福建天马科技集团股份有限公司2023第三季度报告
证券时报
2023-10-28 08:20:07
0

原标题:福建天马科技集团股份有限公司2023第三季度报告

本公司董事会及全体董事保证本公告内容不存在任何虚假记载、误导性陈述或者重大遗漏,并对其内容的真实性、准确性和完整性承担法律责任。

重要内容提示:

公司董事会、监事会及董事、监事、高级管理人员保证季度报告内容的真实、准确、完整,不存在虚假记载、误导性陈述或重大遗漏,并承担个别和连带的法律责任。

公司负责人、主管会计工作负责人及会计机构负责人(会计主管人员)保证季度报告中财务信息的真实、准确、完整。

第三季度财务报表是否经审计

□是 √否

一、 主要财务数据

(一)主要会计数据和财务指标

单位:元 币种:人民币

注:“本报告期”指本季度初至本季度末3个月期间,下同。

(二)非经常性损益项目和金额

单位:元 币种:人民币

备注:2023年7月14日,福建天马科技集团股份有限公司(以下简称“公司”或“天马科技”)召开第四届董事会第二十一次会议,审议通过《关于终止2022年员工持股计划的议案》,同意终止2022年员工持股计划。公司2022年员工持股计划所持有的6,887,763股公司股票已于2023年7月26日全部出售完毕。截至报告期末,公司已完成相关资产清算和分配等工作。

将《公开发行证券的公司信息披露解释性公告第1号一一非经常性损益》中列举的非经常性损益项目界定为经常性损益项目的情况说明

□适用 √不适用

(三)主要会计数据、财务指标发生变动的情况、原因

√适用 □不适用

二、 股东信息

(一)普通股股东总数和表决权恢复的优先股股东数量及前十名股东持股情况表

单位:股

三、 其他提醒事项

需提醒投资者关注的关于公司报告期经营情况的其他重要信息

√适用 □不适用

(一)关于控股股东、实际控制人、部分董监高及核心管理人员增持公司股份进展

基于对公司战略发展的坚定信心及对公司长期投资价值和未来发展前景的充分认可,公司控股股东、实际控制人、部分董监高及核心管理人员拟于2023年2月1日起6个月内,通过上海证券交易所集中竞价交易系统以自有资金或自筹资金增持公司股份。其中公司控股股东、实际控制人陈庆堂先生计划增持金额为不低于人民币5,000万元且不超过人民币10,000万元,其他增持主体拟增持股份的数量合计105万股。

截至2023年7月31日,公司控股股东、实际控制人陈庆堂先生及其100%持有的基金产品秋晟天马1号私募证券投资基金已通过上海证券交易所集中竞价交易系统累计增持公司股份3,288,736股,占公司目前总股本的0.75%,增持金额为人民币50,898,868.47元,超过增持计划金额下限;其他增持主体合计增持公司股份1,050,000股,占公司目前总股本的0.24%。本次增持计划已实施完毕。

(二)2023年员工持股计划进展

公司于2023年7月14日召开第四届董事会第二十一次会议,并于2023年8月2日召开2023年第一次临时股东大会,审议通过了《关于〈公司2023年员工持股计划(草案)〉及其摘要的议案》等相关议案,同意公司实施2023年员工持股计划,并授权公司董事会办理本次员工持股计划的相关事宜。截至报告期末,公司2023年员工持股计划的相关资金信托合同已签署完毕,公司2023年员工持股计划尚未开始通过二级市场购买(包括大宗交易、集中竞价交易、协议转让、融资融券等方式)等法律法规许可的方式取得并持有公司股票。

(三)以简易程序向特定对象发行A股股票进展

公司于2023年4月27日召开第四届董事会第十七次会议和第四届监事会第十三次会议,并于2023年5月26日召开2022年年度股东大会,审议通过了《关于提请股东大会授权董事会办理以简易程序向特定对象发行股票的议案》,同意授权公司董事会办理以简易程序向特定对象发行融资总额不超过人民币3亿元且不超过最近一年末净资产20%的股票事宜。

公司于2023年7月14日召开第四届董事会第二十一次会议和第四届监事会第十五次会议,审议通过了《关于公司2023年度以简易程序向特定对象发行A股股票预案的议案》等相关议案。公司于2023年8月21日召开第四届董事会第二十二次会议和第四届监事会第十六次会议,审议通过了《关于更新公司2023年度以简易程序向特定对象发行A股股票预案的议案》等相关议案,对本次以简易程序向特定对象发行A股股票预案进行了修订。公司于2023年9月7日召开第四届董事会第二十四次会议和第四届监事会第十八次会议,审议通过了《关于公司前次募集资金使用情况报告的议案》等相关议案,对前次募集资金使用情况和最近三年又一期非经常性损益明细表进行了审议。截至本报告披露日,本次以简易程序向特定对象发行A股股票事项尚待上海证券交易所审核通过,并经中国证监会同意注册后方可实施。

四、 季度财务报表

(一)审计意见类型

□适用 √不适用

(二)财务报表

合并资产负债表

2023年9月30日

编制单位:福建天马科技集团股份有限公司

单位:元 币种:人民币 审计类型:未经审计

公司负责人:陈庆堂 主管会计工作负责人:邓晓慧 会计机构负责人:宋荣

合并利润表

2023年1一9月

编制单位:福建天马科技集团股份有限公司

单位:元 币种:人民币 审计类型:未经审计

本期发生同一控制下企业合并的,被合并方在合并前实现的净利润为:0元,上期被合并方实现的净利润为:0元。

公司负责人:陈庆堂 主管会计工作负责人:邓晓慧 会计机构负责人:宋荣

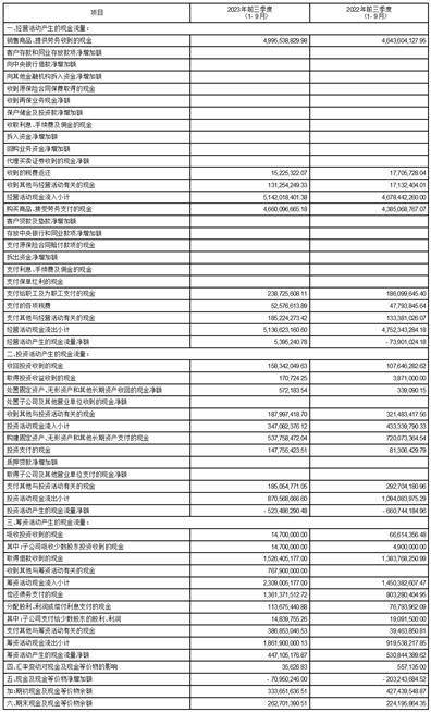
合并现金流量表

2023年1一9月

编制单位:福建天马科技集团股份有限公司

单位:元 币种:人民币 审计类型:未经审计

公司负责人:陈庆堂 主管会计工作负责人:邓晓慧 会计机构负责人:宋荣

2023年起首次执行新会计准则或准则解释等涉及调整首次执行当年年初的财务报表

□适用 √不适用

特此公告。

董事会

2023年10月27日

证券代码:603668 证券简称:天马科技 公告编号:2023-093

福建天马科技集团股份有限公司

本公司董事会及全体董事保证本公告内容不存在任何虚假记载、误导性陈述或者重大遗漏,并对其内容的真实性、准确性和完整性承担法律责任。

福建天马科技集团股份有限公司(以下简称“公司”)第四届董事会第二十七次会议于2023年10月27日上午以通讯表决方式召开,会议通知已按规定提前以书面及电子邮件方式送达。本次会议由董事长陈庆堂先生召集和主持,应出席董事9人,实际出席董事9人,各董事均以通讯表决方式出席会议。本次会议的召集、召开符合《中华人民共和国公司法》和《公司章程》的有关规定。会议形成如下决议:

一、审议通过《公司2023年第三季度报告》。

表决结果:同意9票;反对0票;弃权0票。

具体内容详见公司刊登于2023年10月28日《中国证券报》、《上海证券报》、《证券时报》、《证券日报》和上海证券交易所网站(www.sse.com.cn)的《福建天马科技集团股份有限公司2023年第三季度报告》。

二、审议通过《关于以债转股方式向全资子公司增资的议案》。

同意公司以债转股方式对全资子公司厦门金屿进出口有限公司(以下简称“厦门金屿”)增资人民币13,000万元。本次增资完成后,厦门金屿的注册资本将由目前的人民币7,000万元增加至人民币20,000万元,厦门金屿仍为公司的全资子公司。

表决结果:同意9票;反对0票;弃权0票。

具体内容详见公司同日披露在《中国证券报》、《上海证券报》、《证券时报》、《证券日报》和上海证券交易所网站(www.sse.com.cn)的《福建天马科技集团股份有限公司关于以债转股方式向全资子公司增资的公告》。

特此公告!

福建天马科技集团股份有限公司

董 事 会

二〇二三年十月二十八日

证券代码:603668 证券简称:天马科技 公告编号:2023-094

福建天马科技集团股份有限公司

第四届监事会第十九次会议决议公告

本公司监事会及全体监事保证本公告内容不存在任何虚假记载、误导性陈述或者重大遗漏,并对其内容的真实性、准确性和完整性承担法律责任。

福建天马科技集团股份有限公司(以下简称“公司”)第四届监事会第十九次会议于2023年10月27日上午以通讯表决方式召开,会议通知已按规定提前以书面及电子邮件方式送达。本次会议由监事会主席何修明先生主持。本次会议应出席监事3人,实际出席会议监事3人,各监事均以通讯表决方式出席会议。本次会议的召集、召开符合《中华人民共和国公司法》和《公司章程》的有关规定。会议形成如下决议:

一、审议通过《公司2023年第三季度报告》。

监事会对公司2023年第三季度报告进行了认真审核,并提出如下审核意见:公司2023年第三季度报告的编制和审议程序符合法律、法规、《公司章程》及公司内部管理制度的各项规定;公司2023年第三季度报告的内容和格式符合中国证券监督管理委员会和上海证券交易所的各项规定,报告内容真实、准确、完整地反映了上市公司的实际情况,所包含的信息能从各方面真实地反映出公司2023年第三季度的经营管理和财务状况等事项,不存在任何虚假记载、误导性陈述或者重大遗漏;在提出本意见前,未发现参与2023年第三季度报告编制和审议的人员有违反保密规定的行为。

表决结果:同意3票;反对0票;弃权0票。

具体内容详见公司刊登于2023年10月28日《中国证券报》、《上海证券报》、《证券时报》、《证券日报》和上海证券交易所网站(www.sse.com.cn)的《福建天马科技集团股份有限公司2023年第三季度报告》。

特此公告!

福建天马科技集团股份有限公司

监 事 会

二〇二三年十月二十八日

证券代码:603668 证券简称:天马科技 公告编号:2023-095

福建天马科技集团股份有限公司

关于2023年前三季度

计提资产减值准备的公告

本公司董事会及全体董事保证本公告内容不存在任何虚假记载、误导性陈述或者重大遗漏,并对其内容的真实性、准确性和完整性承担法律责任。

一、本次计提资产减值准备情况概述

根据《企业会计准则》及福建天马科技集团股份有限公司(以下简称“公司”)相关会计政策的规定,为客观、公允地反映公司的财务状况及经营成果,公司及下属子公司对截至2023年9月30日的各项需要计提减值的资产进行了预期信用损失评估和减值测试。2023年前三季度公司及下属子公司计提各项资产减值准备合计2,064.57万元。

二、本次计提减值准备的具体情况说明

(一)计提减值准备的方法、依据和标准

根据《企业会计准则第1号一存货》:按照资产负债表日成本与可变现净值孰低计量,当其可变现净值低于成本时,计提存货跌价准备,计入当期损益。

根据《企业会计准则第8号一资产减值》:资产存在减值迹象的,应当估计其可收回金额。可收回金额应当根据资产的公允价值减去处置费用后的净额与资产预计未来现金流量的现值两者之间较高者确定。可收回金额的计量结果表明,资产的可收回金额低于其账面价值的,应当将资产的账面价值减记至可收回金额,减记的金额确认为资产减值损失,计入当期损益,同时计提相应的资产减值准备。

根据《企业会计准则第22号一金融工具确认和计量》:公司考虑合理且有依据的信息,包括前瞻性信息,以单项或组合的方式对应收账款、其他应收款及长期应收款等的预期信用损失进行测试及确认损失准备。对于存在客观证据表明存在减值,以及其他适用于单项评估的应收票据、应收账款、其他应收款、应收款项融资等单独进行减值测试,确认预期信用损失,计提单项减值准备。对于不存在减值客观证据的应收票据、应收账款、其他应收款、应收款项融资或当单项金融资产无法以合理成本评估预期信用损失的信息时,公司依据信用风险特征将应收票据、应收账款、其他应收款、应收款项融资等划分为若干组合,在组合基础上计算预期信用损失。

(二)计提减值准备的具体情况

2023年1~9月,公司及下属子公司计提信用减值损失2,080.57万元,其中计提应收账款减值准备2,607.78万元,计提其他应收款减值准备-527.21万元;计提资产减值损失-16.00万元,其中计提存货跌价准备-16.00万元。公司及下属子公司累计计提各项资产减值准备金额为2,064.57万元。

三、本次计提资产减值准备对公司的影响

本次计提各项资产减值准备合计2,064.57万元,本期累计因计提信用减值损失及资产减值损失导致2023年前三季度公司合并报表利润总额相应减少2,064.57万元。本次计提资产减值损失和信用减值损失数据未经审计,最终以会计师事务所年度审计确认的金额为准。

公司本次按照《企业会计准则》和公司会计政策相关规定进行资产减值计提,体现了会计谨慎性原则。本次计提减值准备后,公司财务报表能够更加公允地反映公司财务状况和经营成果,有助于向投资者提供更加真实、可靠、准确的会计信息,不存在损害公司及全体股东尤其是中小股东利益的情形。

特此公告。

福建天马科技集团股份有限公司

董 事 会

二〇二三年十月二十八日

证券代码:603668 证券简称:天马科技 公告编号:2023-096

福建天马科技集团股份有限公司

关于以债转股方式向全资子公司增资的公告

本公司董事会及全体董事保证本公告内容不存在任何虚假记载、误导性陈述或者重大遗漏,并对其内容的真实性、准确性和完整性承担法律责任。

重要内容提示:

● 增资标的名称:厦门金屿进出口有限公司(以下简称“厦门金屿”)。

● 增资金额:以债转股方式向厦门金屿增加注册资本人民币13,000万元。

● 本次增资事项不构成关联交易,亦不构成《上市公司重大资产重组管理办法》规定的重大资产重组。

● 本次增资的登记变更事项尚需工商管理部门的批准。

一、本次增资事项概述

(一)本次增资的基本情况

根据福建天马科技集团股份有限公司(以下简称“公司”)发展战略以及业务发展的需要,为提高全资子公司厦门金屿的资金实力和综合竞争力,优化其资产负债结构,公司拟以债转股方式对厦门金屿增资人民币13,000万元。本次增资完成后,厦门金屿的注册资本将由目前的人民币7,000万元增加至人民币20,000万元,厦门金屿仍为公司的全资子公司。

(二)董事会审议情况

公司于2023年10月27日召开第四届董事会第二十七次会议,会议以9票同意、0票反对、0票弃权的表决结果审议通过了《关于以债转股方式向全资子公司增资的议案》,同意公司以债转股方式对厦门金屿增资人民币13,000万元。根据《上海证券交易所股票上市规则》和《公司章程》等相关规定,本次增资事项在公司董事会的审批权限范围内,无需提交公司股东大会审议。

(三)本次增资事项不构成关联交易,亦不构成《上市公司重大资产重组管理办法》规定的重大资产重组。

二、增资标的基本情况

(一)基本信息

1、公司名称:厦门金屿进出口有限公司

2、企业类型:有限责任公司(非自然人投资或控股的法人独资)

3、注册资本:人民币7,000万元

4、成立时间:2008年10月27日

5、统一社会信用代码:91350200678269038B

6、法定代表人:雷朝华

7、注册地址:厦门市思明区水仙路33号第11层B单元

8、经营范围:一般项目:货物进出口;技术进出口;进出口代理;食品进出口;销售代理;采购代理服务;国内贸易代理;贸易经纪与代理(不含拍卖);贸易经纪;饲料原料销售;畜牧渔业饲料销售;饲料添加剂销售;食品销售(仅销售预包装食品);水产品收购;水产品批发;水产品零售。(除依法须经批准的项目外,凭营业执照依法自主开展经营活动)

(二)股权结构

公司持有厦门金屿100%股权,厦门金屿为公司全资子公司。

(三)最近一年及一期的主要财务指标

单位:人民币万元

三、本次增资方案

本次增资系公司以债转股的方式进行,即公司将其对厦门金屿的人民币13,000万元债权对厦门金屿进行增资,相关债权不存在抵押、质押或者其他第三人权利,亦不存在涉及有关债权的重大争议、诉讼或仲裁事项、查封或者冻结等司法措施。本次增资完成后,厦门金屿的注册资本将由目前的人民币7,000万元增加至人民币20,000万元,厦门金屿仍为公司的全资子公司。

四、本次增资的目的及对公司的影响

本次公司以债转股方式对全资子公司进行增资,契合公司全产业链业务布局的战略需要,有利于优化其资产负债结构,有助于提升其资金实力和综合竞争能力,符合公司发展战略规划和长远利益。本次增资完成后,厦门金屿仍为公司的全资子公司,不会导致公司合并报表范围发生变化,不会对公司财务状况和未来经营成果产生不利影响,不存在损害公司及全体股东利益的情况。

五、本次增资的风险分析

公司本次增资的登记变更事项尚需工商管理部门的批准,公司将严格按照相关法律、法规及规范性文件的要求,根据事项后续进展情况履行相应的信息披露义务。

特此公告。

福建天马科技集团股份有限公司

董 事 会

二〇二三年十月二十八日

证券代码:603668 证券简称:天马科技 公告编号:2023-097

福建天马科技集团股份有限公司

关于召开2023年

第三季度业绩说明会的公告

本公司董事会及全体董事保证本公告内容不存在任何虚假记载、误导性陈述或者重大遗漏,并对其内容的真实性、准确性和完整性承担法律责任。

重要内容提示:

●会议召开时间:2023年11月15日(星期三)下午15:00-16:00

●会议召开地点:上海证券交易所上证路演中心(网址:http://roadshow.sseinfo.com/)

●会议召开方式:上证路演中心网络互动

●投资者可于2023年11月8日(星期三)至11月14日(星期二)16:00前登录上证路演中心网站首页点击“提问预征集”栏目或通过公司邮箱ljj@jolma.cn进行提问。公司将在说明会上对投资者普遍关注的问题进行回答。

福建天马科技集团股份有限公司(以下简称“公司”)已于2023年10月28日发布《公司2023年第三季度报告》,为便于广大投资者更全面深入地了解公司2023年第三季度经营成果、财务状况,公司计划于2023年11月15日下午15:00-16:00举行2023年第三季度业绩说明会,就投资者关心的问题进行交流。

一、说明会类型

本次投资者说明会以网络互动形式召开,公司将针对2023年第三季度的经营成果及财务指标的具体情况与投资者进行互动交流和沟通,在信息披露允许的范围内就投资者普遍关注的问题进行回答。

二、说明会召开的时间、地点

(一)会议召开时间:2023年11月15日(星期三)下午15:00-16:00

(二)会议召开地点:上证路演中心

(三)会议召开方式:上证路演中心网络互动

三、参加人员

公司董事长、总裁:陈庆堂先生;

独立董事:潘琰女士;

董事会秘书:戴文增先生;

财务总监:邓晓慧女士。

四、投资者参加方式

(一)投资者可在2023年11月15日(星期三)下午15:00-16:00,通过互联网登录上证路演中心(http://roadshow.sseinfo.com/),在线参与本次业绩说明会,公司将及时回答投资者的提问。

(二)投资者可于2023年11月8日(星期三)至11月14日(星期二)16:00前登录上证路演中心网站首页,点击“提问预征集”栏目(http://roadshow.sseinfo.com/questionCollection.do),根据活动时间,选中本次活动或通过公司邮箱ljj@jolma.cn向公司提问,公司将在说明会上对投资者普遍关注的问题进行回答。

五、联系人及咨询办法

联系人:戴文增 李佳君

电话:0591-85628333

邮箱:ljj@jolma.cn

六、其他事项

本次投资者说明会召开后,投资者可以通过上证路演中心(http://roadshow.sseinfo.com/)查看本次投资者说明会的召开情况及主要内容。

特此公告。

福建天马科技集团股份有限公司

董 事 会

二〇二三年十月二十八日

本版导读

  • 福建天马科技集团股份有限公司2023第三季度报告 2023-10-28

相关内容

热门资讯

全球资产,集体上涨!发生了什么... 转自:证券时报网 全球资产上涨。 2月18日,黄金、白银盘中拉升,截至发稿,伦敦金现再度站上4900...
“AI抢饭碗”叙事反转? IB... 财联社2月14日讯(编辑 史正丞)与美国科技行业当前主流的“AI会抢初级员工饭碗”叙事不同,老牌科技...
2026物价展望:CPI有望温... 2025年,物价运行呈现低位温和回升态势,消费领域价格总体平稳,核心CPI涨幅扩大,生产领域价格低位...
1月末社会融资规模存量同比增长... 央广网北京2月14日消息(记者唐婧)据中央广播电视总台经济之声《天下财经》报道,2026年1月末,社...
美国2025年商业投资强劲收官... 智通财经APP注意到,美国12月商业设备订单增幅超过预期,表明随着贸易政策不确定性逐渐消退,去年年底...
原创 中... 2026年作为“十五五”开局之年,中央密集释放楼市重磅信号,从中央经济工作会议到住建部专项部署,每一...
今夜,见证历史!全球大涨,利好... 全球市场大反攻。 今晚,欧洲股市全线大涨,多个股指刷新历史新高;美股三大指数期货集体走强,大型科技股...
金丰来:金价短期陷入高位回调 来源:市场资讯 2月18日,周二交易时段,受短线投机资金平仓及外部市场多重利空的影响,黄金与白银市场...
人体中的“马”踪:一份献给马年... 河南省人民医院神经内科 冯周琴 马年将至,新春启序。当我们喜迎丙午马年,不妨跳出生肖民俗的视角,走进...
原创 万... 本文内容均引用权威资料结合个人观点进行撰写,文末已标注文献来源,请知悉。 2月4日,美国副总统万斯...
常德市的历史文化及名人有哪些 常德市位于湖南北部,其悠悠历史长河中沉淀了丰富的文化瑰宝,也孕育出了众多杰出人物。探寻常德的历史文化...
发力AI社交 腾讯元宝日活跃用... 腾讯18日宣布,旗下战略级AI原生产品元宝的日活跃用户(DAU)超5000万,月活跃用户(MAU)已...
原创 眼... 前言 大家好,我是听澜。 2026年2月13日,世贸组织总干事伊维拉当着全球政治人士的面,竟然公开...
欧洲股市,集体上涨!黄金、白银... 当地时间2月18日,欧洲股市迎来普涨行情。英国富时100指数盘中创出历史新高,法国CAC40指数、德...
马斯克突发!特斯拉或将被合并! 最近,全球科技圈爆出大消息:马斯克旗下核心公司特斯拉,传闻将被整合,与他已完成合并的SpaceX和x...
马年投资锦囊|著名经济学家韩志... 深圳商报·读创客户端记者 钟国斌 著名经济学家韩志国在马年初一接受深圳商报·读创客户端记者专访时发表...
原创 光... 光当世界的钱袋子还不够,人民币要想取代美元,中国还得学会当全世界的债主。 时至今日,很多人一谈起人民...
AI科普 | “千问帮我点”—... 大年初一,阿里千问交出了一份“春节AI购物成绩单”:截至除夕当天的春节活动,全国超过1.3亿人第一次...
日本农林中金银行季赚9517万... 据路透社报道,日本农林中金银行2025年第三季度(10月至12月)实现净利润146亿日元(约合951...
原创 U... 2月18日,彭博社报道称,网约车巨头Uber计划在美国投资超过1亿美元,用于建设专为Robotaxi...