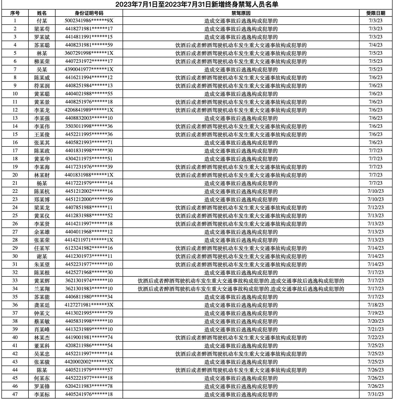
9月2日,广东省公安厅交通管理局集中曝光一批重点企业、车辆以及终身禁驾人员。南都记者获悉,今年7月,广东新增47名终身禁驾人员,其中持AB证驾驶人7人。

7月新增终身禁驾人员名单。
违法比例较高的危化品运输企业包括潮州市潮安区豪全燃气有限公司、东莞市新世纪液化石油气有限公司、深圳市同兴行新能源开发有限公司、佛山市盛航达道路运输有限公司等10家,其中潮州市潮安区豪全燃气有限公司机动车保有量10辆,违法总量6次。
违法较多的危化品运输车辆包括佛山市南海区小塘塘安运输服务有限公司的粤E60809、深圳市燕山燕鹏石化有限公司的粤BAY682等10辆,主要违法行为是驾驶机动车违反禁令标志指示。
重点车辆违法比例较高的企业包括佛山市华鑫达土石方工程有限公司、丰顺县合和兴土石方工程有限公司、深圳市鑫晨枫物流有限公司等10家,其中佛山市华鑫达土石方工程有限公司机动车保有量为31辆,违法总量75次。
违法较多的重点车辆包括梅州市梅江区宏伟货运经营部的粤MD8535、广州市快顺货运代理有限公司的粤ABA573等10辆重点车辆,其中粤MD8535一个月来违法总量达18次,主要违法行为是机动车行驶时乘坐人员未按规定使用安全带等。
酒驾治理方面,7月份广东新增47名终身禁驾人员,其中有25人因造成交通事故后逃逸构成犯罪被终身禁驾,20人属于饮酒后或者醉酒驾驶机动车发生重大交通事故构成犯罪,还有2人属于饮酒后或者醉酒驾驶机动车造成重大交通事故后逃逸构成犯罪,47人中持有AB证驾驶员7人。
采写:南都记者 韦娟明 通讯员 粤交警