禾丰食品股份有限公司2023第三季度报告
证券时报
2023-10-30 04:41:40
0

原标题:禾丰食品股份有限公司2023第三季度报告

本公司董事会及全体董事保证本公告内容不存在任何虚假记载、误导性陈述或者重大遗漏,并对其内容的真实性、准确性和完整性承担法律责任。

重要内容提示:

公司董事会、监事会及董事、监事、高级管理人员保证季度报告内容的真实、准确、完整,不存在虚假记载、误导性陈述或重大遗漏,并承担个别和连带的法律责任。

公司负责人、主管会计工作负责人及会计机构负责人(会计主管人员)保证季度报告中财务信息的真实、准确、完整。

第三季度财务报表是否经审计

□是 √否

一、 主要财务数据

(一)主要会计数据和财务指标

单位:元 币种:人民币

注:“本报告期”指本季度初至本季度末3个月期间,下同。

(二)非经常性损益项目和金额

单位:元 币种:人民币

将《公开发行证券的公司信息披露解释性公告第1号一一非经常性损益》中列举的非经常性损益项目界定为经常性损益项目的情况说明

□适用 √不适用

(三)主要会计数据、财务指标发生变动的情况、原因

√适用 □不适用

二、 股东信息

(一)普通股股东总数和表决权恢复的优先股股东数量及前十名股东持股情况表

单位:股

三、 其他提醒事项

需提醒投资者关注的关于公司报告期经营情况的其他重要信息

□适用 √不适用

四、 季度财务报表

(一)审计意见类型

□适用 √不适用

(二)财务报表

合并资产负债表

2023年9月30日

编制单位:禾丰食品股份有限公司

单位:元 币种:人民币 审计类型:未经审计

公司负责人:金卫东 主管会计工作负责人:陈宇 会计机构负责人:陈宇

合并利润表

2023年1一9月

编制单位:禾丰食品股份有限公司

单位:元 币种:人民币 审计类型:未经审计

本期发生同一控制下企业合并的,被合并方在合并前实现的净利润为:0元, 上期被合并方实现的净利润为: 0 元。

公司负责人:金卫东 主管会计工作负责人:陈宇 会计机构负责人:陈宇

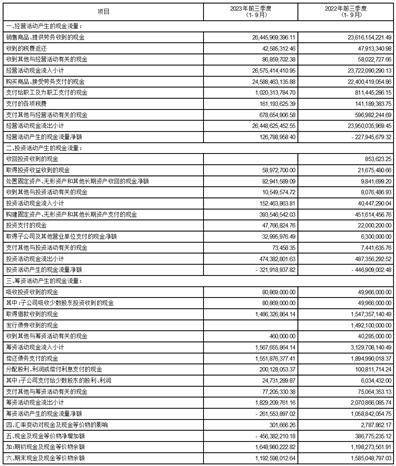
合并现金流量表

2023年1一9月

编制单位:禾丰食品股份有限公司

单位:元 币种:人民币 审计类型:未经审计

公司负责人:金卫东 主管会计工作负责人:陈宇 会计机构负责人:陈宇

2023年起首次执行新会计准则或准则解释等涉及调整首次执行当年年初的财务报表

□适用 √不适用

特此公告。

董事会

2023年10月28日

禾丰食品股份有限公司

本公司监事会及全体监事保证本公告内容不存在任何虚假记载、误导性陈述或者重大遗漏,并对其内容的真实性、准确性和完整性承担法律责任。

禾丰食品股份有限公司(以下简称“公司”)第七届监事会第十五次会议的通知于2023年10月19日以通讯方式向各位监事发出,会议于2023年10月26日以通讯方式召开。

会议由公司监事长王仲涛召集并主持,本次会议应参加监事5人,实际参加监事5人。会议参与表决人数及召集、召开程序符合《公司法》和《公司章程》的有关规定,合法有效。会议审议通过了如下议案:

一、审议通过《关于2023年第三季度报告的议案》。

监事会认为:公司2023年第三季度报告编制和审议程序符合法律、法规、《公司章程》和公司内部管理制度的各项规定;公司2023年第三季度报告的内容和格式符合中国证监会和上海证券交易所的各项规定,所包含的信息能够从各个方面真实地反映公司当期的经营管理和财务状况等事项;公司监事会目前未发现参与公司2023年第三季度报告编制和审议的人员有违反保密规定的行为。

具体内容详见公司同日于上海证券交易所网站(www.sse.com.cn)披露的《禾丰股份2023年第三季度报告》。

表决结果:5票同意,0票反对,0票弃权。

二、审议通过《关于部分募集资金投资项目延期的议案》。

监事会认为:公司根据实际情况对募投项目延期,不会对公司的正常经营产生重大不利影响,不属于募集资金用途的变更。该事项决策和审议程序合法、合规,符合相关法律法规关于上市公司募集资金使用的有关规定,不存在损害股东利益的情况,有利于保证募投项目顺利实施。因此,同意本次募投项目延期的事项。

具体内容详见公司同日于上海证券交易所网站(www.sse.com.cn)披露的《禾丰股份关于部分募集资金投资项目延期的公告》。

表决结果:5票同意,0票反对,0票弃权。

特此公告。

禾丰食品股份有限公司监事会

2023年10月28日

证券代码:603609 证券简称:禾丰股份 公告编号:2023-056

债券代码:113647 债券简称:禾丰转债

禾丰食品股份有限公司

关于调整2023年度日常关联交易

预计的公告

本公司董事会及全体董事保证本公告内容不存在任何虚假记载、误导性陈述或者重大遗漏,并对其内容的真实性、准确性和完整性承担法律责任。

重要内容提示:

●日常关联交易对上市公司的影响:本次调整日常关联交易预计是基于公司正常生产经营需要,交易定价以市场价格为定价依据,不影响公司的独立性,不存在损害公司及股东利益的情况,不会对关联方形成依赖。

●该事项无需提交股东大会审议。

一、关联交易基本情况

(一)日常关联交易履行的审议程序

禾丰食品股份有限公司(以下简称“公司”)于2023年10月26日召开第七届董事会第十八次会议,以7票同意,0票反对,0票弃权,审议通过了《关于调整2023年度日常关联交易预计的议案》。关联董事金卫东、邱嘉辉在对本议案进行表决时予以回避,由非关联董事进行表决。独立董事就该事项发表了事前认可及独立意见。该事项无需提交股东大会审议。

(二)预计日常关联交易类别和金额

公司根据下属企业生产经营需要,本次计划增加2023年日常关联销售预计金额4,000万元,增加2023年日常关联采购预计金额4,000万元,本次合计增加2023年度日常关联交易预计金额8,000万元,具体如下:

单位:人民币万元

注:大连成三畜牧业有限公司于2023年7月27日更名为大连成三食品集团有限公司。

二、关联方介绍和关联方关系

(一)关联方基本情况

1、台安县九股河农业发展有限公司(以下简称“台安九股河”)

企业性质:有限责任公司(自然人投资或控股)

法定代表人:杨东利

注册资本:1060万人民币

注册地址:台安县工业园区

经营范围:许可项目:饲料生产,粮食收购,货物进出口,技术进出口,家禽饲养,活禽销售,兽药经营(依法须经批准的项目,经相关部门批准后方可开展经营活动,具体经营项目以审批结果为准);一般项目:畜牧渔业饲料销售,饲料原料销售,农副产品销售,饲料添加剂销售,初级农产品收购(除依法须经批准的项目外,凭营业执照依法自主开展经营活动)

2、凌海市九股河饲料有限责任公司(以下简称“凌海九股河”)

企业性质:其他有限责任公司

法定代表人:罗凯

注册资本:1755万人民币

注册地址:辽宁省锦州市凌海市新庄子镇礼中村

经营范围:许可项目:饲料生产,粮食收购,兽药经营,家禽饲养,货物进出口,技术进出口,活禽销售(依法须经批准的项目,经相关部门批准后方可开展经营活动,具体经营项目以审批结果为准);一般项目:畜牧渔业饲料销售,饲料原料销售,饲料添加剂销售,初级农产品收购,农副产品销售(除依法须经批准的项目外,凭营业执照依法自主开展经营活动)

3、鞍山市九股河食品有限责任公司(以下简称“鞍山九股河”)

企业性质:有限责任公司(自然人投资或控股)

法定代表人:杜刚

注册资本:4320万人民币

注册地址:台安县农业高新技术开发区

经营范围:许可项目:家禽屠宰,食品生产,食品销售,饲料生产,家禽饲养(依法须经批准的项目,经相关部门批准后方可开展经营活动,具体经营项目以审批结果为准);一般项目:食品销售(仅销售预包装食品),饲料原料销售,货物进出口,技术进出口(除依法须经批准的项目外,凭营业执照依法自主开展经营活动)

4、北票市宏发食品有限公司(以下简称“北票宏发”)

企业性质:有限责任公司(自然人投资或控股)

法定代表人:张明君

注册资本:3000万人民币

注册地址:辽宁北票经济开发区有机食品工业园区

经营范围:畜禽养殖、收购、加工、销售;饲料加工、销售;饲料原辅料、饲料添加剂销售;粮食购销、加工、存储;鸡油、水解羽毛粉加工、销售;速冻食品加工、销售;熟食制品加工、销售;畜禽设备、养殖用具销售;煤炭销售;有机肥料、生物有机肥料、有机无机复混肥料、复混肥料、土壤调理剂、微生物菌剂产品的生产、销售;非强制免疫兽用生物制品、兽用化学药品、中药制剂、生化药品、外用杀虫药、消毒药零售;仓储服务、物流信息咨询服务;机器设备及不动产租赁;本企业自产产品出口、本企业生产科研所需的原辅材料、机械设备及相关技术进口业务。(依法须经批准的项目,经相关部门批准后方可开展经营活动)

5、葫芦岛九股河食品有限公司(以下简称“葫芦岛九股河”)

企业性质:其他有限责任公司

法定代表人:焦金波

注册资本:7370万人民币

注册地址:兴城市望海乡曲河村

经营范围:鸡收购、屠宰加工及销售。(在《畜禽定点屠宰证》、《动物防疫条件合格证》有效期内经营)(依法须经批准的项目,经相关部门批准后方可开展经营活动)

6、丹东禾丰成三牧业有限公司(以下简称“丹东成三”)

企业性质:有限责任公司(自然人投资或控股)

法定代表人:于加洋

注册资本:8000万人民币

注册地址:宽甸满族自治县石湖沟乡下长阴子村二组

经营范围:生产、经营爱拔益加、罗斯;配合饲料、浓缩饲料生产;商品鸡养殖、家禽孵化、销售,饲料及饲料原料的销售,肉鸡放养回收、禽产品、农产品收购;粮食收购;饲料及饲料原料的技术开发及咨询服务;货物进出口业务;饲料研发对外项目投资。(依法须经批准的项目,经相关部门批准后方可开展经营活动)

7、公主岭禾丰玉米收储有限公司(以下简称“公主岭禾丰玉米”)

企业性质:其他有限责任公司

法定代表人:田朝晖

注册资本:12000万人民币

注册地址:公主岭市公伊路98号

经营范围:一般项目:粮食收购;初级农产品收购;粮油仓储服务;食用农产品批发;食用农产品初加工;饲料原料销售;农副产品销售;装卸搬运;机械设备租赁;非居住房地产租赁;信息咨询服务(不含许可类信息咨询服务);食品销售(仅销售预包装食品)。(除依法须经批准的项目外,凭营业执照依法自主开展经营活动)

8、施海普(北京)科贸有限公司(以下简称“施海普”)

企业性质:有限责任公司(中外合资)

法定代表人:刘志勇

注册资本:1000万人民币

注册地址:北京市顺义区南法信镇金关北二街3号院2号楼7层706

经营范围:一般项目:技术服务、技术开发、技术咨询、技术交流、技术转让、技术推广;个人卫生用品销售;畜牧渔业饲料销售;饲料原料销售;消毒剂销售(不含危险化学品);技术进出口;货物进出口;饲料添加剂销售。(除依法须经批准的项目外,凭营业执照依法自主开展经营活动)(不得从事国家和本市产业政策禁止和限制类项目的经营活动)

9、锦州九丰食品有限公司(以下简称“锦州九丰”)

企业性质:其他有限责任公司

法定代表人:王宏财

注册资本:8845万人民币

注册地址:辽宁省锦州市义县七里河镇石桥子村

经营范围:许可项目:家禽屠宰,家禽饲养,食品生产,食品销售,饲料生产(依法须经批准的项目,经相关部门批准后方可开展经营活动,具体经营项目以审批结果为准);一般项目:食品销售(仅销售预包装食品),饲料原料销售,货物进出口,低温仓储(不含危险化学品等需许可审批的项目),食用农产品初加工,初级农产品收购(除依法须经批准的项目外,凭营业执照依法自主开展经营活动)

10、鞍山丰盛食品有限公司(以下简称“鞍山丰盛”)

企业性质:有限责任公司(自然人投资或控股)

法定代表人:郭凡

注册资本:5000万人民币

注册地址:辽宁省鞍山市台安县鞍羊路南侧农产品深加工园区

经营范围:许可项目:家禽屠宰,食品生产,食品销售,饲料生产,家禽饲养(依法须经批准的项目,经相关部门批准后方可开展经营活动,具体经营项目以审批结果为准);一般项目:食品销售(仅销售预包装食品),饲料原料销售,货物进出口,技术进出口,非居住房地产租赁(除依法须经批准的项目外,凭营业执照依法自主开展经营活动)

11、大连成三食品集团有限公司(以下简称“大连成三”)

企业性质:有限责任公司(自然人投资或控股)

法定代表人:张子光

注册资本:1008.6081万人民币

注册地址:辽宁省大连普湾新区炮台镇长岭村

经营范围:种鸡饲养、孵化、销售;饲料生产、销售;肉鸡放养回收;禽产品、农副产品收购;粮食收购;兽用抗生素、化药、中草药、饲料药物添加剂、非强制免疫兽用生物制品的经营;厂房出租;设备租赁;货物进出口,国内一般贸易。(依法须经批准的项目,经相关部门批准后方可开展经营活动)

12、沈阳众文捷生物科技有限公司(以下简称“沈阳众文捷”)

企业性质:其他有限责任公司

法定代表人:苗宝奇

注册资本:1000万元人民币

注册地址:辽宁省沈阳市于洪区沈新路62-32号(5门)

经营范围:生物技术开发、技术咨询、技术服务;兽药、非强制免疫生物制品销售;畜牧机械销售及售后服务。(依法须经批准的项目,经相关部门批准后方可开展经营活动)

13、大连四达食品有限公司(以下简称“大连四达”)

企业性质:有限责任公司(自然人投资或控股)

法定代表人:魏立夫

注册资本:1568.627万人民币

注册地址:辽宁省大连市普兰店区四平街道贾店村

经营范围:许可项目:家禽屠宰(依法须经批准的项目,经相关部门批准后方可开展经营活动,具体经营项目以审批结果为准);一般项目:食用农产品初加工,初级农产品收购,食用农产品批发,食用农产品零售,饲料原料销售,农副产品销售,羽毛(绒)及制品制造,羽毛(绒)及制品销售,货物进出口,技术进出口,食品进出口,国内贸易代理,低温仓储(不含危险化学品等需许可审批的项目)(除依法须经批准的项目外,凭营业执照依法自主开展经营活动)

14、山东凤康食品有限公司(以下简称“山东凤康”)

企业性质:其他有限责任公司

法定代表人:郭志权

注册资本:15000万人民币

注册地址:山东省烟台市莱阳市姜疃镇濯村鲁花大街663号

经营范围:种鸡养殖、销售;鸡苗孵化、销售;肉鸡屠宰、冷藏、加工、销售;调理食品、熟制食品加工、销售;货物进出口;自有房屋、场地、机械设备租赁。(依法须经批准的项目,经相关部门批准后方可开展经营活动)

15、吉林省恒丰动物保健品有限公司(以下简称“吉林恒丰”)

企业性质:有限责任公司(自然人投资或控股)

法定代表人:田之国

注册资本:800万人民币

注册地址:吉林省长春市绿园区青年路1229号兴业商务园615室

经营范围:动物保健品、非国家强制免疫用生物制品(在该许可的有效期内从事经营)、兽药、机械设备、饲料、饲料添加剂、化学药制剂(危险品除外)、抗生素、宠物用品销售(依法须经批准的项目,经相关部门批准后方可开展经营活动)

16、达州禾丰生物科技有限公司(以下简称“达州禾丰”)

企业性质:其他有限责任公司

法定代表人:金宏宇

注册资本:5000万人民币

注册地址:四川省达州市通川区通川经济开发区医药大道7号

经营范围:生物技术推广服务;生产、销售:饲料;销售:兽药、生物制品;收购、销售:农产品(粮食);销售:牲畜、家禽。(依法须经批准的项目,经相关部门批准后方可开展经营活动)

17、哈尔滨维尔好贸易有限公司(以下简称“维尔好”)

企业性质:有限责任公司(自然人投资或控股)

法定代表人:李春良

注册资本:4000万人民币

注册地址:哈尔滨开发区南岗集中区泰山路117号318室

经营范围:饲料及饲料添加剂、饲料原料的销售(不含国家限制产品)。

18、河北太行禾丰牧业有限公司(以下简称“河北太行禾丰”)

企业性质:其他有限责任公司

法定代表人:李小永

注册资本:12000万人民币

注册地址:河北省保定市易县桥头乡匡山村999号

经营范围:鸡的饲养、家禽孵化服务;饲料加工、销售;动物饲养场房建筑。(依法须经批准的项目,经相关部门批准后方可开展经营活动)

(二)与本公司的关联关系

以上18家公司全部为本公司的参股企业。其中:公司董事长金卫东先生担任公主岭禾丰玉米的董事,公司监事长王仲涛先生分别担任公主岭禾丰玉米、吉林恒丰、维尔好的董事,公司大股东丁云峰先生在12个月内曾担任施海普的董事,公司董事兼总裁邱嘉辉先生分别担任台安九股河、凌海九股河、鞍山九股河、北票宏发、葫芦岛九股河、丹东成三、锦州九丰、鞍山丰盛、大连成三、沈阳众文捷、大连四达、山东凤康、河北太行禾丰的董事,公司董事长金卫东先生的妹妹金宏宇女士担任达州禾丰的董事,公司监事任秉鑫先生分别担任凌海九股河、鞍山九股河、葫芦岛九股河、大连成三的董事,公司监事李俊先生分别担任吉林恒丰、维尔好的董事。上述关联法人符合《上海证券交易所股票上市规则》第6.3.3条第(三)款规定的关联关系情形,故上述18家企业与本公司构成关联关系。

(三)履约能力分析

上述关联企业目前生产经营情况正常,具有良好的履约能力,可以保证交易的正常进行。

三、关联交易主要内容和定价政策

1、关联交易主要内容:公司及子公司向关联方销售或采购饲料产品、饲料原料、毛鸡、肉鸡分割品等。

2、关联交易定价政策:公司及子公司与各关联方之间发生的各项关联交易,均在平等自愿、公平公允的原则下进行,以市场价格作为交易的定价基础,遵循公平合理的定价原则,未损害公司及全体股东的利益。

四、关联交易目的和对上市公司的影响

公司与关联方交易均遵循公平、公正、公开的原则,依据市场价格定价、交易;上述关联交易均是公司的正常业务,有利于公司经营业务的发展,不存在损害公司和全体股东利益的行为;公司及关联方在业务、人员、资产、机构、财务等方面保持独立,上述关联交易不会对公司的独立性构成影响,公司的主要业务也不会因此类交易而对关联方形成依赖。

特此公告。

禾丰食品股份有限公司董事会

2023年10月28日

证券代码:603609 证券简称:禾丰股份 公告编号:2023-057

债券代码:113647 债券简称:禾丰转债

禾丰食品股份有限公司

关于部分募集资金投资项目延期的公告

本公司董事会及全体董事保证本公告内容不存在任何虚假记载、误导性陈述或者重大遗漏,并对其内容的真实性、准确性和完整性承担法律责任。

禾丰食品股份有限公司(以下简称“公司”)于2023年10月26日召开第七届董事会第十八次会议和第七届监事会第十五次会议,审议通过了《关于部分募集资金投资项目延期的议案》,拟将公司2022年公开发行可转换公司债券募集资金投资项目中的“安徽禾丰牧业有限公司年产30万吨猪饲料和15万吨反刍饲料项目”“黑龙江禾丰牧业有限公司年产10万吨教保饲料项目”“凌源禾丰农牧有限公司1万头原种猪场项目”“平原禾丰食品加工有限公司年产3万吨熟食和调理品项目”进行延期,现将有关情况公告如下:

一、募集资金基本情况

经中国证券监督管理委员会《关于核准禾丰食品股份有限公司公开发行可转换公司债券的批复》(证监许可[2022]662号)核准,公司向社会公开发行面值总额人民币1,500,000,000.00元可转换公司债券,募集资金总额1,500,000,000.00元,扣除保荐、承销费及其他发行费用10,116,500.00元,实际募集资金净额为人民币1,489,883,500.00元。上述资金于2022年4月28日全部到位,已经苏亚金诚会计师事务所(特殊普通合伙)验证并出具苏亚验[2022]7号《验资报告》。

为规范公司募集资金管理和使用,保护投资者权益,根据中国证监会《上市公司监管指引第2号一一上市公司募集资金管理和使用的监管要求》《上海证券交易所上市公司自律监管指引第1号一一规范运作》等法律法规的规定,公司与保荐机构、募集资金专户开户银行签订了《募集资金专户存储三方监管协议》,对募集资金进行专户存放与使用。

二、募集资金使用情况

截至2023年9月30日,公司已累计使用募集资金75,992.88万元,尚未使用的募集资金余额为72,995.47万元(不含利息收入)。具体情况如下:

单位:万元

三、本次募集资金投资项目延期的相关情况

公司经审慎研究,结合当前募投项目实际进展情况,在募投项目和募集资金使用不发生变更情况下,拟对“安徽禾丰牧业有限公司年产30万吨猪饲料和15万吨反刍饲料项目”“黑龙江禾丰牧业有限公司年产10万吨教保饲料项目”“凌源禾丰农牧有限公司1万头原种猪场项目”“平原禾丰食品加工有限公司年产3万吨熟食和调理品项目”的达到预定可使用状态的时间进行调整,具体如下:

四、本次募集资金投资项目延期的原因

1、“凌源禾丰农牧有限公司1万头原种猪场项目”延期原因:在募投项目筹备实施过程中,生猪行情与预期发生较大变化,国内生猪养殖业现阶段亏损较为严重。为了更好的保护投资者利益、尽量削弱生猪业务对公司整体业绩产生的消极影响,公司及时调整战略,放缓了若干生猪养殖项目的推进速度,同时努力打磨核心能力,积蓄力量静待行情拐点的到来。

2、“安徽禾丰牧业有限公司年产30万吨猪饲料和15万吨反刍饲料项目”及“黑龙江禾丰牧业有限公司年产10万吨教保饲料项目”延期原因:养殖行情持续低迷,养殖户(场)投料积极性下降,且各个地区饲料供需关系逐步呈现差异化。经市场调研与分析评估后发现,公司募投项目所在地区现有饲料产能目前已足够满足当地内外销饲料需求。为了更好的保护投资者利益、提高募集资金的使用效率,公司拟对项目实施地点进行重新规划,待实施地点确定后,公司将加快推进项目进度。

3、“平原禾丰食品加工有限公司年产3万吨熟食和调理品项目”延期原因:受外部宏观因素影响,公司前期投入的其他食品项目延期竣工,目前尚未满产。为适应市场需求变化、控制项目投入风险,从而更好的保护投资者利益,针对本项目,公司将采取逐步投入的优化方式,项目进度整体有所延期。

本着对公司和全体股东负责的原则,尽可能降低投资风险,秉承公司稳健经营的发展策略,经审慎研究,公司决定对上述4个募投项目达到预定可使用状态日期进行延期。

五、本次募集资金投资项目延期对公司的影响

公司本次对募投项目进行延期是根据项目实际实施过程中多方面的客观情况作出的审慎决定,项目实施的可行性未发生重大变化,不会对公司当前的生产经营产生不利影响,不存在改变或变相改变募集资金用途和损害股东利益的情形。本次调整将有利于公司更好地使用募集资金,有助于公司业务整体规划及长远健康发展,符合公司及全体股东的利益。

六、本次部分募集资金投资项目延期的审议程序

(一)审议程序

公司于2023年10月26日召开第七届董事会第十八次会议及第七届监事会第十五次会议,审议通过了《关于部分募集资金投资项目延期的议案》,同意本次募投项目延期事项。

(二)独立董事意见

独立董事认为:公司本次关于部分募投项目延期的事项是根据项目的实际建设情况及项目的资金使用情况作出的审慎决定,履行了必要的审批程序,符合《上市公司监管指引第2号一一上市公司募集资金管理和使用的监管要求》《上海证券交易所上市公司自律监管指引第1号一一规范运作》以及公司《募集资金管理办法》等相关规定。本次部分募投项目延期,不存在变相改变募集资金用途和损害公司及股东、特别是中小股东利益的情形,符合公司未来发展的需要。因此,我们一致同意公司本次部分募投项目延期事项。

(三)监事会意见

监事会认为:公司根据实际情况对募投项目延期,不会对公司的正常经营产生重大不利影响,不属于募集资金用途的变更。该事项决策和审议程序合法、合规,符合相关法律法规关于上市公司募集资金使用的有关规定,不存在损害股东利益的情况,有利于保证募投项目顺利实施。因此,同意本次募投项目延期的事项。

(四)保荐机构核查意见

保荐机构认为:公司本次部分募集资金投资项目延期事项已经公司第七届董事会第十八次会议和第七届监事会第十五次会议审议通过,独立董事发表了明确同意意见,履行了必要的审批程序;本次部分募集资金投资项目延期事项是公司依据经营情况、发展战略以及市场环境变化等情况作出的审慎决策,不存在损害公司及股东、特别是中小股东利益的情形,符合《证券发行上市保荐业务管理办法》《上海证券交易所股票上市规则》《上市公司监管指引第2号一一上市公司募集资金管理和使用的监管要求》《上海证券交易所上市公司自律监管指引第1号一一规范运作》《上海证券交易所上市公司自律监管指引第11号一一持续督导》等相关规定。综上,保荐机构对公司部分募集资金投资项目延期事项无异议。

特此公告。

禾丰食品股份有限公司董事会

2023年10月28日

证券代码:603609 证券简称:禾丰股份 公告编号:2023-054

债券代码:113647 债券简称:禾丰转债

禾丰食品股份有限公司

第七届董事会第十八次会议决议公告

本公司董事会及全体董事保证本公告内容不存在任何虚假记载、误导性陈述或者重大遗漏,并对其内容的真实性、准确性和完整性承担法律责任。

禾丰食品股份有限公司(以下简称“公司”)第七届董事会第十八次会议的通知于2023年10月17日以通讯方式向各位董事发出,会议于2023年10月26日在沈阳市沈北新区辉山大街169号禾丰股份综合办公大楼7楼会议室以现场结合通讯方式召开。

会议由公司董事长金卫东召集并主持,本次会议应参加董事9人,实际参加董事9人。会议参与表决人数及召集、召开程序符合《公司法》和《公司章程》的有关规定,合法有效。会议审议通过了如下议案:

一、审议通过《关于2023年第三季度报告的议案》。

具体内容详见公司同日于上海证券交易所网站(www.sse.com.cn)披露的《禾丰股份2023年第三季度报告》。

表决结果:9票同意,0票反对,0票弃权。

二、审议通过《关于部分募集资金投资项目延期的议案》。

具体内容详见公司同日于上海证券交易所网站(www.sse.com.cn)披露的《禾丰股份关于部分募集资金投资项目延期的公告》。

表决结果:9票同意,0票反对,0票弃权。

三、审议通过《关于调整2023年度日常关联交易预计的议案》。

具体内容详见公司同日于上海证券交易所网站(www.sse.com.cn)披露的《禾丰股份关于调整2023年度日常关联交易预计的公告》。

表决结果:7票同意,0票反对,0票弃权。关联董事金卫东、邱嘉辉回避表决。

四、审议通过《关于在2023年度担保额度内增加被担保对象的议案》。

具体内容详见公司同日于上海证券交易所网站(www.sse.com.cn)披露的《禾丰股份关于在2023年度担保额度内增加被担保对象的公告》。

表决结果:9票同意,0票反对,0票弃权。

本议案尚需提交公司2023年第一次临时股东大会审议批准。

五、审议通过《关于提请召开公司2023年第一次临时股东大会的议案》。

具体内容详见公司同日于上海证券交易所网站(www.sse.com.cn)披露的《禾丰股份关于召开2023年第一次临时股东大会的通知》。

表决结果:9票同意,0票反对,0票弃权。

特此公告。

禾丰食品股份有限公司董事会

2023年10月28日

证券代码:603609 证券简称:禾丰股份 公告编号:2023-058

债券代码:113647 债券简称:禾丰转债

禾丰食品股份有限公司

关于在2023年度担保额度内

增加被担保对象的公告

本公司董事会及全体董事保证本公告内容不存在任何虚假记载、误导性陈述或者重大遗漏,并对其内容的真实性、准确性和完整性承担法律责任。

重要内容提示:

●被担保人名称:包头禾辰牧业有限公司,为本公司的下属子公司。

●本次担保金额及已实际为其提供的担保余额:公司拟在2023年度担保额度内(担保总额不变)增加包头禾辰牧业有限公司为被担保对象。截至本公告日,公司已实际为包头禾辰牧业有限公司提供的担保余额为0。

●是否有反担保:无。

●对外担保逾期的累计数量:无。

一、担保情况概述

(一)本次担保基本情况

公司于2023年3月29日召开第七届董事会第十五次会议,于2023年4月21日召开2022年年度股东大会,审议通过了《关于为下属子公司提供担保的议案》。为了有序开展融资业务、增强与原材料供应商的战略合作,公司及下属子公司预计为公司其他下属子公司(纳入合并报表范围的子公司)提供总额不超过324,050万元的连带责任保证担保。

为了更好的支持子公司经营发展,公司本次增加下属子公司包头禾辰牧业有限公司为被担保对象,公司拟提供的担保额度在2022年年度股东大会已审议通过的年度担保额度内,2023年度公司担保总额度未发生变化。

(二)本次担保事项履行的内部决策程序及尚需履行的决策程序

公司于2023年10月26日召开第七届董事会第十八次会议审议通过了《关于在2023年度担保额度内增加被担保对象的议案》,该议案尚需提交公司股东大会审议。

(三)本次增加被担保对象的担保预计情况

二、被担保方基本情况

1、公司名称:包头禾辰牧业有限公司

2、成立时间:2022-03-04

3、注册地址:内蒙古自治区包头市九原区绿色食品加工产业园办公楼108室

4、法定代表人:金宏宇

5、注册资本:1500万人民币

6、经营范围:饲料生产;道路货物运输(不含危险货物);畜牧渔业饲料销售;非食用农产品初加工;饲料原料销售;粮食收购。

7、主要财务指标:

单位:元

三、担保的必要性和合理性

本次担保是为了满足公司控股子公司经营发展需要,不会对公司正常经营和业务发展造成负面影响,不会影响公司股东的利益。公司拥有被担保方的控制权,并已审慎判断被担保方偿还债务的能力,本次担保风险可控,具有必要性和合理性。

四、董事会意见

董事会认为在2023年度预计担保总额度不变的前提下,增加包头禾辰牧业有限公司为被担保对象,有助于进一步推进包头禾辰牧业有限公司业务发展。公司对包头禾辰牧业有限公司拥有控制权,能对其业务发展及经营情况进行有效管控,本次担保风险可控。

五、独立董事意见

公司在2023年度预计担保总额不变的前提下,增加包头禾辰牧业有限公司为被担保对象,有助于推动子公司的业务发展,包头禾辰牧业有限公司为公司控股子公司,其经营情况正常,担保风险可控,不会对公司的正常经营和业务发展造成负面影响,也不存在损害公司及全体股东利益的情形。

六、累计对外担保数量及逾期担保的数量

截至2023年9月30日,公司实际发生的对外担保余额为7.92亿元,全部为公司(包括下属子公司)对下属全资或控股子公司提供的担保,占公司2022年12月31日经审计净资产的比例为10.94%。其中,公司为下属子公司采购原料货款提供的实际担保余额为1.54亿元。无逾期担保。

特此公告。

禾丰食品股份有限公司董事会

2023年10月28日

证券代码:603609 证券简称:禾丰股份 公告编号:2023-059

债券代码:113647 债券简称:禾丰转债

禾丰食品股份有限公司

关于召开2023年

第一次临时股东大会的通知

本公司董事会及全体董事保证本公告内容不存在任何虚假记载、误导性陈述或者重大遗漏,并对其内容的真实性、准确性和完整性承担法律责任。

重要内容提示:

● 股东大会召开日期:2023年11月13日

● 本次股东大会采用的网络投票系统:上海证券交易所股东大会网络投票系统

一、召开会议的基本情况

(一)股东大会类型和届次

2023年第一次临时股东大会

(二)股东大会召集人:董事会

(三)投票方式:本次股东大会所采用的表决方式是现场投票和网络投票相结合的方式

(四)现场会议召开的日期、时间和地点

召开的日期时间:2023年11月13日 10点00分

召开地点:辽宁省沈阳市沈北新区辉山大街169号禾丰股份综合办公大楼7楼会议室

(五)网络投票的系统、起止日期和投票时间。

网络投票系统:上海证券交易所股东大会网络投票系统

网络投票起止时间:自2023年11月13日至2023年11月13日

采用上海证券交易所网络投票系统,通过交易系统投票平台的投票时间为股东大会召开当日的交易时间段,即9:15-9:25,9:30-11:30,13:00-15:00;通过互联网投票平台的投票时间为股东大会召开当日的9:15-15:00。

(六)融资融券、转融通、约定购回业务账户和沪股通投资者的投票程序

涉及融资融券、转融通业务、约定购回业务相关账户以及沪股通投资者的投票,应按照《上海证券交易所上市公司自律监管指引第1号一规范运作》等有关规定执行。

(七)涉及公开征集股东投票权

二、会议审议事项

本次股东大会审议议案及投票股东类型

1、各议案已披露的时间和披露媒体

上述议案经公司2023年10月26日召开的第七届董事会第十八次会议审议通过。相关内容详见上海证券交易所网站及公司指定披露媒体《中国证券报》《上海证券报》《证券时报》。

2、特别决议议案:无

3、对中小投资者单独计票的议案:1

4、涉及关联股东回避表决的议案:无

应回避表决的关联股东名称:无

5、涉及优先股股东参与表决的议案:无

三、股东大会投票注意事项

(一)本公司股东通过上海证券交易所股东大会网络投票系统行使表决权的,既可以登陆交易系统投票平台(通过指定交易的证券公司交易终端)进行投票,也可以登陆互联网投票平台(网址:vote.sseinfo.com)进行投票。首次登陆互联网投票平台进行投票的,投资者需要完成股东身份认证。具体操作请见互联网投票平台网站说明。

(二)持有多个股东账户的股东,可行使的表决权数量是其名下全部股东账户所持相同类别普通股和相同品种优先股的数量总和。

持有多个股东账户的股东通过本所网络投票系统参与股东大会网络投票的,可以通过其任一股东账户参加。投票后,视为其全部股东账户下的相同类别普通股和相同品种优先股均已分别投出同一意见的表决票。

持有多个股东账户的股东,通过多个股东账户重复进行表决的,其全部股东账户下的相同类别普通股和相同品种优先股的表决意见,分别以各类别和品种股票的第一次投票结果为准。

(三)同一表决权通过现场、本所网络投票平台或其他方式重复进行表决的,以第一次投票结果为准。

(四)股东对所有议案均表决完毕才能提交。

四、会议出席对象

(一)股权登记日收市后在中国证券登记结算有限责任公司上海分公司登记在册的公司股东有权出席股东大会(具体情况详见下表),并可以以书面形式委托代理人出席会议和参加表决。该代理人不必是公司股东。

(二)公司董事、监事和高级管理人员。

(三)公司聘请的律师。

(四)其他人员

五、会议登记方法

为保证本次股东大会的顺利召开,公司将根据股东大会出席人数安排会议场地,为减少会前登记时间,出席本次股东大会的股东及股东代表需提前登记确认。

1、登记时间:2023年11月6日上午9:00-11:00;下午14:00-16:00。

2、登记地点:辽宁省沈阳市沈北新区辉山大街169号禾丰股份综合办公大楼427室。

3、登记方式:拟出席本次会议的股东或股东代理人应持以下文件在上述时间、地点现场办理或通过传真、邮件方式办理登记:

法人股东:法定股东的法定代表人出席股东大会会议的,凭本人身份证、法人单位营业执照复印件(加盖公章)办理登记;法人股东委托代理人出席股东大会会议的,凭代理人的身份证、法人股东的法定代表人签署的授权委托书、法人单位营业执照复印件(加盖公章)办理登记。

自然人股东:自然人股东亲自出席股东大会会议的,凭本人身份证办理登记;自然人股东委托代理人出席的,凭代理人的身份证、委托人身份证复印件、授权委托书办理登记。

六、其他事项

(一)与会股东(或代理人)食宿及交通费用自理。

(二)联系方式

1、电话:024-88081409

2、传真:024-88082333

3、联系人:赵先生

4、通讯地址:沈阳市沈北新区辉山大街169号禾丰股份综合办公大楼427室

5、邮政编码:110164

6、电子信箱:hfmy@wellhope.co

特此公告。

禾丰食品股份有限公司董事会

2023年10月28日

附件1:授权委托书

● 报备文件

提议召开本次股东大会的董事会决议

附件1:授权委托书

授权委托书

禾丰食品股份有限公司:

兹委托 先生(女士)代表本单位(或本人)出席2023年11月13日召开的贵公司2023年第一次临时股东大会,并代为行使表决权。

委托人持普通股数:

委托人持优先股数:

委托人股东帐户号:

委托人签名(盖章): 受托人签名:

委托人身份证号: 受托人身份证号:

委托日期: 年 月 日

备注:

委托人应当在委托书中“同意”、“反对”或“弃权”意向中选择一个并打“√”,对于委托人在本授权委托书中未作具体指示的,受托人有权按自己的意愿进行表决。

本版导读

  • 禾丰食品股份有限公司2023第三季度报告 2023-10-28

相关内容

热门资讯

原创 美... 一边说着要握手,一边却挥起了重拳,这到底是在唱哪一出? 最近国际上的事儿,真是越来越让人看不懂了。 ...
格科微前十大股东之一上海橙原一... 2月13日,格科微(688728)发布公告,股东上海橙原在1月13日~2月13日通过集中竞价和大宗交...
原创 美... 美国国债利息支出已成为压垮财政的隐形天花板,2025财年预计将高达9700亿美元,甚至超过了军费开支...
机构:新加坡交易所中期前景或因... 来源:滚动播报 RHB Research的Shekhar Jaiswal在一份研究报告中称,得益于政...
竞购大战或升级!市场定价华纳兄... 智通财经APP获悉,交易员们猜测华纳兄弟探索频道(WBD.US)控制权争夺战将促使其中一家竞购者提高...
原创 莫... 2026年初,委内瑞拉的石油出口模式悄然发生了重大转变。在中国减少采购之后,印度开始进入了谈判的视野...
美股软件股持续下跌,市值蒸发超... 自2026年1月下旬以来,美股软件板块市值蒸发超过一万亿美元,这并非普通的市场波动,而是投资者对传统...
原创 人... 就在我们忙着抢红包、吃年夜饭的春节假期,人民币悄悄“暴走”了。 大年初一,当A股休市、国际市场一片清...
燕窝行业小红书获客秘籍|同行偷... 做燕窝行业的宝子们,有没有过这种崩溃时刻?每天熬大夜写小红书笔记,拍燕条、剪视频、想文案,结果曝光只...
原创 疯... 特朗普的这一举动,简直令人匪夷所思。美国明明对古巴实施了严厉的封锁,然而此时此刻,美国却计划向古巴提...
排队吃饭、排队旅游、排队抢购黄... 2026年春节期间,年味渐浓的同时,国内黄金消费市场也迎来年度消费峰值。 尽管近期黄金价格大起大落,...
原创 集... 邱 林 谁能想到,前几年还被中国富豪视为“天堂”的新加坡,如今却成了“资本撤离”的最新动态。中国富豪...
原创 三... 你有没有发现,最近美国的态度突然变得格外温和了?特别是财政部长贝森特,几个月前他还在大声嚷嚷着要和中...
严把计量与质量安全关 全力护航... 春节期间,年货市场迎来消费高峰。为切实保障人民群众节日消费安全,规范市场经营秩序,连日来,全市市场监...
美联储1月议息会议纪要发布!与... 当地时间2月18日(周三),美股三大指数集体收高,截至收盘,道指涨129.47点,涨幅为0.26%,...
原创 因... 最近,印度总理莫迪在稀土问题上掀起了不小的风波,投入700亿卢比,誓言要自己打造稀土产业,甚至雄心勃...
美联储降息,重大变化!美股突变... 隔夜盘中冲高回落。国际、、期货价格集体大涨。 北京时间2月19日凌晨,美联储最新公布的1月会议纪要显...
伊朗突传大消息引爆避险!金价暴... 周三(2月18日),尽管美元走强,但现货黄金价格仍然大幅攀升,金价盘中一度突破5000美元/盎司大关...
美股、黄金、白银、油价、欧洲股... 【大河财立方消息】当地时间2月18日,美股三大指数收盘全线上涨。道琼斯工业平均指数比前一交易日上涨1...
消息人士:美以或将对伊朗发动联... 本文转自【央视新闻客户端】; 美国方面18日消息称,目前没有任何迹象表明美国与伊朗的外交谈判会取得突...