福建傲农生物科技集团股份有限公司2023第三季度报告
证券时报
2023-10-28 07:30:07
0

原标题:福建傲农生物科技集团股份有限公司2023第三季度报告

本公司董事会及全体董事保证本公告内容不存在任何虚假记载、误导性陈述或者重大遗漏,并对其内容的真实性、准确性和完整性承担法律责任。

重要内容提示:

公司董事会、监事会及董事、监事、高级管理人员保证季度报告内容的真实、准确、完整,不存在虚假记载、误导性陈述或重大遗漏,并承担个别和连带的法律责任。

公司负责人、主管会计工作负责人及会计机构负责人(会计主管人员)保证季度报告中财务信息的真实、准确、完整。

第三季度财务报表是否经审计

□是 √否

一、 主要财务数据

(一)主要会计数据和财务指标

单位:元 币种:人民币

注:“本报告期”指本季度初至本季度末3个月期间,下同。

(二)非经常性损益项目和金额

单位:元 币种:人民币

将《公开发行证券的公司信息披露解释性公告第1号一一非经常性损益》中列举的非经常性损益项目界定为经常性损益项目的情况说明

□适用 √不适用

(三)主要会计数据、财务指标发生变动的情况、原因

√适用 □不适用

二、 股东信息

(一)普通股股东总数和表决权恢复的优先股股东数量及前十名股东持股情况表

单位:股

三、 其他提醒事项

需提醒投资者关注的关于公司报告期经营情况的其他重要信息

√适用 □不适用

(一)报告期内公司经营情况说明

2023年1-9月,公司实现营业收入1,517,665.58万元、同比减少1.47%,实现归属于上市公司股东的净利润-128,988.79万元。报告期内公司饲料板块和食品板块保持稳健经营,公司业绩亏损主要是养殖板块导致;2023年1-9月,公司饲料业务毛利率6.22%,较2022年度饲料业务毛利率提升了1.58个百分点。报告期内公司业绩亏损主要原因是:本报告期生猪价格总体处于低位,公司生猪出栏量对比去年同期增加,导致生猪养殖业务亏损;报告期内,公司优化低效养殖单位,猪场关停导致猪只淘汰、租金折旧等损失约3.8亿元。

基于目前行业周期、公司资源和发展阶段,公司今年对发展规划和经营策略进行了调整:从“上量”全面转向“提质”,在现有规模上暂缓扩张,重点提升经营效率和质量。生猪养殖暂时不再新扩产能,适当优化存栏规模,饲料重点进行产能结构优化和对养殖配套,适当拓展屠宰食品配套以完善产业链、提升抗周期能力。

由于公司生猪养殖业务规模已经具备一定体量,生猪养殖业务的业绩情况对公司整体经营业绩的影响比较大,生猪养殖行业周期性波动明显,商品猪市场价格的大幅波动(下降或上升)都可能会对公司的经营业绩产生重大影响。请投资者注意投资风险。

(二)关于公司2022年度向特定对象发行股票相关进展

中国证监会于2023年2月发布全面实行股票发行注册制相关制度规则,公司向特定对象发行股票申请于2023年3月获得上海证券交易所受理,公司本次发行拟募集资金不超过14.26亿元用于饲料与食品屠宰项目建设及补充流动资金。截至报告期末,本次向特定对象发行股票申请尚处于交易所审核过程中。

公司本次向特定对象发行股票事项尚需获得上海证券交易所审核通过并经中国证监会同意注册后方可实施,本次发行能否获得上述批准或注册,以及获得相关批准或注册的时间均存在不确定性,公司将根据该事项的进展情况及时履行信息披露义务,敬请广大投资者注意投资风险。

四、 季度财务报表

(一)审计意见类型

□适用 √不适用

(二)财务报表

合并资产负债表

2023年9月30日

编制单位:福建傲农生物科技集团股份有限公司

单位:元 币种:人民币 审计类型:未经审计

公司负责人:吴有林 主管会计工作负责人:黄泽森 会计机构负责人:杨剑平

合并利润表

2023年1一9月

编制单位:福建傲农生物科技集团股份有限公司

单位:元 币种:人民币 审计类型:未经审计

本期发生同一控制下企业合并的,被合并方在合并前实现的净利润为:0.00元, 上期被合并方实现的净利润为: 0.00 元。

公司负责人:吴有林 主管会计工作负责人:黄泽森 会计机构负责人:杨剑平

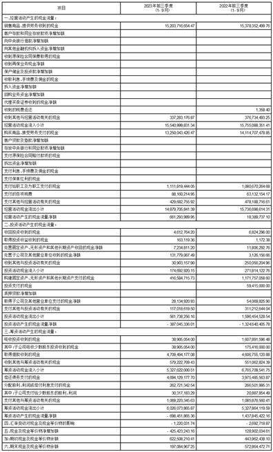
合并现金流量表

2023年1一9月

编制单位:福建傲农生物科技集团股份有限公司

单位:元 币种:人民币 审计类型:未经审计

公司负责人:吴有林 主管会计工作负责人:黄泽森 会计机构负责人:杨剑平

母公司资产负债表

2023年9月30日

编制单位:福建傲农生物科技集团股份有限公司

单位:元 币种:人民币 审计类型:未经审计

公司负责人:吴有林 主管会计工作负责人:黄泽森 会计机构负责人:杨剑平

母公司利润表

2023年1一9月

编制单位:福建傲农生物科技集团股份有限公司

单位:元 币种:人民币 审计类型:未经审计

公司负责人:吴有林 主管会计工作负责人:黄泽森 会计机构负责人:杨剑平

母公司现金流量表

2023年1一9月

编制单位:福建傲农生物科技集团股份有限公司

单位:元 币种:人民币 审计类型:未经审计

公司负责人:吴有林 主管会计工作负责人:黄泽森 会计机构负责人:杨剑平

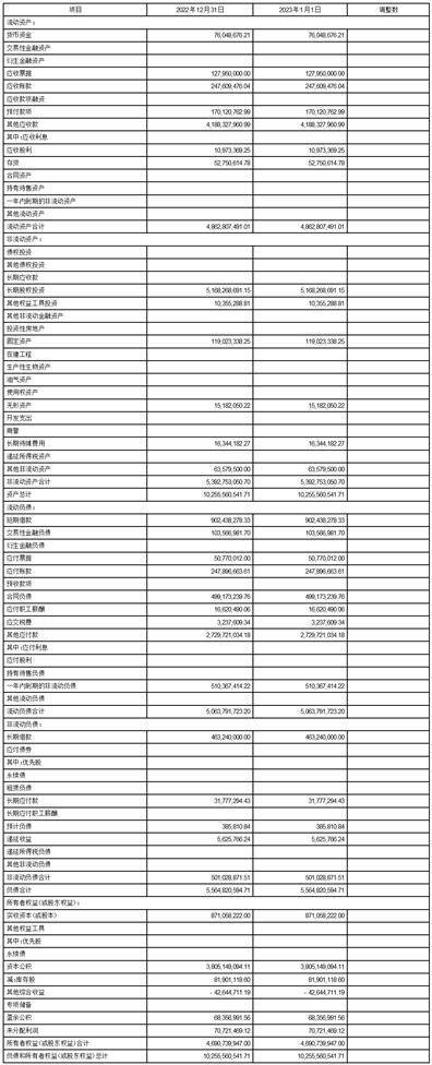
2023年起首次执行新会计准则或准则解释等涉及调整首次执行当年年初的财务报表

√适用 □不适用

调整当年年初财务报表的原因说明

公司自2023年1月1日起施行财政部于2022年11月30日发布的《企业会计准则解释第 16 号》中“关于单项交易产生的资产和负债相关的递延所得税不适用初始确认豁免的会计处理”的相关规定,对于在首次施行本解释的财务报表列报最早期间的期初至本解释施行日之间发生的适用本解释的单项交易,企业应当按照本解释的规定进行调整。对于在首次施行本解释的财务报表列报最早期间的期初因适用本解释的单项交易而确认的租赁负债和使用权资产,以及确认的弃置义务相关预计负债和对应的相关资产,产生应纳税暂时性差异和可抵扣暂时性差异的,企业应当按照本解释和《企业会计准则第18号一一所得税》的规定,将累积影响数调整财务报表列报最早期间的期初留存收益及其他相关财务报表项目。

合并资产负债表

单位:元 币种:人民币

母公司资产负债表

单位:元 币种:人民币

特此公告。

董事会

2023年10月27日

证券代码:603363 证券简称:傲农生物 公告编号:2023-157

福建傲农生物科技集团股份有限公司

本公司监事会及全体监事保证本公告内容不存在任何虚假记载、误导性陈述或者重大遗漏,并对其内容的真实性、准确性和完整性承担法律责任。

一、监事会会议召开情况

福建傲农生物科技集团股份有限公司(以下简称“公司”)第三届监事会第二十三次会议于2023年10月27日在公司会议室以现场会议与通讯会议相结合的方式召开,会议通知和材料已于2023年10月26日以电子邮件、短信或即时通讯工具等方式发出,全体监事一致同意豁免本次会议通知时间要求。本次会议由监事会主席温庆琪先生召集和主持,会议应出席监事4人,实际出席监事4人(其中以通讯表决方式出席会议的人数为3人)。本次会议的召集、召开及表决程序符合《中华人民共和国公司法》和《公司章程》的有关规定,会议形成的决议合法、有效。

二、监事会会议审议情况

(一)审议通过《公司2023年第三季度报告》

表决结果:同意票4票、反对票0票、弃权票0票。

监事会认为:公司2023年第三季度报告的编制和审核程序符合法律、行政法规及中国证监会的规定;报告的内容和格式符合中国证监会和上海证券交易所的各项规定,报告内容真实、准确、完整地反映了公司2023年前三季度的经营成果和财务状况;在提出本意见前,未发现参与第三季度报告编制和审议的人员有违反保密规定的行为。

具体内容详见公司同日于上海证券交易所网站(www.sse.com.cn)披露的《2023年第三季度报告》。

特此公告。

福建傲农生物科技集团股份有限公司监事会

2023年10月28日

本版导读

  • 福建傲农生物科技集团股份有限公司2023第三季度报告 2023-10-28

相关内容

热门资讯

1月末社会融资规模存量同比增长... 央广网北京2月14日消息(记者唐婧)据中央广播电视总台经济之声《天下财经》报道,2026年1月末,社...
美国2025年商业投资强劲收官... 智通财经APP注意到,美国12月商业设备订单增幅超过预期,表明随着贸易政策不确定性逐渐消退,去年年底...
原创 中... 2026年作为“十五五”开局之年,中央密集释放楼市重磅信号,从中央经济工作会议到住建部专项部署,每一...
今夜,见证历史!全球大涨,利好... 全球市场大反攻。 今晚,欧洲股市全线大涨,多个股指刷新历史新高;美股三大指数期货集体走强,大型科技股...
金丰来:金价短期陷入高位回调 来源:市场资讯 2月18日,周二交易时段,受短线投机资金平仓及外部市场多重利空的影响,黄金与白银市场...
人体中的“马”踪:一份献给马年... 河南省人民医院神经内科 冯周琴 马年将至,新春启序。当我们喜迎丙午马年,不妨跳出生肖民俗的视角,走进...
原创 万... 本文内容均引用权威资料结合个人观点进行撰写,文末已标注文献来源,请知悉。 2月4日,美国副总统万斯...
常德市的历史文化及名人有哪些 常德市位于湖南北部,其悠悠历史长河中沉淀了丰富的文化瑰宝,也孕育出了众多杰出人物。探寻常德的历史文化...
发力AI社交 腾讯元宝日活跃用... 腾讯18日宣布,旗下战略级AI原生产品元宝的日活跃用户(DAU)超5000万,月活跃用户(MAU)已...
原创 眼... 前言 大家好,我是听澜。 2026年2月13日,世贸组织总干事伊维拉当着全球政治人士的面,竟然公开...
欧洲股市,集体上涨!黄金、白银... 当地时间2月18日,欧洲股市迎来普涨行情。英国富时100指数盘中创出历史新高,法国CAC40指数、德...
马斯克突发!特斯拉或将被合并! 最近,全球科技圈爆出大消息:马斯克旗下核心公司特斯拉,传闻将被整合,与他已完成合并的SpaceX和x...
马年投资锦囊|著名经济学家韩志... 深圳商报·读创客户端记者 钟国斌 著名经济学家韩志国在马年初一接受深圳商报·读创客户端记者专访时发表...
原创 光... 光当世界的钱袋子还不够,人民币要想取代美元,中国还得学会当全世界的债主。 时至今日,很多人一谈起人民...
AI科普 | “千问帮我点”—... 大年初一,阿里千问交出了一份“春节AI购物成绩单”:截至除夕当天的春节活动,全国超过1.3亿人第一次...
日本农林中金银行季赚9517万... 据路透社报道,日本农林中金银行2025年第三季度(10月至12月)实现净利润146亿日元(约合951...
原创 U... 2月18日,彭博社报道称,网约车巨头Uber计划在美国投资超过1亿美元,用于建设专为Robotaxi...
美股三大期指集体走高 美联储将... 财联社2月18日讯(编辑 夏军雄)周三,美股三大股指期货走高,科技股领涨,交易员正等待美联储1月会议...
AI芯企冲刺IPO,数据看透震... 昨天和老杨喝茶,他还在念叨最近盯某AI芯片企业的消息闹心——这家做超节点互联的楠菲微刚提交IPO辅导...
扎克伯格与黄仁勋签署超大规模协... 界面新闻记者 | 宋佳楠 界面新闻获悉,当地时间2月17日,英伟达与Meta宣布达成多年跨代际战略...