嘉环科技股份有限公司2023第三季度报告
证券时报
2023-10-26 07:42:16
0

原标题:嘉环科技股份有限公司2023第三季度报告

本公司董事会及全体董事保证本公告内容不存在任何虚假记载、误导性陈述或者重大遗漏,并对其内容的真实性、准确性和完整性承担法律责任。

重要内容提示:

公司董事会、监事会及董事、监事、高级管理人员保证季度报告内容的真实、准确、完整,不存在虚假记载、误导性陈述或重大遗漏,并承担个别和连带的法律责任。

公司负责人、主管会计工作负责人及会计机构负责人(会计主管人员)保证季度报告中财务信息的真实、准确、完整。

第三季度财务报表是否经审计

□是 √否

一、主要财务数据

(一)主要会计数据和财务指标

单位:元 币种:人民币

注:“本报告期”指本季度初至本季度末3个月期间,下同。

(二)非经常性损益项目和金额

单位:元 币种:人民币

将《公开发行证券的公司信息披露解释性公告第1号一一非经常性损益》中列举的非经常性损益项目界定为经常性损益项目的情况说明

□适用 √不适用

(三)主要会计数据、财务指标发生变动的情况、原因

□适用 √不适用

二、股东信息

(一)普通股股东总数和表决权恢复的优先股股东数量及前十名股东持股情况表

单位:股

三、其他提醒事项

需提醒投资者关注的关于公司报告期经营情况的其他重要信息

□适用 √不适用

四、季度财务报表

(一)审计意见类型

□适用 √不适用

(二)财务报表

合并资产负债表

2023年9月30日

编制单位:嘉环科技股份有限公司

单位:元 币种:人民币 审计类型:未经审计

公司负责人:宗琰 主管会计工作负责人:任红军 会计机构负责人:魏岗

合并利润表

2023年1一9月

编制单位:嘉环科技股份有限公司

单位:元 币种:人民币 审计类型:未经审计

本期发生同一控制下企业合并的,被合并方在合并前实现的净利润为:0元, 上期被合并方实现的净利润为: 0 元。

公司负责人:宗琰 主管会计工作负责人:任红军 会计机构负责人:魏岗

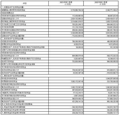
合并现金流量表

2023年1一9月

编制单位:嘉环科技股份有限公司

单位:元 币种:人民币 审计类型:未经审计

公司负责人:宗琰 主管会计工作负责人:任红军 会计机构负责人:魏岗

母公司资产负债表

2023年9月30日

编制单位:嘉环科技股份有限公司

单位:元 币种:人民币 审计类型:未经审计

公司负责人:宗琰 主管会计工作负责人:任红军 会计机构负责人:魏岗

母公司利润表

2023年1一9月

编制单位:嘉环科技股份有限公司

单位:元 币种:人民币 审计类型:未经审计

公司负责人:宗琰 主管会计工作负责人:任红军 会计机构负责人:魏岗

母公司现金流量表

2023年1一9月

编制单位:嘉环科技股份有限公司

单位:元 币种:人民币 审计类型:未经审计

公司负责人:宗琰 主管会计工作负责人:任红军 会计机构负责人:魏岗

2023年起首次执行新会计准则或准则解释等涉及调整首次执行当年年初的财务报表

√适用 □不适用

调整当年年初财务报表的原因说明

财政部会计司2022年11月30日印发了《企业会计准则解释第16号》的通知,财会〔2022〕31号,自2023年1月1 日起施行对关于单项交易产生的资产和负债相关的递延所得税不适用初 始确认豁免的会计处理,公司自2023年1月1日起依据该解释的具体规定调整了相关会计政策, 对于首次执行日前已存在的租赁负债和使用权资产,产生应纳税暂时性差异和可抵扣暂时性差异的,将累积影响数调整期初留存收益及其他相关财务报表项目。

合并资产负债表

单位:元 币种:人民币

母公司资产负债表

单位:元 币种:人民币

特此公告。

嘉环科技股份有限公司董事会

2023年10月25日

本版导读

  • 2023-10-26
  • 2023-10-26

相关内容

热门资讯

央视春晚主持人透露体重仅93斤... 2月17日,央视春晚主持人刘心悦在社交平台发布拜年语音,祝福大家新年顺利,一切都好,并谢谢大家的祝福...
城市年鉴2025|商圈消费:深... 2025年,“创造消费场景”是政府工作文件中关于扩大内需、提升消费率对策中的关键词之一。而在各级省市...
“30天免签,太棒了!”上海浦... 来源:滚动播报 (来源:上观新闻) 2月17日,农历马年大年初一,上海浦东国际机场洋溢着浓厚的节日...
高人预测:今年春节后,社会上出... 每年春节前后,朋友圈里总少不了一句话:“明年会怎样,谁也说不准。” 但今年,还真有人敢拍胸脯说: “...
外资密集调研,换个维度读市场 进入今年,外资机构对A股的关注热度持续攀升。据统计,已有两百余家外资机构累计调研A股上市公司超五百次...
原创 美... 2026年2月初,比特币价格从去年10月的12.6万美元高点跌至6万美元以下,短短几个月内腰斩。 造...
5900家药企大洗牌!破除“唯... 未来,集采将不再仅由降价幅度定义,而更取决于是否构建起质量可靠、供应稳定、创新持续、医患信赖的医药新...
原创 李... 2月10日,恰逢农历的腊月二十三,这一天是人们口中的小年。在这个特别的时刻,高秀敏的女儿李宣正在北京...
农业银行获得发明专利授权:“报... 证券之星消息,根据天眼查APP数据显示农业银行(601288)新获得一项发明专利授权,专利名为“报文...
黄金白银,急跌!有基金发补偿方... 黄金、白银,又跳水了! 2月16日,现货黄金、白银盘中再度下探。 现货黄金盘中跌超1%,跌破4990...
原创 伊... 中东这盘棋,最近下得那是相当诡异。大家有没有觉得,伊朗这位“老铁”,最近看咱们的眼神有点不对劲?一边...
中信建投基金总经理金强:固本培... 来源:财联社 开栏语:马年新春至,辞旧启新程。回顾旧岁,证券业转型深化与公募业高质量发展并行,成...
原创 中... 中美贸易战刚开始的时候,欧洲的情绪,其实非常微妙。很多欧洲国家明着站队美国,跟着美国说中国在搞“不公...
原创 帮... 大年初一,饺子刚下锅,海外市场就给投资者上了一道“凉菜”。 现货黄金失守4950美元,白银暴跌超4%...
MLCC电容器巨头村田制作所考... IT之家 2 月 17 日消息,全球 MLCC(IT之家注:多层片式陶瓷电容器)巨头村田制作所 (M...
四部门:稳妥发展高标准农田建设... 来源:滚动播报 (来源:北京商报) 北京商报讯(记者 胡永新)2月14日,据中国人民银行官网信息,近...
原创 新... 长沙晚报掌上长沙2月14日讯(全媒体记者 刘捷萍)2月14日,年味浸润星城长沙,山姆会员商店长沙雨花...
群联CEO:存储供需失衡要到2... 快科技2月17日消息,群联电子CEO潘健成近日在访谈中表示:AI驱动的存储芯片短缺危机将持续至203...
工商银行取得建筑项目进度监控方... 国家知识产权局信息显示,中国工商银行股份有限公司取得一项名为“建筑项目进度的监控方法、装置、设备及存...
原创 特... 只能说,特朗普实在是黔驴技穷了。 2月11日,美国商务部下属的国际贸易管理局表示,从我们中国进口的...