中南出版传媒集团股份有限公司2023第三季度报告
证券时报
2023-10-30 05:11:22
0

原标题:中南出版传媒集团股份有限公司2023第三季度报告

本公司董事会及全体董事保证本公告内容不存在任何虚假记载、误导性陈述或者重大遗漏,并对其内容的真实性、准确性和完整性承担法律责任。

重要内容提示:

公司董事会、监事会及董事、监事、高级管理人员保证季度报告内容的真实、准确、完整,不存在虚假记载、误导性陈述或重大遗漏,并承担个别和连带的法律责任。

公司负责人彭玻、主管会计工作负责人马睿及会计机构负责人(会计主管人员)茅兰娣保证季度报告中财务信息的真实、准确、完整。

一、 主要财务数据

(一)主要会计数据和财务指标

单位:元 币种:人民币

注:“本报告期”指本季度初至本季度末3个月期间,下同。

(二)非经常性损益项目和金额

单位:元 币种:人民币

将《公开发行证券的公司信息披露解释性公告第1号一一非经常性损益》中列举的非经常性损益项目界定为经常性损益项目的情况说明

√适用 □不适用

单位:元 币种:人民币

(三)主要会计数据、财务指标发生变动的情况、原因

√适用 □不适用

二、 股东信息

(一)普通股股东总数和表决权恢复的优先股股东数量及前十名股东持股情况表

单位:股

三、 其他提醒事项

需提醒投资者关注的关于公司报告期经营情况的其他重要信息

□适用 √不适用

四、 季度财务报表

(一)审计意见类型

□适用 √不适用

(二)财务报表

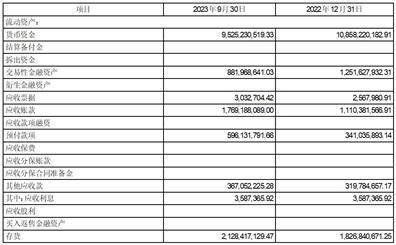
合并资产负债表

2023年9月30日

编制单位:中南出版传媒集团股份有限公司

单位:元 币种:人民币 审计类型:未经审计

公司负责人:彭玻 主管会计工作负责人:马睿 会计机构负责人:茅兰娣

合并利润表

2023年1一9月

编制单位:中南出版传媒集团股份有限公司

单位:元 币种:人民币 审计类型:未经审计

公司负责人:彭玻 主管会计工作负责人:马睿 会计机构负责人:茅兰娣

合并现金流量表

2023年1一9月

编制单位:中南出版传媒集团股份有限公司

单位:元 币种:人民币 审计类型:未经审计

公司负责人:彭玻 主管会计工作负责人:马睿 会计机构负责人:茅兰娣

母公司资产负债表

2023年9月30日

编制单位:中南出版传媒集团股份有限公司

单位:元 币种:人民币 审计类型:未经审计

公司负责人:彭玻 主管会计工作负责人:马睿 会计机构负责人:茅兰娣

母公司利润表

2023年1一9月

编制单位:中南出版传媒集团股份有限公司

单位:元 币种:人民币 审计类型:未经审计

公司负责人:彭玻 主管会计工作负责人:马睿 会计机构负责人:茅兰娣

母公司现金流量表

2023年1一9月

编制单位:中南出版传媒集团股份有限公司

单位:元 币种:人民币 审计类型:未经审计

公司负责人:彭玻 主管会计工作负责人:马睿 会计机构负责人:茅兰娣

2023年起首次执行新会计准则或准则解释等涉及调整首次执行当年年初的财务报表

□适用 √不适用

特此公告。

董事会

2023年10月27日

中南出版传媒集团股份有限公司

本公司董事会及全体董事保证本公告内容不存在任何虚假记载、误导性陈述或者重大遗漏,并对其内容的真实性、准确性和完整性承担法律责任。

为进一步加强与投资者的互动交流,中南出版传媒集团股份有限公司(以下简称“公司”)将参加由湖南证监局、湖南省上市公司协会与深圳市全景网络有限公司联合举办的“推动上市公司规范运作,保护中小投资者一一2023年湖南辖区上市公司投资者网上集体接待日”活动,现将相关事项公告如下:

本次活动将采用网络远程的方式举行,投资者可登录“全景路演”网站(https://rs.p5w.net),或关注微信公众号:全景财经,或下载全景路演APP,参与本次互动交流,互动交流时间为2023年11月2日(星期四) 15:30-17:00。届时公司高管将在线就公司业绩、公司治理、发展战略、经营状况等投资者关心的问题,与投资者进行沟通与交流,欢迎广大投资者踊跃参与!

特此公告。

中南出版传媒集团股份有限公司董事会

二○二三年十月二十七日

证券代码:601098 股票简称:中南传媒 编号:临2023-053

中南出版传媒集团股份有限公司

关于2023年前三季度经营数据的公告

本公司董事会及全体董事保证本公告内容不存在任何虚假记载、误导性陈述或者重大遗漏,并对其内容的真实性、准确性和完整性承担法律责任。

中南出版传媒集团股份有限公司根据《上海证券交易所上市公司自律监管指引第3号一一行业信息披露》的相关规定,现将2023年前三季度一般图书出版业务相关数据(未经审计)公告如下:

单位:万元

特此公告。

中南出版传媒集团股份有限公司董事会

二〇二三年十月二十七日

本版导读

  • 2023-10-28
  • 2023-10-28
  • 2023-10-28

相关内容

热门资讯

原创 美... 一边说着要握手,一边却挥起了重拳,这到底是在唱哪一出? 最近国际上的事儿,真是越来越让人看不懂了。 ...
格科微前十大股东之一上海橙原一... 2月13日,格科微(688728)发布公告,股东上海橙原在1月13日~2月13日通过集中竞价和大宗交...
原创 美... 美国国债利息支出已成为压垮财政的隐形天花板,2025财年预计将高达9700亿美元,甚至超过了军费开支...
机构:新加坡交易所中期前景或因... 来源:滚动播报 RHB Research的Shekhar Jaiswal在一份研究报告中称,得益于政...
竞购大战或升级!市场定价华纳兄... 智通财经APP获悉,交易员们猜测华纳兄弟探索频道(WBD.US)控制权争夺战将促使其中一家竞购者提高...
原创 莫... 2026年初,委内瑞拉的石油出口模式悄然发生了重大转变。在中国减少采购之后,印度开始进入了谈判的视野...
美股软件股持续下跌,市值蒸发超... 自2026年1月下旬以来,美股软件板块市值蒸发超过一万亿美元,这并非普通的市场波动,而是投资者对传统...
原创 人... 就在我们忙着抢红包、吃年夜饭的春节假期,人民币悄悄“暴走”了。 大年初一,当A股休市、国际市场一片清...
燕窝行业小红书获客秘籍|同行偷... 做燕窝行业的宝子们,有没有过这种崩溃时刻?每天熬大夜写小红书笔记,拍燕条、剪视频、想文案,结果曝光只...
原创 疯... 特朗普的这一举动,简直令人匪夷所思。美国明明对古巴实施了严厉的封锁,然而此时此刻,美国却计划向古巴提...
排队吃饭、排队旅游、排队抢购黄... 2026年春节期间,年味渐浓的同时,国内黄金消费市场也迎来年度消费峰值。 尽管近期黄金价格大起大落,...
原创 集... 邱 林 谁能想到,前几年还被中国富豪视为“天堂”的新加坡,如今却成了“资本撤离”的最新动态。中国富豪...
原创 三... 你有没有发现,最近美国的态度突然变得格外温和了?特别是财政部长贝森特,几个月前他还在大声嚷嚷着要和中...
严把计量与质量安全关 全力护航... 春节期间,年货市场迎来消费高峰。为切实保障人民群众节日消费安全,规范市场经营秩序,连日来,全市市场监...
美联储1月议息会议纪要发布!与... 当地时间2月18日(周三),美股三大指数集体收高,截至收盘,道指涨129.47点,涨幅为0.26%,...
原创 因... 最近,印度总理莫迪在稀土问题上掀起了不小的风波,投入700亿卢比,誓言要自己打造稀土产业,甚至雄心勃...
美联储降息,重大变化!美股突变... 隔夜盘中冲高回落。国际、、期货价格集体大涨。 北京时间2月19日凌晨,美联储最新公布的1月会议纪要显...
伊朗突传大消息引爆避险!金价暴... 周三(2月18日),尽管美元走强,但现货黄金价格仍然大幅攀升,金价盘中一度突破5000美元/盎司大关...
美股、黄金、白银、油价、欧洲股... 【大河财立方消息】当地时间2月18日,美股三大指数收盘全线上涨。道琼斯工业平均指数比前一交易日上涨1...
消息人士:美以或将对伊朗发动联... 本文转自【央视新闻客户端】; 美国方面18日消息称,目前没有任何迹象表明美国与伊朗的外交谈判会取得突...