重庆银行股份有限公司2023第三季度报告
证券时报
2023-10-28 09:23:32
0

原标题:重庆银行股份有限公司2023第三季度报告

1. 重要提示

1.1 本行董事会、监事会及董事、监事、高级管理人员保证本季度报告内容的真实、准确、完整,不存在虚假记载、误导性陈述或者重大遗漏,并承担个别和连带的法律责任。

1.2 本行第六届董事会第七十六次会议于2023年10月27日以现场(视频)会议方式召开,会议应参会董事11人,实际参会董事10人,吴珩董事委托林军董事长出席会议并代为行使表决权。会议审议并全票通过了本行2023年第三季度报告。

1.3 本行董事长林军、行长高嵩、分管财务工作的副行长杨世银及财务机构负责人杨昆保证本报告中财务报表的真实、准确、完整。

1.4 本报告中“本行”指重庆银行股份有限公司;“本集团”指重庆银行股份有限公司及其附属公司。

1.5本行2023年第三季度报告未经审计。

2. 主要会计数据

2.1 主要会计数据及财务指标

本季度报告中包含的财务资料按照中国会计准则编制。除另有注明外,为本集团资料,以人民币列示。

注:

(1)净利润除以期初和期末资产总额的平均数。

(2)根据《公开发行证券的公司信息披露编报规则第9号一净资产收益率和每股收益的计算及披露》(2010年修订版)计算。

2.2 非经常性损益项目和金额

注:本集团根据《公开发行证券的公司信息披露解释性公告第 1 号一一非经常性损益》(2008 年修订)的规定计算非经常性损益项目。本集团因正常经营产生的持有交易性金融资产、金融负债产生的公允价值变动损益,以及处置交易性金融资产、其他债权投资及债权投资等取得的投资收益,不作为非经常性损益披露。

2.3 按中国会计准则与按国际财务报告准则编制的财务报表差异说明

本集团按照中国会计准则和按照国际财务报告准则编制的财务报表中,截至2023年9月30日止报告期内归属于本行股东的净利润和报告期末归属于本行股东的权益并无差异。

2.4 资本充足率

下表列出截至所示日期,本集团及本行根据《商业银行资本管理办法(试行)》计算的各级资本充足率情况。

2.5 杠杆率

下表列示截至所示日期,本集团根据《商业银行杠杆率管理办法(修订)》计算的杠杆率情况。

2.6 流动性覆盖率

下表列示截至所示日期,本集团根据《商业银行流动性风险管理办法》计算的流动性覆盖率情况。

2.7主要会计数据、财务指标发生变动的情况及原因

与上年同期或上年末比较,变动幅度超过30%的主要会计数据和财务指标及主要变动原因如下:

3. 股东数量及持股情况

截至报告期末,本行普通股股东总数为51,899户,其中A股股东50,818户,H股登记股东1,081户。截至报告期末,本行前十名普通股股东及前十名无限售条件普通股股东持股情况如下:

注:

(1)香港中央结算(代理人)有限公司持股份数为其代理的香港中央结算(代理人)有限公司交易系统中的本行H股股东账户的股份总数,其中包括本行其他前十名股东委托香港中央结算(代理人)有限公司所持有的本行H股股份。

(2)重庆渝富资本运营集团有限公司直接持有本行A股417,753,817股,通过其子公司重庆渝富(香港)有限公司持有本行H股74,566,000股;其关联方重庆川仪自动化股份有限公司、重庆川仪微电路有限责任公司、重庆四联投资管理有限公司、西南证券股份有限公司、重庆宾馆有限公司、重庆农村商业银行股份有限公司、重庆联合产权交易所集团股份有限公司、杨雨松持有本行A股31,173,547股,合并持有本行股份523,493,364股,占本行总股份的15.07%。

(3)力帆科技(集团)股份有限公司持有本行A股129,564,932股,通过其子公司力帆国际(控股)有限公司持有本行H股165,254,000股,合计持有本行股份294,818,932股,占本行总股本的8.49%。

(4)上海汽车集团股份有限公司通过其子公司上海汽车香港投资有限公司持有本行H股240,463,650股,占本行总股本的6.92%。

(5)富德生命人寿保险股份有限公司直接持有本行H股150,000,000股,通过其子公司富德资源投资控股集团有限公司持有本行H股67,570,150股,合并持有本行H股217,570,150股,占本行总股本的6.26%。

(6)重庆市地产集团有限公司直接持有本行A股174,850,488股,其关联方重庆康居物业发展有限公司、重庆市城市害虫防治研究所有限公司、重庆房综置业有限公司持有本行A股2,259,601股,合并持有本行A股股份177,110,089股,占本行总股份的5.10%。

(7)重庆路桥股份有限公司直接持有本行A股171,339,698股,其关联方重庆国际信托股份有限公司持有本行A股196,102股,合并持有本行A股股份171,535,800股,占本行总股份的4.94%。

(8)截至报告期末,本行股份质押133,334,720股,占本行总股本的3.84%;冻结股份586,339股,占本行总股本的0.02%。

4. 季度经营简要分析

截至2023年9月30日,本集团资产总额7,414.82亿元,较上年末增加567.69亿元,增幅8.29%。

客户存款4,084.86亿元,较上年末增加258.92亿元,增幅6.77%。其中,定期存款3,064.87亿元,活期存款825.07亿元,保证金存款83.43亿元,其他存款34.22亿元,应付利息77.27亿元。

客户贷款及垫款总额3,861.47亿元,较上年末增长335.73亿元,增幅9.52%。其中:公司贷款2,438.52亿元,个人贷款944.55亿元,票据贴现452.86亿元,应收利息25.54亿元。

截至2023年9月30日止九个月,本集团实现净利润44.99亿元,较上年同期增加0.62亿元,增幅1.40%。实现营业收入102.48亿元,较上年同期下降4.10亿元,降幅3.84%。业务及管理费为26.05亿元,较上年同期增加1.80亿元,增幅7.43%。成本收入比25.42%,较上年同期上升2.66个百分点。

截至2023年9月30日,本集团不良贷款余额51.06亿元,较上年末增加2.71亿元;不良贷款率1.33%,较上年末下降0.05个百分点;拨备覆盖率225.38%,较上年末上升14.19个百分点。

按照《商业银行资本管理办法(试行)》,本集团于本报告期末的核心一级资本充足率为9.40%,一级资本充足率为10.29%,资本充足率为12.48%,满足中国银行业最新的资本充足率监管要求。

5. 发布季度报告

本季度报告同时刊载于上海证券交易所网站(www.sse.com.cn)及本行官方网站(www.cqcbank.com)。根据国际财务报告准则编制的季度报告同时登载于香港联合交易所有限公司“披露易”网站(www.hkexnews.hk)及本行官方网站(www.cqcbank.com)。

董事会

2023年10月27日

附录 根据中国会计准则编制的财务报表

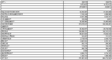
合并资产负债表

2023年9月30日

(除另有注明外,所有金额均以人民币千元列示)

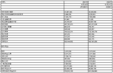
合并资产负债表(续)

2023年9月30日

(除另有注明外,所有金额均以人民币千元列示)

董事长:林军 行长:高嵩 副行长:杨世银 财务部总经理:杨昆

银行资产负债表

2023年9月30日

(除另有注明外,所有金额均以人民币千元列示)

银行资产负债表(续)

2023年9月30日

(除另有注明外,所有金额均以人民币千元列示)

董事长:林军 行长:高嵩 副行长:杨世银 财务部总经理:杨昆

合并利润表

2023年1月1日至9月30日期间

(除另有注明外,所有金额均以人民币千元列示)

合并利润表(续)

2023年1月1日至9月30日期间

(除另有注明外,所有金额均以人民币千元列示)

合并利润表(续)

2023年1月1日至9月30日期间

(除另有注明外,所有金额均以人民币千元列示)

董事长:林军 行长:高嵩 副行长:杨世银 财务部总经理:杨昆

银行利润表

2023年1月1日至9月30日期间

(除另有注明外,所有金额均以人民币千元列示)

银行利润表(续)

2023年1月1日至9月30日期间

(除另有注明外,所有金额均以人民币千元列示)

董事长:林军 行长:高嵩 副行长:杨世银 财务部总经理:杨昆

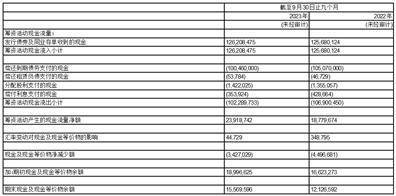
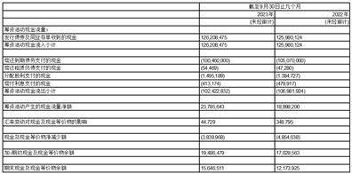
合并现金流量表

2023年1月1日至9月30日期间

(除另有注明外,所有金额均以人民币千元列示)

合并现金流量表(续)

2023年1月1日至9月30日期间

(除另有注明外,所有金额均以人民币千元列示)

合并现金流量表(续)

2023年1月1日至9月30日期间

(除另有注明外,所有金额均以人民币千元列示)

董事长:林军 行长:高嵩 副行长:杨世银 财务部总经理:杨昆

银行现金流量表

2023年1月1日至9月30日期间

(除另有注明外,所有金额均以人民币千元列示)

银行现金流量表(续)

2023年1月1日至9月30日期间

(除另有注明外,所有金额均以人民币千元列示)

银行现金流量表(续)

2023年1月1日至9月30日期间

(除另有注明外,所有金额均以人民币千元列示)

董事长:林军 行长:高嵩 副行长:杨世银 财务部总经理:杨昆

重庆银行股份有限公司

本行董事会及全体董事保证本公告内容不存在任何虚假记载、误导性陈述或者重大遗漏,并对其内容的真实性、准确性和完整性承担法律责任。

重庆银行股份有限公司(以下简称“本行”)于2023年10月13日发出第六届董事会第七十六次会议通知,会议于10月27日以现场(视频)会议方式召开。会议由林军董事长主持,应参会董事11名,实际亲自参会董事10名,吴珩董事委托林军董事长出席会议并代为行使表决权,本行监事、高级管理人员列席了会议。会议的召开符合法律法规及《重庆银行股份有限公司章程》的有关规定。

会议审议通过了以下议案:

一、关于《重庆银行股份有限公司2023年第三季度报告》的议案

议案表决情况:有效表决票11票,同意11票,反对0票,弃权0票。

有关情况详见本行于同日在上海证券交易所网站(www.sse.com.cn)、香港联合交易所有限公司网站(www.hkexnews.hk)和本行网站(www.cqcbank.com)发布的《2023年第三季度报告》。

二、关于修改理财子公司筹建相关事项的议案

议案表决情况:有效表决票11票,同意11票,反对0票,弃权0票。

三、关于科技创新中心选址的议案

议案表决情况:有效表决票11票,同意11票,反对0票,弃权0票。

特此公告。

重庆银行股份有限公司董事会

2023年10月27日

证券代码:601963 证券简称:重庆银行 公告编号:2023-056

可转债代码:113056 可转债简称:重银转债

重庆银行股份有限公司

第六届监事会第三十三次会议决议公告

本行监事会及全体监事保证本公告内容不存在任何虚假记载、误导性陈述或者重大遗漏,并对其内容的真实性、准确性和完整性承担法律责任。

重庆银行股份有限公司(以下简称“本行”)于2023年10月17日发出第六届监事会第三十三次会议通知,会议于10月27日以现场会议方式在本行总行27楼三会议室召开。会议由监事会会议临时召集人陈重先生主持,应参会监事7名,实际参会监事7名。会议的召开符合法律法规及《重庆银行股份有限公司章程》的有关规定。

会议审议通过了以下议案:

一、关于《重庆银行股份有限公司2023年第三季度报告》的议案

议案表决情况:有效表决票7票,同意7票,反对0票,弃权0票。

监事会认为,《重庆银行股份有限公司2023年第三季度报告》的编制和审核程序符合有关法律、行政法规和监管规定,报告内容真实、准确、完整地反映了本行实际情况。

二、关于重庆银行股份有限公司原副行长黄宁经济责任审计报告的议案

议案表决情况:有效表决票7票,同意7票,反对0票,弃权0票。

三、关于对本行网点建设项目管理情况专项检查报告的议案

议案表决情况:有效表决票7票,同意7票,反对0票,弃权0票。

四、关于对本行表外业务专项检查报告的议案

议案表决情况:有效表决票7票,同意7票,反对0票,弃权0票。

特此公告。

重庆银行股份有限公司监事会

2023年10月27日

本版导读

  • 2023-10-28

相关内容

热门资讯

全球资产,集体上涨!发生了什么... 转自:证券时报网 全球资产上涨。 2月18日,黄金、白银盘中拉升,截至发稿,伦敦金现再度站上4900...
“AI抢饭碗”叙事反转? IB... 财联社2月14日讯(编辑 史正丞)与美国科技行业当前主流的“AI会抢初级员工饭碗”叙事不同,老牌科技...
2026物价展望:CPI有望温... 2025年,物价运行呈现低位温和回升态势,消费领域价格总体平稳,核心CPI涨幅扩大,生产领域价格低位...
1月末社会融资规模存量同比增长... 央广网北京2月14日消息(记者唐婧)据中央广播电视总台经济之声《天下财经》报道,2026年1月末,社...
美国2025年商业投资强劲收官... 智通财经APP注意到,美国12月商业设备订单增幅超过预期,表明随着贸易政策不确定性逐渐消退,去年年底...
原创 中... 2026年作为“十五五”开局之年,中央密集释放楼市重磅信号,从中央经济工作会议到住建部专项部署,每一...
今夜,见证历史!全球大涨,利好... 全球市场大反攻。 今晚,欧洲股市全线大涨,多个股指刷新历史新高;美股三大指数期货集体走强,大型科技股...
金丰来:金价短期陷入高位回调 来源:市场资讯 2月18日,周二交易时段,受短线投机资金平仓及外部市场多重利空的影响,黄金与白银市场...
人体中的“马”踪:一份献给马年... 河南省人民医院神经内科 冯周琴 马年将至,新春启序。当我们喜迎丙午马年,不妨跳出生肖民俗的视角,走进...
原创 万... 本文内容均引用权威资料结合个人观点进行撰写,文末已标注文献来源,请知悉。 2月4日,美国副总统万斯...
常德市的历史文化及名人有哪些 常德市位于湖南北部,其悠悠历史长河中沉淀了丰富的文化瑰宝,也孕育出了众多杰出人物。探寻常德的历史文化...
发力AI社交 腾讯元宝日活跃用... 腾讯18日宣布,旗下战略级AI原生产品元宝的日活跃用户(DAU)超5000万,月活跃用户(MAU)已...
原创 眼... 前言 大家好,我是听澜。 2026年2月13日,世贸组织总干事伊维拉当着全球政治人士的面,竟然公开...
欧洲股市,集体上涨!黄金、白银... 当地时间2月18日,欧洲股市迎来普涨行情。英国富时100指数盘中创出历史新高,法国CAC40指数、德...
马斯克突发!特斯拉或将被合并! 最近,全球科技圈爆出大消息:马斯克旗下核心公司特斯拉,传闻将被整合,与他已完成合并的SpaceX和x...
马年投资锦囊|著名经济学家韩志... 深圳商报·读创客户端记者 钟国斌 著名经济学家韩志国在马年初一接受深圳商报·读创客户端记者专访时发表...
原创 光... 光当世界的钱袋子还不够,人民币要想取代美元,中国还得学会当全世界的债主。 时至今日,很多人一谈起人民...
AI科普 | “千问帮我点”—... 大年初一,阿里千问交出了一份“春节AI购物成绩单”:截至除夕当天的春节活动,全国超过1.3亿人第一次...
日本农林中金银行季赚9517万... 据路透社报道,日本农林中金银行2025年第三季度(10月至12月)实现净利润146亿日元(约合951...
原创 U... 2月18日,彭博社报道称,网约车巨头Uber计划在美国投资超过1亿美元,用于建设专为Robotaxi...