金宏气体股份有限公司2023第三季度报告
证券时报
2023-10-26 08:23:56
0

原标题:金宏气体股份有限公司2023第三季度报告

本公司董事会及全体董事保证本公告内容不存在任何虚假记载、误导性陈述或者重大遗漏,并对其内容的真实性、准确性和完整性依法承担法律责任。

重要内容提示:

公司董事会、监事会及董事、监事、高级管理人员保证季度报告内容的真实、准确、完整,不存在虚假记载、误导性陈述或重大遗漏,并承担个别和连带的法律责任。

公司负责人、主管会计工作负责人及会计机构负责人(会计主管人员)保证季度报告中财务信息的真实、准确、完整。

第三季度财务报表是否经审计

□是 √否

一、 主要财务数据

(一)主要会计数据和财务指标

单位:元 币种:人民币

注:“本报告期”指本季度初至本季度末3个月期间,下同。

(二)非经常性损益项目和金额

单位:元 币种:人民币

将《公开发行证券的公司信息披露解释性公告第1号一一非经常性损益》中列举的非经常性损益项目界定为经常性损益项目的情况说明

□适用 √不适用

(三)主要会计数据、财务指标发生变动的情况、原因

√适用 □不适用

二、 股东信息

(一)普通股股东总数和表决权恢复的优先股股东数量及前十名股东持股情况表

单位:股

三、 其他提醒事项

需提醒投资者关注的关于公司报告期经营情况的其他重要信息

□适用 √不适用

四、 季度财务报表

(一)审计意见类型

□适用 √不适用

(二)财务报表

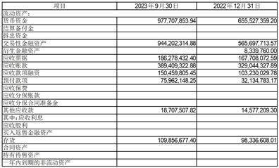
合并资产负债表

2023年9月30日

编制单位:金宏气体股份有限公司

单位:元 币种:人民币 审计类型:未经审计

公司负责人:金向华 主管会计工作负责人:宗卫忠 会计机构负责人:刘建勇

合并利润表

2023年1一9月

编制单位:金宏气体股份有限公司

单位:元 币种:人民币 审计类型:未经审计

本期发生同一控制下企业合并的,被合并方在合并前实现的净利润为:0 元, 上期被合并方实现的净利润为: 0 元。

公司负责人:金向华 主管会计工作负责人:宗卫忠 会计机构负责人:刘建勇

合并现金流量表

2023年1一9月

编制单位:金宏气体股份有限公司

单位:元 币种:人民币 审计类型:未经审计

公司负责人:金向华 主管会计工作负责人:宗卫忠 会计机构负责人:刘建勇

母公司资产负债表

2023年9月30日

编制单位:金宏气体股份有限公司

单位:元 币种:人民币 审计类型:未经审计

公司负责人:金向华 主管会计工作负责人:宗卫忠 会计机构负责人:刘建勇

母公司利润表

2023年1一9月

编制单位:金宏气体股份有限公司

单位:元 币种:人民币 审计类型:未经审计

公司负责人:金向华 主管会计工作负责人:宗卫忠 会计机构负责人:刘建勇

母公司现金流量表

2023年1一9月

编制单位:金宏气体股份有限公司

单位:元 币种:人民币 审计类型:未经审计

公司负责人:金向华 主管会计工作负责人:宗卫忠 会计机构负责人:刘建勇

2023年起首次执行新会计准则或准则解释等涉及调整首次执行当年年初的财务报表

□适用 √不适用

特此公告。

金宏气体股份有限公司董事会

2023年10月26日

证券代码:688106 证券简称:金宏气体 公告编号:2023-075

转债代码:118038 转债简称:金宏转债

金宏气体股份有限公司

第五届监事会第二十次会议决议公告

公司监事会及全体监事保证公告内容不存在任何虚假记载、误导性陈述或者重大遗漏,并对其内容的真实性、准确性和完整性依法承担法律责任。

一、监事会会议召开情况

金宏气体股份有限公司(以下简称“公司”、“本公司”或“金宏气体”)第五届监事会第二十次会议于2023年10月25日下午以现场方式召开,现场会议在苏州市相城区黄埭镇潘阳工业园安民路6号行政楼408会议室举行。本次会议的通知于2023年10月19日以电子邮件方式送达全体监事。本次会议应出席监事3人,实际出席监事3人,会议由监事会主席戈惠芳主持。会议的召集和召开程序符合有关法律法规、规范性文件和公司章程的规定,会议决议合法、有效。

二、监事会会议审议情况

经与会监事充分讨论,本次会议以记名投票方式审议通过了如下议案:

(一)审议通过《关于〈金宏气体股份有限公司2023年第三季度报告〉的议案》

经审议,监事会认为:公司2023年第三季度报告的编制和审议程序符合相关法律法规、中国证监会及《公司章程》等内部规章制度的规定,报告内容真实、准确、完整地反映了公司2023年第三季度的财务状况和经营成果等事项,不存在任何虚假记载、误导性陈述或者重大遗漏。

表决结果:同意3票,反对0票,弃权0票。

具体内容详见同日刊载于上海证券交易所网站(www.sse.com.cn)的《金宏气体股份有限公司2023年第三季度报告》。

(二)审议通过《关于使用闲置募集资金暂时补充流动资金的议案》

经审议,监事会认为:公司使用部分闲置募集资金暂时补充流动资金,可以满足公司生产经营对资金的需求,有利于提高募集资金使用效率,降低公司财务成本,符合公司及全体股东的利益,符合《上市公司监管指引第2号一一上市公司募集资金管理和使用的监管要求》、《上海证券交易所科创板上市公司自律监管指引第1号一一规范运作》、《募集资金管理办法》等相关法律、法规、规章及其他规范性文件的规定,不会直接或间接的安排用于新股配售、申购,或用于股票及其衍生品种、可转债等交易,不会变相改变募集资金用途,不会影响募集资金投资计划的正常进行。

表决结果:同意3票,反对0票,弃权0票。

具体内容详见同日刊载于上海证券交易所网站(www.sse.com.cn)的《金宏气体股份有限公司关于使用闲置募集资金暂时补充流动资金的公告》(公告编号:2023-076)。

特此公告。

金宏气体股份有限公司监事会

2023年10月26日

证券代码:688106 证券简称:金宏气体 公告编号:2023-076

转债代码:118038 转债简称:金宏转债

金宏气体股份有限公司关于使用闲置

募集资金暂时补充流动资金的公告

本公司董事会及全体董事保证本公告内容不存在任何虚假记载、误导性陈述或者重大遗漏,并对其内容的真实性、准确性和完整性依法承担法律责任。

金宏气体股份有限公司(以下简称“金宏气体”或“公司”)拟使用不超过人民币1.00亿元闲置募集资金暂时补充流动资金,并仅用于公司的业务拓展、日常经营等与主营业务相关的生产经营活动。使用期限自公司董事会审议通过之日起不超过12个月。现将相关事项公告如下:

一、募集资金基本情况

根据中国证券监督管理委员会(以下简称“中国证监会”)出具的《关于同意金宏气体股份有限公司向不特定对象发行可转换公司债券注册的批复》(证监许可〔2023〕1319号),公司获准向不特定对象发行可转换公司债券10,160,000张,每张债券面值为人民币100元,募集资金总额为人民币1,016,000,000.00元,扣除发行费用人民币11,840,377.36元后,公司本次募集资金净额为人民币1,004,159,622.64元。上述募集资金已全部到位,并经容诚会计师事务所(特殊普通合伙)审验,出具了“容诚验字[2023]230Z0194号”的《验资报告》。

为规范公司募集资金管理和使用,保护投资者权益,公司对募集资金实施专户存储管理,并与保荐机构、存放募集资金的商业银行签署了《募集资金三方监管协议》及《募集资金四方监管协议》。

二、集资金投资项目的基本情况

根据《金宏气体股份有限公司向不特定对象发行可转换公司债券募集说明书》及公司第五届董事会第十九次会议决议,公司募集资金投资项目及募集资金的使用计划具体如下:

单位:元

公司本次发行实际募集资金净额低于上述募投项目投资总额,不足部分公司将通过自筹资金解决。

三、本次使用闲置募集资金暂时补充流动资金的情况

根据公司募集资金投资项目的资金使用计划及项目的建设进度,公司在确保不影响募集资金投资项目建设进度的前提下,为了提高募集资金使用效率、降低公司财务成本、解决公司运营发展的资金需求,公司本次拟使用不超过人民币1.00亿元闲置募集资金暂时补充流动资金,使用期限自公司董事会审议通过之日起不超过12个月,并且公司将随时根据募投项目的进展及需求情况及时归还至募集资金专用账户。

本次使用部分闲置募集资金暂时补充流动资金仅用于公司的业务拓展、日常经营等与主营业务相关的生产经营使用,不会通过直接或间接的安排用于新股配售、申购,或用于股票及其衍生产品种、可转债等交易,不会变相改变募集资金用途,也不会影响募集资金投资计划的正常进行。

四、相关审核和批准程序

2023年10月25日,公司第五届董事会第二十一次会议以8票同意,0票反对,0票弃权以及第五届监事会第二十次会议以3票同意,0票反对,0票弃权的表决结果审议通过了《关于使用闲置募集资金暂时补充流动资金的议案》,同意公司在确保不影响募集资金投资项目实施及募集资金使用的情况下,使用不超过人民币1.00亿元的闲置募集资金暂时补充流动资金。使用期限自公司董事会审议通过之日起不超过12个月。独立董事对上述事项发表了明确同意的独立意见,保荐机构东吴证券股份有限公司出具了无异议的核查意见。

本次使用部分闲置募集资金暂时补充流动资金不改变募集资金用途,不影响募集资金投资计划的正常进行,该事项也已履行必要的审批程序,符合中国证监会《上市公司监管指引第2号一一上市公司募集资金管理和使用的监管要求》和《上海证券交易所科创板上市公司自律监管指引第1号一一规范运作》等有关法律法规及公司《募集资金管理办法》的相关规定使用该资金,符合相关监管要求。

五、专项意见说明

(一)独立董事意见

公司独立董事认为:公司使用部分闲置募集资金暂时补充流动资金,有利于解决公司暂时的流动资金需求,提高募集资金使用效率,降低公司财务成本,提升公司经营效益,符合公司及全体股东的利益。公司本次使用部分闲置募集资金暂时补充流动资金,仅限于用于公司的业务拓展、日常经营等与主营业务相关的生产经营使用,不直接或间接安排用于新股配售、申购,或用于股票及其衍生品种、可转债等交易,不与募集资金投资项目的实施计划相抵触,不影响募集资金投资计划的正常进行,不存在变相改变募集资金投向和损害股东利益的情形。

综上,公司独立董事同意公司本次使用不超过人民币1.00亿元闲置募集资金暂时补充流动资金事项。

(二)监事会意见

公司监事会认为:公司使用部分闲置募集资金暂时补充流动资金,可以满足公司生产经营对资金的需求,有利于提高募集资金使用效率,降低公司财务成本,符合公司及全体股东的利益,符合《上市公司监管指引第2号一一上市公司募集资金管理和使用的监管要求》、《上海证券交易所科创板上市公司自律监管指引第1号一一规范运作》、《募集资金管理办法》等相关法律、法规、规章及其他规范性文件的规定,不会直接或间接的安排用于新股配售、申购,或用于股票及其衍生品种、可转债等交易,不会变相改变募集资金用途,不会影响募集资金投资计划的正常进行。

综上,公司监事会同意本次使用不超过人民币1.00亿元闲置募集资金暂时补充流动资金事项。

(三)保荐机构核查意见

经核查,保荐机构认为:公司本次使用部分闲置募集资金暂时补充流动资金,有利于提高募集资金使用效率,降低公司财务成本,符合公司业务发展的需求,不存在变相改变募集资金用途和损害股东利益的情况,不会影响募集资金投资计划的正常进行。公司上述募集资金使用行为已经公司董事会、监事会审议批准,独立董事亦发表明确同意的独立意见,履行了必要的审批程序,符合中国证监会《上市公司监管指引第2号一一上市公司募集资金管理和使用的监管要求》以及《上海证券交易所科创板上市公司自律监管指引第1号一一规范运作》等有关规定。

综上,保荐机构对公司使用闲置募集资金暂时补充流动资金事项无异议。

六、上网公告文件

(一)金宏气体股份有限公司独立董事关于第五届董事会第二十一次会议相关事项的独立意见;

(二)东吴证券股份有限公司关于金宏气体股份有限公司使用闲置募集资金暂时补充流动资金的核查意见。

特此公告。

金宏气体股份有限公司董事会

2023年10月26日

证券代码:688106 证券简称:金宏气体 公告编号:2023-074

转债代码:118038 转债简称:金宏转债

金宏气体股份有限公司

2023年第一次临时股东大会决议公告

本公司董事会及全体董事保证公告内容不存在任何虚假记载、误导性陈述或者重大遗漏,并对其内容的真实性、准确性和完整性依法承担法律责任。

重要内容提示:

● 本次会议是否有被否决议案:无

一、 会议召开和出席情况

(一) 股东大会召开的时间:2023年10月25日

(二) 股东大会召开的地点:苏州市相城区黄埭镇潘阳工业园安民路6号行政楼408会议室

(三) 出席会议的普通股股东、特别表决权股东、恢复表决权的优先股股东及其持有表决权数量的情况:

(四) 表决方式是否符合《公司法》及公司章程的规定,大会主持情况等。

本次股东大会由公司董事会召集,董事长金向华先生主持,采用现场投票与网络投票相结合的方式召开。本次会议的召集、召开及表决方式符合《中华人民共和国公司法》、《上海证券交易所科创板股票上市规则》及《公司章程》的有关规定。

(五) 公司董事、监事和董事会秘书的出席情况

1、 公司在任董事7人,出席7人;

2、 公司在任监事3人,出席3人;

3、 公司董事会秘书陈莹女士出席了本次股东大会;其他高管列席了本次股东大会。

二、 议案审议情况

(一) 非累积投票议案

1、 议案名称:关于变更会计师事务所的议案

审议结果:通过

表决情况:

2、 议案名称:关于选举顾悦雯女士为公司董事会董事的议案

审议结果:通过

表决情况:

3、 议案名称:关于变更注册资本、经营范围、修订《公司章程》并办理工商变更登记的议案

审议结果:通过

表决情况:

(二) 涉及重大事项,应说明5%以下股东的表决情况

(三) 关于议案表决的有关情况说明

1、议案3为特别决议议案,已经获得出席本次会议有效表决股份总数的三分之二以上通过。

2、议案1、2、3对中小投资者进行了单独计票。

三、 律师见证情况

1、 本次股东大会见证的律师事务所:江苏益友天元律师事务所

律师:何非、蔡蕲

2、 律师见证结论意见:

公司本次股东大会的召集、召开程序符合《公司法》、《上市公司股东大会规则》等法律、法规、规范性文件及《公司章程》的有关规定,出席本次股东大会的人员资格、召集人资格合法、有效,本次股东大会的表决方式、表决程序及表决结果均合法、有效。

特此公告。

金宏气体股份有限公司董事会

2023年10月26日

本版导读

  • 金宏气体股份有限公司2023第三季度报告 2023-10-26

相关内容

热门资讯

央视春晚主持人透露体重仅93斤... 2月17日,央视春晚主持人刘心悦在社交平台发布拜年语音,祝福大家新年顺利,一切都好,并谢谢大家的祝福...
城市年鉴2025|商圈消费:深... 2025年,“创造消费场景”是政府工作文件中关于扩大内需、提升消费率对策中的关键词之一。而在各级省市...
“30天免签,太棒了!”上海浦... 来源:滚动播报 (来源:上观新闻) 2月17日,农历马年大年初一,上海浦东国际机场洋溢着浓厚的节日...
高人预测:今年春节后,社会上出... 每年春节前后,朋友圈里总少不了一句话:“明年会怎样,谁也说不准。” 但今年,还真有人敢拍胸脯说: “...
外资密集调研,换个维度读市场 进入今年,外资机构对A股的关注热度持续攀升。据统计,已有两百余家外资机构累计调研A股上市公司超五百次...
原创 美... 2026年2月初,比特币价格从去年10月的12.6万美元高点跌至6万美元以下,短短几个月内腰斩。 造...
5900家药企大洗牌!破除“唯... 未来,集采将不再仅由降价幅度定义,而更取决于是否构建起质量可靠、供应稳定、创新持续、医患信赖的医药新...
原创 李... 2月10日,恰逢农历的腊月二十三,这一天是人们口中的小年。在这个特别的时刻,高秀敏的女儿李宣正在北京...
农业银行获得发明专利授权:“报... 证券之星消息,根据天眼查APP数据显示农业银行(601288)新获得一项发明专利授权,专利名为“报文...
黄金白银,急跌!有基金发补偿方... 黄金、白银,又跳水了! 2月16日,现货黄金、白银盘中再度下探。 现货黄金盘中跌超1%,跌破4990...
原创 伊... 中东这盘棋,最近下得那是相当诡异。大家有没有觉得,伊朗这位“老铁”,最近看咱们的眼神有点不对劲?一边...
中信建投基金总经理金强:固本培... 来源:财联社 开栏语:马年新春至,辞旧启新程。回顾旧岁,证券业转型深化与公募业高质量发展并行,成...
原创 中... 中美贸易战刚开始的时候,欧洲的情绪,其实非常微妙。很多欧洲国家明着站队美国,跟着美国说中国在搞“不公...
原创 帮... 大年初一,饺子刚下锅,海外市场就给投资者上了一道“凉菜”。 现货黄金失守4950美元,白银暴跌超4%...
MLCC电容器巨头村田制作所考... IT之家 2 月 17 日消息,全球 MLCC(IT之家注:多层片式陶瓷电容器)巨头村田制作所 (M...
四部门:稳妥发展高标准农田建设... 来源:滚动播报 (来源:北京商报) 北京商报讯(记者 胡永新)2月14日,据中国人民银行官网信息,近...
原创 新... 长沙晚报掌上长沙2月14日讯(全媒体记者 刘捷萍)2月14日,年味浸润星城长沙,山姆会员商店长沙雨花...
群联CEO:存储供需失衡要到2... 快科技2月17日消息,群联电子CEO潘健成近日在访谈中表示:AI驱动的存储芯片短缺危机将持续至203...
工商银行取得建筑项目进度监控方... 国家知识产权局信息显示,中国工商银行股份有限公司取得一项名为“建筑项目进度的监控方法、装置、设备及存...
原创 特... 只能说,特朗普实在是黔驴技穷了。 2月11日,美国商务部下属的国际贸易管理局表示,从我们中国进口的...