不存在任何虚假记载、误导性陈述或者重大遗漏,并对其内容的真实性、准确性和完整性承担法律责任。

一、 监事会会议召开情况

阿特斯阳光电力集团股份有限公司(以下简称“公司”)第一届监事会第十四次会议通知于2023年10月17日以电子邮件的方式向全体监事发出并送达,并于2023年10月27日在公司会议室以现场结合通讯表决的方式召开。本次会议由监事会主席曹俞先生召集并主持,会议应出席监事3人,实际出席3人。

本次会议的召集和召开符合《中华人民共和国公司法》等法律、法规、部门规章以及《阿特斯阳光电力集团股份有限公司章程》的有关规定。会议决议合法、有效。

二、 监事会会议审议情况

(一)审议通过《关于〈2023年第三季度报告〉的议案》

监事会认为:董事会编制和审议公司2023年第三季度报告的程序符合法律、法规的要求,报告内容真实、准确、完整地反映了公司的实际情况,不存在虚假记载、误导性陈述或者重大遗漏。报告的内容和格式符合中国证券监督管理委员会和上海证券交易所的各项规定。

表决结果:3 票同意,0 票反对,0 票弃权。

具体内容详见公司同日于上海证券交易所网站(www.sse.com.cn)披露的《阿特斯阳光电力集团股份有限公司2023年第三季度报告》。

(二)审议通过《关于2023年第三季度计提资产减值准备的议案》

监事会认为:公司按照《企业会计准则》和公司财务制度的有关规定计提资产减值准备,符合公司实际情况,能更公允地反映公司财务状况和资产价值,相关决策程序符合法律法规的规定,监事会同意本次计提资产减值准备事项。

具体内容详见公司同日于上海证券交易所网站(www.sse.com.cn) 披露的《阿特斯阳光电力集团股份有限公司关于2023年第三季度计提资产减值准备的公告》(公告编号:2023-027)。

特此公告。

阿特斯阳光电力集团股份有限公司监事会

2023 年 10 月 31 日

证券代码:688472 证券简称:阿特斯 公告编号:2023-027

阿特斯阳光电力集团股份有限公司

关于2023年第三季度计提

资产减值准备的公告

本公司董事会及全体董事保证本公告内容不存在任何虚假记载、误导性陈述或者重大遗漏,并对其内容的真实性、准确性和完整性依法承担法律责任。

2023年10月27日,阿特斯阳光电力集团股份有限公司(以下简称“公司”)第一届董事会第二十八次会议及第一届监事会第十四次会议审议通过了《关于2023年第三季度计提资产减值准备的议案》,具体情况如下:

一、本次计提资产减值准备情况概述

公司根据《企业会计准则》以及公司会计政策、会计估计的相关规定,为了真实、准确地反映公司截至2023年9月30日的财务状况,本着谨慎性原则,公司对2023年第三季度公司及下属子公司的资产进行了减值测试,对可能发生资产减值损失的相关资产计提减值准备。2023年第三季度公司计提各类信用及资产减值准备共计257,427,829.51元。

具体情况如下表所示:

单位:人民币元

二、计提资产减值准备事项的具体说明

(一)资产减值损失

公司对长期股权投资、固定资产、在建工程、其他非流动资产、使用寿命有限的无形资产等长期资产,在资产负债表日有迹象表明发生减值的,估计其可收回金额,进行了减值测试并计提减值准备;同时,对资产负债表日存货成本高于可变现净值部分,计提了存货跌价准备。经测试,本次需计提资产减值损失金额共计254,971,154.62元。

(二)信用减值损失

公司以预期信用损失为基础,同时结合个别认定法,对应收账款、应收票据、其他应收款等进行了减值测试。经测试,本次需计提信用减值损失金额共计2,456,674.89元。

三、本次计提资产减值准备对公司的影响

本次计提减值损失金额为257,427,829.51元,合计对公司2023年第三季度合并利润总额影响为257,427,829.51元(合并利润总额未计算所得税影响)。本次计提资产减值损失和信用减值损失数据未经审计,最终以会计师事务所年度审计确认的金额为准。

四、独立董事、审计委员会和监事会的意见

(一)独立董事意见

公司独立董事认为:公司2023年第三季度计提资产减值准备符合公司实际情况,符合《企业会计准则》及公司会计政策等相关规定,本次计提资产减值准备基于谨慎性原则,依据充分,计提资产减值准备后的财务数据能更加真实、准确和公允的反映公司截至2023年9月30日的资产价值及财务状况,本次计提资产减值准备不存在损害公司及全体股东特别是中小股东利益的情形,决策程序符合相关法律、法规的规定。综上,公司独立董事同意《关于2023年第三季度计提资产减值准备的议案》。

(二)审计委员会意见

公司审计委员会认为:本次计提资产减值准备符合《企业会计准则》和公司的相关规定,符合公司资产的实际情况,能够公允地反映公司的财务状况和经营成果。审计委员会同意本次计提资产减值准备事项,并同意将该事项提交董事会审议。

(三)监事会意见

公司监事会认为:公司按照《企业会计准则》和公司财务制度的有关规定计提资产减值准备,符合公司实际情况,能更公允地反映公司财务状况和资产价值,相关决策程序符合法律法规的规定,监事会同意本次计提资产减值准备事项。

特此公告。

阿特斯阳光电力集团股份有限公司董事会

2023年10月31日

证券代码:688472 证券简称:阿特斯 公告编号:2023-028

阿特斯阳光电力集团股份有限公司

关于投资建设美国年产5GW高效N型电池片项目的公告

本公司董事会及全体董事保证本公告内容不存在任何虚假记载、误导性陈述或者重大遗漏,并对其内容的真实性、准确性和完整性依法承担法律责任。

重要内容提示:

● 投资标的:美国阿特斯年产5GW高效N型电池片项目

● 投资金额:预计总投资约为8.39亿美元

● 相关风险提示:

1、本项目实施受多种因素影响,且由于厂房建设周期及机电设备采购周期较长,整体项目需要超过两年的时间才能实现产出,如因国家或地方有关政策调整、项目实施条件发生变化等,本项目存在延期、变更或终止的风险;

2、本项目预计投入资金较大,预计后续需要公司通过银行融资或其他融资方式解决资金问题,相关资金筹措情况存在一定的不确定性,因此可能存在资金筹措的进度或规模不达预期的风险,进而影响本投资项目的投资规模及建设进度;

3、招聘及人员支援迟缓的风险。由于美国制造业从业人口及城市劳动力流动性较低,人员招聘的及时性存在一定的不确定。同时,人员跨国支援也受到政策、交通等各类因素影响,因此可能存在人员到岗进度或规模不达预期的风险,进而影响本投资项目的顺利推进。

一、对外投资概述

根据阿特斯阳光电力集团股份有限公司(以下简称“公司”)全球战略发展和海外产能规划需要,为进一步增强公司成品组件在美国市场的竞争力,提升公司产品市场占有率,公司计划在美国组件产能投资的基础上,持续布局海外N型电池片产能,启动美国阿特斯年产5GW高效N型电池片项目计划,预期将于2025年底投入生产。

为推进本项目的实施,公司于2023年10月27日召开第一届董事会第二十八次会议,审议通过了《关于投资建设美国年产5GW高效N型电池片项目的议案》。根据《上海证券交易所科创板股票上市规则》等相关规定,本次投资无需提交公司股东大会审批,本次投资不构成关联交易和重大资产重组。

二、投资主体的基本情况

本项目的投资运营和管理主体为公司全资下属公司CANADIAN SOLAR US CELL MANUFACTURING CORPORATION(以下简称 “CSUCM”),基本情况如下:

1、 公司名称:CANADIAN SOLAR US CELL MANUFACTURING CORPORATION;

2、 成立时间:2023年8月1日;

3、 业务范围:N型太阳能电池片研发、生产及销售;

4、 出资比例:公司通过全资下属公司CANADIAN SOLAR US RENEWABLE ENERGY CORPORATION持有CSUCM 100% 股权。

三、投资项目基本情况

(1)项目名称:美国阿特斯年产5GW高效N型电池片项目;

(2)项目地址:美国印第安纳州杰斐逊维尔市;

(3)项目内容:

新建年产5GW高效N型电池片生产厂房及配套建筑物等。项目建设总用地预计约480亩(土地实际面积以当地主管部门审批情况为准);

(4)投资规模:项目计划总投资约为8.39亿美元;

(5)资金来源:包括但不限于以自有资金、银行融资或其他融资方式,公司将根据实际资金情况对本项目的实施进度进行合理规划调整;

(6)项目建设周期:24个月。

四、对公司的影响

美国年产5GW高效N型电池片项目是符合美国当地鼓励发展的新能源产业,可以享受美国联邦政府及项目所在州、市政府的补贴。同时,该项目符合公司未来产能规划的战略需要,可以进一步提高公司在下一代N型电池技术产业化领域的竞争地位和优化产业链上下游的整体布局,快速提升海外本土化制造能力,为未来业务增长夯实基础,有利于公司抢抓美国光伏市场发展机遇,进一步增强公司盈利能力,持续提升公司综合竞争力,符合公司的长远发展规划。

五、项目投资风险

1、本项目实施受多种因素影响,且由于厂房建设周期及机电设备采购周期较长,整体项目需要超过两年的时间才能实现产出,如因国家或地方有关政策调整、项目实施条件发生变化等,本项目存在延期、变更或终止的风险;

2、本项目预计投入资金较大,后续需要公司通过银行融资或其他融资方式解决资金问题,相关资金筹措情况存在一定的不确定性,因此可能存在资金筹措的进度或规模不达预期的风险,进而影响本投资项目的投资规模及建设进度;

3、招聘及人员支援迟缓的风险。由于美国制造业从业人口及城市劳动力流动性较低,人员招聘的及时性存在一定的不确定。同时,人员跨国支援也受到政策、交通等各类因素影响,因此可能存在人员到岗进度或规模不达预期的风险,进而影响本投资项目的顺利推进。

特此公告。

阿特斯阳光电力集团股份有限公司董事会

2023年 10 月 31 日

证券代码:688472 证券简称:阿特斯 公告编号:2023-029

阿特斯阳光电力集团股份有限公司

关于公司提供授信担保的进展公告

本公司董事会及全体董事保证本公告内容不存在任何虚假记载、误导性陈述或者重大遗漏,并对其内容的真实性、准确性和完整性依法承担法律责任。

重要内容提示:

● 担保协议签署时间:2023年9月29日至10月30日

● 被担保人名称:阿特斯阳光电力集团股份有限公司(以下简称“公司”)合并报表范围内下属子公司

● 本期授信担保发生额:折合人民币8.87亿元

● 被担保人中无公司关联方

● 本次担保:公司及合并报表范围内下属子公司为上述下属子公司向金融机构申请贷款、开立保函或备用信用证等提供担保,担保金额为8.87亿元。截至本公告披露日,公司及其子公司因授信业务对外担保余额为348.11亿元,占公司最近一期经审计净资产的298.47%,其中公司对合并报表范围内下属子公司因授信业务提供的担保余额为347.60亿元。

● 本次担保是否有反担保:无

● 对外担保逾期的累计数量:无

一、担保情况概述

(一)本期新增担保情况

为满足公司的生产经营和业务发展的需求,在确保运作规范和风险可控的前提下,公司及合并报表范围内下属子公司在2023年9月29日至2023年10月30日期间,累计发生的授信担保金额为8.87亿元,占公司最近一期经审计净资产的7.61%。具体情况请参见附件一《阿特斯阳光电力集团股份有限公司2023年9月29日至10月30日签署的授信担保明细》。

(二)担保履行的内部决策程序

公司于2022年12月14日召开第一届董事会第十七次会议、于2022年12月30日召开2022年第三次临时股东大会,分别审议通过了《关于为子公司授信及资金业务提供担保的议案》,同意2023年度内对控股子公司授信及资金业务提供担保,年度内签署担保文件之担保金额合计不超过552亿元(或等值外币)。董事会授权公司董事长或董事长授权代表根据担保实际发生情况在担保范围内签署相关担保文件。

本次担保在上述股东大会批准的担保额度范围内,无需再次履行董事会或股东大会审议程序。

二、被担保人基本情况

被担保人基本情况请参见附件一《阿特斯阳光电力集团股份有限公司2023年9月29日至10月30日签署的授信担保明细》、附件二《被担保人财务情况》。

三、担保协议的主要内容

公司向合并报表范围内下属子公司提供授信担保。

具体内容详见附件一《阿特斯阳光电力集团股份有限公司2023年9月29日至10月30日签署的授信担保明细》。

四、担保的原因及必要性

上述担保事项系为了确保公司及其控股子公司生产经营和业务开展需要并结合目前业务情况,符合公司整体生产经营规划,有助于满足公司日常资金使用及业务发展需求。被担保对象均为公司合并报表范围内下属子公司,担保风险总体可控。

五、累计对外担保金额及逾期担保的金额

截至本公告披露日,公司及其子公司因授信业务对外担保余额为348.11亿元,占公司最近一期经审计净资产的298.47%,其中公司对合并报表范围内下属子公司因授信业务提供的担保余额为347.60亿元。截至本公告披露日,除因公司及控股子公司以自身债务为基础的担保提供反担保外,公司未对其他外部第三方提供担保,亦无逾期担保。

特此公告。

阿特斯阳光电力集团股份有限公司董事会

2023年10月31 日

附件一:阿特斯阳光电力集团股份有限公司2023年9月29日至2023年10月30日签署的授信担保明细

单位:万元

注:因金融机构内部核准授信额度时间早于授信担保协议签署时间,应金融机构要求担保起始时间与其内部核准授信额度时间相一致,故导致担保起始时间早于授信担保协议签署时间。

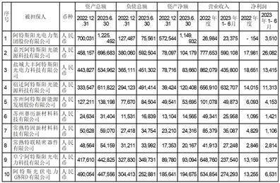
附件二:被担保人财务情况

单位:万元

注:如上财务数据均为单体口径。

本版导读

  • 阿特斯阳光电力集团股份有限公司2023第三季度报告 2023-10-31

相关内容

热门资讯

U型场地技巧资格赛谷爱凌第五 ... 北京时间2月20日凌晨,2026年米兰-科尔蒂纳冬奥会自由式滑雪女子U型场地技巧在利维尼奥雪上公园结...
吞咽障碍患者 日常照护技巧看过... 本文旨在提供吞咽障碍患者家庭护理的实用指南,帮助家属掌握关键照护技巧,确保患者营养均衡,预防并发症,...
原创 难... 这篇文章来分析很多人提起日本,第一反应就是老龄化严重,年轻人没干劲,整个国家都在慢慢躺平,确实,平时...
春节饮食安全必看!这5个坑别踩... 马年新春的脚步越来越近,小年刚过,家家户户已开启“备年货、做美食”模式。亲友团聚围坐一桌,鸡鸭鱼肉、...
原创 当... 2026年2月13日,93岁的程显声教授在病榻上度过了生命的最后时刻。没有监护仪的蜂鸣,没有抢救的喧...
原创 有... 春节假期快要过完了,很多人以为日子又要按部就班地过,但今年的情况真不一样。 很多人发现钱不再往楼市跑...
郑华国:白癜风与锰元素的关联,... 锰元素是人体必需的微量元素,参与人体多种酶的合成与代谢,对皮肤细胞修复、黑色素合成和免疫系统调节具有...
市场监管总局:部署各地从严纠治... 春节假期,节日消费、旅游服务等市场火热。为维护春节期间市场价格秩序稳定,市场监管总局部署各地市场监管...
Birkenstock最新季报... 2月12日,德国百年鞋履品牌 Birkenstock(勃肯)发布截至2025年12月31日的2026...
欧美股市全线下跌,黄金白银掉头... 2月19日晚间,美股集体低开。黄金突然跳水。 截至发稿,道指跌0.42%,纳指跌0.44%,标普50...
2025年国家开发银行发放公路... 2025年,国家开发银行积极支持国家综合立体交通网“强网补链”,助力各地公路智慧化、绿色化升级以及安...
集体拉升!美股大型科技股普涨 美联储内部分歧进一步加剧。 北京时间2月19日凌晨,美联储发布的货币政策会议纪要显示,多位参会官员表...
大年初一,金银价格上演跳水行情... 北京时间2月17日盘中,黄金、白银价格突然直线大跳水,现货黄金一度跌超1%,现货白银一度大跌超4%。...
烧光800亿后,外卖佣金终于开... 来源:市场资讯 (来源:网易科技) 外卖大战一年后,行业硝烟仍在蔓延。 近日,多地外卖商家晒出与淘宝...
884亿大逃亡?当美债买家变得... 来源:市场资讯 来源:汇通财经 汇通财经APP讯——美元指数近期的走势先是一路下探,随后又在低位企稳...
高人预测:如不出意外,春节过后... 很多人以为,年过完了只是“又要上班”,其实从春节后开始,生活会悄悄露出更真实的一面。 热闹是暂时的,...
原创 两... 在当今社会,一个引人深思的现象日益凸显:许多年轻人似乎难以积累储蓄,而他们的父辈——老一辈人——却往...
申万宏源证券首席经济学家赵伟:... 恭贺新春 2026年既是“十五五”的启幕之年,更是经济转型与制度改革全面发力的关键节点。2026年...
从黄金到艺术资产财富配置,与证... 资产配置就是用资产的多元化配置来分散资产风险。艺术资本与其他金融产品的关联度非常小,这也是艺术品适合...
从新鲜果蔬到特色礼品 繁忙货运... 央视网消息:2026年春节假期,全国年货市场持续火热。从新鲜果蔬到特色礼品,一辆辆穿梭于城乡之间的货...